Topological optimzation of phase change heat sink performance in different gravity fields
-
摘要:
为强化相变热沉的性能,基于带惩罚的固体各向同性材料(SIMP)法对山梨糖醇相变热沉进行传热拓扑优化设计。对拓扑优化的相变热沉(Ⅰ)和直肋式的相变热沉(Ⅱ)进行定常重力(0~20
g )和周期性重力条件的数值模拟研究。利用无量纲数对比二者的热性能,研究结果表明:热沉Ⅰ的吸热和均热性能优于热沉Ⅱ;在相同重力环境下,以80 ℃为目标,热沉Ⅰ温控时间比热沉Ⅱ平均多26.8%;微低重力下热沉内部近乎导热,略逊于常规重力下热性能;超重力强化的自然对流可以显著提升热沉性能,10g 条件相比常规重力的温控时间增加8.94%,而相同Ra *下,周期性重力对热沉Ⅰ的性能有抑制作用。研究结果对飞行器载相变热沉的地面细化设计有一定指导意义。Abstract:To enhance the performance of phase change heat sink based heat sinks, the topology optimization of a sorbitol/aluminum phase change heat sink based heat sink is carried out using solid isotropic material with penalization (SIMP) method. Numerical investigations on phase change heat sink with topologically optimized fins (I) and straight fins (II) under the constant gravity (0~20
g ) and periodic gravity are presented. Dimensionless numbers are used to compare the thermal performance of the two heat sinks. The results show that heat sink I performs better than heat sink II. Under the same gravity environment with 80 ℃ as the goal, the temperature control time of the heat sink I is extended by up to 26.8% on average. Under the microgravity and low gravity, heat conduction dominates the heat sinks, of which the thermal performance is slightly inferior to that under conventional gravity. The natural convection of the liquid PCM driven by supergravity significantly enhances the heat transfer. For heat sink I, the temperature control time of 10g is 8.94% higher than that of conventional gravity, and the periodic gravity has an inhibitory effect at the sameRa *. Research findings provide guidance for detailing the design of aircraft phase change heat sinks . -
表 1 相变热沉的材料物性
Table 1. Material properties of heat sinks
表 2 重力场中不同时刻热沉Ⅰ和Ⅱ的温度
Table 2. Temperature of heat sinks Ⅰ and Ⅱ at different time in gravity field
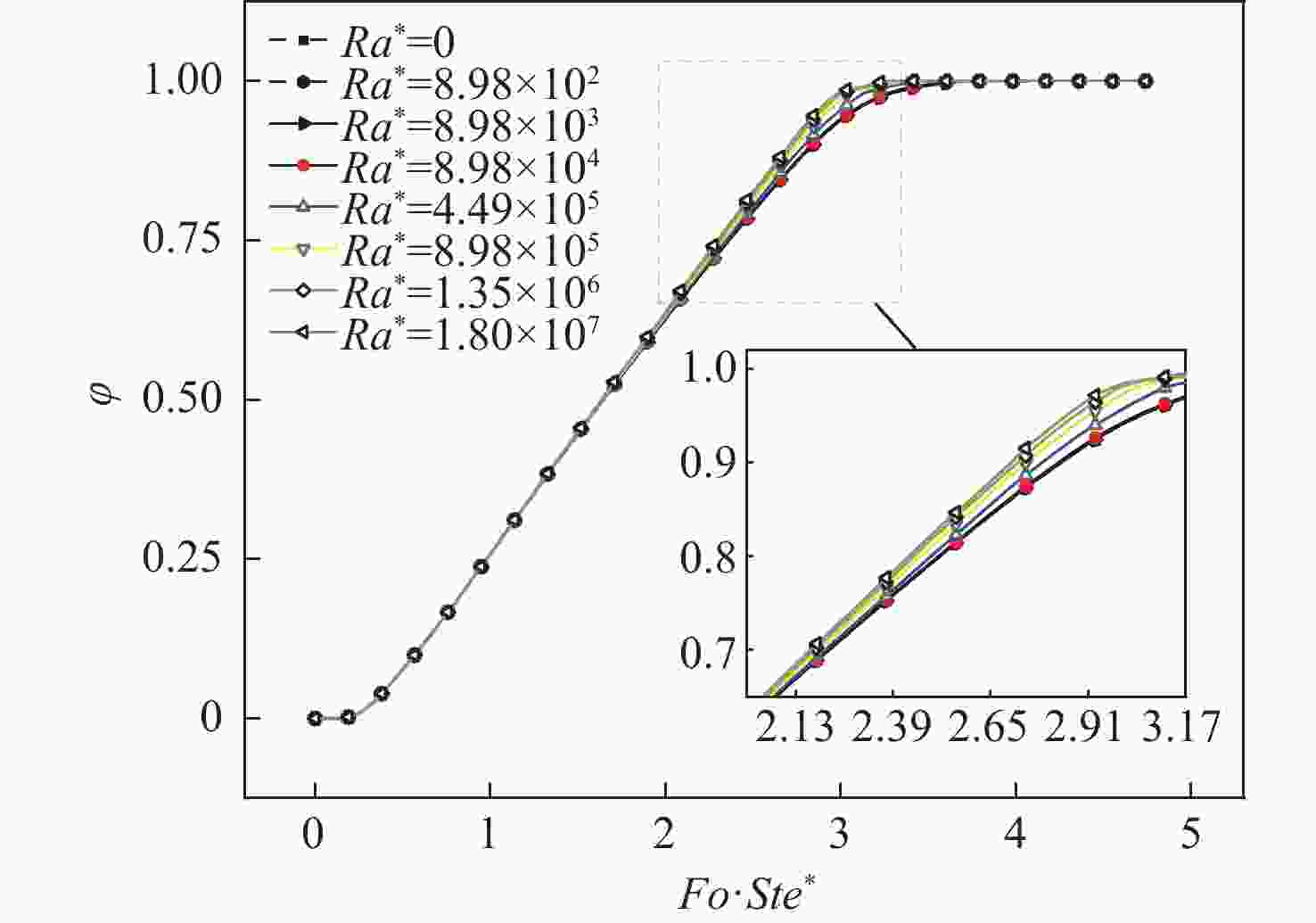
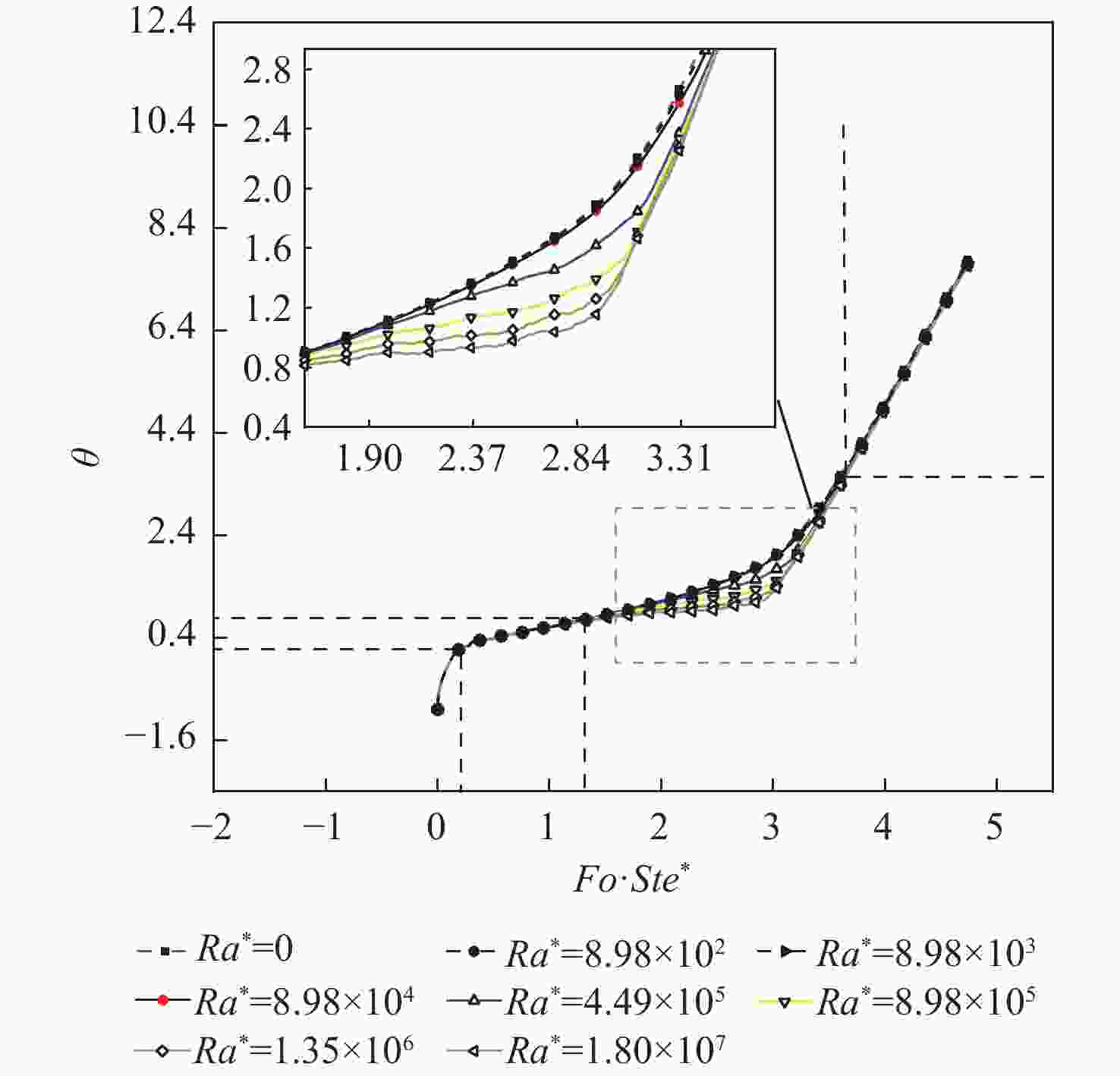
Ra* 热沉 Fo·Ste*=1.90 Fo·Ste*=2.37 Fo·Ste*=2.84 θav θ θav θ θav θ 0 Ⅰ 0.715 1.038 1.014 1.341 1.429 1.754 Ⅱ 1.155 1.362 1.596 1.807 2.132 2.346 8.98×103 Ⅰ 0.711 1.034 1.001 1.335 1.417 1.743 Ⅱ 1.149 1.356 1.588 1.798 2.120 2.332 8.98×104 Ⅰ 0.707 1.030 1.000 1.325 1.402 1.720 Ⅱ 1.147 1.350 1.579 1.783 2.072 2.263 8.98×105 Ⅰ 0.654 0.961 0.825 1.108 1.043 1.311 Ⅱ 1.031 1.201 1.200 1.327 1.034 1.544 注:表中黑色加粗为拓扑优化热沉对应数据。 -
[1] KUMAR A, TIWARI A K, SAID Z. A comprehensive review analysis on advances of evacuated tube solar collector using nanofluids and PCM[J]. Sustainable Energy Technologies and Assessments, 2021, 47: 101417. doi: 10.1016/j.seta.2021.101417 [2] SELVNES H, ALLOUCHE Y, MANESCU R I, et al. Review on cold thermal energy storage applied to refrigeration systems using phase change materials[J]. Thermal Science and Engineering Progress, 2021, 22: 100807. doi: 10.1016/j.tsep.2020.100807 [3] DA CUNHA S R L, DE AGUIAR J L B. Phase change materials and energy efficiency of buildings: A review of knowledge[J]. Journal of Energy Storage, 2020, 27: 101083. doi: 10.1016/j.est.2019.101083 [4] THAKUR A K, PRABAKARAN R, ELKADEEM M, et al. A state of art review and future viewpoint on advance cooling techniques for lithium-ion battery system of electric vehicles[J]. Journal of Energy Storage, 2020, 32: 101771. doi: 10.1016/j.est.2020.101771 [5] LYU J, LIU Z W, WU X H, et al. Nanofibrous kevlar aerogel films and their phase-change composites for highly efficient infrared stealth[J]. ACS Nano, 2019, 13(2): 2236-2245. [6] YANG T Y, BRAUN P V, MILJKOVIC N, et al. Phase change material heat sink for transient cooling of high-power devices[J]. International Journal of Heat and Mass Transfer, 2021, 170: 121033. doi: 10.1016/j.ijheatmasstransfer.2021.121033 [7] SHAMBERGER P J, BRUNO N M. Review of metallic phase change materials for high heat flux transient thermal management applications[J]. Applied Energy, 2020, 258: 113955. doi: 10.1016/j.apenergy.2019.113955 [8] MATHEW J, KRISHNAN S. A review on transient thermal management of electronic devices[J]. Journal of Electronic Packaging, 2022, 144(1): 010801. [9] ZHAO L, XING Y M, LIU X. Experimental investigation on the thermal management performance of heat sink using low melting point alloy as phase change material[J]. Renewable Energy, 2020, 146: 1578-1587. doi: 10.1016/j.renene.2019.07.115 [10] 何智航. 热管PCM热控装置设计及性能研究[J]. 热科学与技术, 2018, 17(1): 80-86. doi: 10.13738/j.issn.1671-8097.017122HE Z H. Design and performance study on heat pipe/PCM composite thermal control device[J]. Journal of Thermal Science and Technology, 2018, 17(1): 80-86(in Chinese). doi: 10.13738/j.issn.1671-8097.017122 [11] 宁献文, 李劲东, 王玉莹, 等. 中国航天器新型热控系统构建进展评述[J]. 航空学报, 2019, 40(7): 022874.NING X W, LI J D, WANG Y Y, et al. Review on construction of new spacecraft thermal control system in China[J]. Acta Aeronautica et Astronautica Sinica, 2019, 40(7): 022874(in Chinese). [12] GE H S, LI H Y, MEI S F, et al. Low melting point liquid metal as a new class of phase change material: An emerging frontier in energy area[J]. Renewable and Sustainable Energy Reviews, 2013, 21: 331-346. doi: 10.1016/j.rser.2013.01.008 [13] 赵亮, 邢玉明, 刘鑫, 等. 基于硬脂酸复合相变材料的被动热沉性能[J]. 北京航空航天大学学报, 2019, 45(5): 970-979. doi: 10.13700/j.bh.1001-5965.2018.0513ZHAO L, XING Y M, LIU X, et al. Performance of a passive heat sink using stearic acid based composite as phase change material[J]. Journal of Beijing University of Aeronautics and Astronautics, 2019, 45(5): 970-979(in Chinese). doi: 10.13700/j.bh.1001-5965.2018.0513 [14] WANG S S, XING Y M, HAO Z L, et al. Experimental study on the thermal performance of PCMS based heat sink using higher alcohol/graphite foam[J]. Applied Thermal Engineering, 2021, 198: 117452. doi: 10.1016/j.applthermaleng.2021.117452 [15] BABY R, BALAJI C. Thermal optimization of PCM based pin fin heat sinks: An experimental study[J]. Applied Thermal Engineering, 2013, 54(1): 65-77. doi: 10.1016/j.applthermaleng.2012.10.056 [16] DESAI A N, GUNJAL A, SINGH V K. Numerical investigations of fin efficacy for phase change material (PCM) based thermal control module[J]. International Journal of Heat and Mass Transfer, 2020, 147: 118855. doi: 10.1016/j.ijheatmasstransfer.2019.118855 [17] 江洪, 刘敬仪. 3D打印在航空航天领域中的应用初探[J]. 新材料产业, 2019(2): 21-24. doi: 10.19599/j.issn.1008-892x.2019.02.006JIANG H, LIU J Y. Application of 3D printing in aerospace field[J]. Advanced Materials Industry, 2019(2): 21-24(in Chinese). doi: 10.19599/j.issn.1008-892x.2019.02.006 [18] DBOUK T. A Review about the engineering design of optimal heat transfer systems using topology optimization[J]. Applied Thermal Engineering, 2017, 112: 841-854. doi: 10.1016/j.applthermaleng.2016.10.134 [19] ALEXANDERSEN J, SIGMUND O, MEYER K E, et al. Design of passive coolers for light-emitting diode lamps using topology optimisation[J]. International Journal of Heat and Mass Transfer, 2018, 122: 138-149. doi: 10.1016/j.ijheatmasstransfer.2018.01.103 [20] LAZAROV B S, SIGMUND O, MEYER K E, et al. Experimental validation of additively manufactured optimized shapes for passive cooling[J]. Applied Energy, 2018, 226: 330-339. doi: 10.1016/j.apenergy.2018.05.106 [21] PIZZOLATO A, SHARMA A, MAUTE K, et al. Design of effective fins for fast PCM melting and solidification in shell-and-tube latent heat thermal energy storage through topology optimization[J]. Applied Energy, 2017, 208: 210-227. doi: 10.1016/j.apenergy.2017.10.050 [22] PIZZOLATO A, SHARMA A, GE R H, et al. Maximization of performance in multi-tube latent heat storage-optimization of fins topology, effect of materials selection and flow arrangements[J]. Energy, 2020, 203: 114797. doi: 10.1016/j.energy.2019.02.155 [23] 游吟, 赵耀, 赵长颖, 等. 相变储热单元内肋片结构的拓扑优化[J]. 科学通报, 2019, 64(11): 1191-1199. doi: 10.1360/N972018-01134YOU Y, ZHAO Y, ZHAO C Y, et al. The topology optimization of the fin structure in latent heat storage[J]. Chinese Science Bulletin, 2019, 64(11): 1191-1199(in Chinese). doi: 10.1360/N972018-01134 [24] TIAN Y, LIU X L, XU Q, et al. Bionic topology optimization of fins for rapid latent heat thermal energy storage[J]. Applied Thermal Engineering, 2021, 194: 117104. doi: 10.1016/j.applthermaleng.2021.117104 [25] 罗叶刚, 邢玉明, 赵亮, 等. 振动环境对相变组件热控性能影响的实验[J]. 航空动力学报, 2019, 34(3): 592-599. doi: 10.13224/j.cnki.jasp.2019.03.010LUO Y G, XING Y M, ZHAO L, et al. Experiment on the thermal management performance of phase change material under vibration environment[J]. Journal of Aerospace Power, 2019, 34(3): 592-599(in Chinese). doi: 10.13224/j.cnki.jasp.2019.03.010 [26] EZQUERRO J M, BELLO A, SALGADO SÁNCHEZ P, et al. The thermocapillary effects in phase change materials in microgravity experiment: Design, preparation and execution of a parabolic flight experiment[J]. Acta Astronautica, 2019, 162: 185-196. doi: 10.1016/j.actaastro.2019.06.004 [27] SALGADO SÁNCHEZ P, EZQUERRO J M, FERNÁNDEZ J, et al. Thermocapillary effects during the melting of phase change materials in microgravity: Heat transport enhancement[J]. International Journal of Heat and Mass Transfer, 2020, 163: 120478. doi: 10.1016/j.ijheatmasstransfer.2020.120478 [28] XU Y, ZHU Z H, LI S, et al. Numerical investigation on melting process of a phase change material under supergravity[J]. Journal of Thermal Science and Engineering Applications, 2021, 13(2): 021014. doi: 10.1115/1.4047524 [29] KANSARA K, SINGH V K, PATEL R, et al. Numerical investigations of phase change material (PCM) based thermal control module (TCM) under the influence of low gravity environment[J]. International Journal of Heat and Mass Transfer, 2021, 167: 120811. doi: 10.1016/j.ijheatmasstransfer.2020.120811 [30] IRADUKUNDA A C, VARGAS A, HUITINK D, et al. Transient thermal performance using phase change material integrated topology optimized heat sinks[J]. Applied Thermal Engineering, 2020, 179: 115723. doi: 10.1016/j.applthermaleng.2020.115723 [31] BOLMATENKOV D N, YAGOFAROV M I, SOKOLOV A A, et al. The heat capacities and fusion thermochemistry of sugar alcohols between 298.15 K and Tm: The study of D-sorbitol, D-mannitol and myo-inositol[J]. Journal of Molecular Liquids, 2021, 330: 115545. doi: 10.1016/j.molliq.2021.115545 [32] HO J Y, SEE Y S, LEONG K C, et al. An experimental investigation of a PCM-based heat sink enhanced with a topology-optimized tree-like structure[J]. Energy Conversion and Management, 2021, 245: 114608. doi: 10.1016/j.enconman.2021.114608 [33] HOU X, XING Y M, HAO Z L. Multi-objective optimization of a composite phase change material-based heat sink under non-uniform discrete heating[J]. Applied Thermal Engineering, 2021, 197: 117435. doi: 10.1016/j.applthermaleng.2021.117435 [34] 侯煦, 邢玉明, 郝兆龙, 等. 高碳醇/膨胀石墨复合相变热沉多目标优化[J]. 北京航空航天大学学报, 2021, 47(9): 1866-1873. doi: 10.13700/j.bh.1001-5965.2020.0341HOU X, XING Y M, HAO Z L, et al. Multi-objective optimization of a high alcohol/expanded graphite composite PCM based heat sink[J]. Journal of Beijing University of Aeronautics and Astronautics, 2021, 47(9): 1866-1873(in Chinese). doi: 10.13700/j.bh.1001-5965.2020.0341 [35] ZHOU H, ZHANG X Y, ZENG H Z, et al. Lightweight structure of a phase-change thermal controller based on lattice cells manufactured by SLM[J]. Chinese Journal of Aeronautics, 2019, 32(7): 1727-1732. doi: 10.1016/j.cja.2018.08.017 [36] OH Y K, PARK S H, CHO Y I. A study of the effect of ultrasonic vibrations on phase-change heat transfer[J]. International Journal of Heat and Mass Transfer, 2002, 45(23): 4631-4641. doi: 10.1016/S0017-9310(02)00162-X [37] LAN C W. Effects of axial vibration on vertical zone-melting processing[J]. International Journal of Heat and Mass Transfer, 2000, 43(11): 1987-1997. doi: 10.1016/S0017-9310(99)00264-1 [38] VADASZ J J, MEYER J P, GOVENDER S, et al. Experimental study of vibration effects on heat transfer during solidification of paraffin in a spherical shell[J]. Experimental Heat Transfer, 2016, 29(3): 285-298. doi: 10.1080/08916152.2014.973981 [39] BARDAN G, MOJTABI A. On the Horton-Rogers-Lapwood convective instability with vertical vibration: Onset of convection[J]. Physics of Fluids, 2000, 12(11): 2723-2731. doi: 10.1063/1.1313551 -


下载: