High dynamic cooperative topology online optimization and distributed guidance method
-
摘要:
针对高速飞行器集群飞行过程中的分布式协同制导问题,提出了基于最小生成树的自适应拓扑优化与制导方法。构建了飞行器集群通信链路的拓扑图,根据通信代价将距离量化为权值,通过最小生成树中Kruskal算法思想实时生成最优通信拓扑图;采用分布式双层协同制导构架与多中心分布式拓扑优化决策方法,在一致性协同控制律中对协调变量进行补偿计算;实现了飞行器集群协同飞行中的拓扑自适应优化调控。仿真验证结果表明了所提方法的有效性与优异性能。
Abstract:In order to solve the distributed cooperative guidance problem in the flight process of a high-velocity aircraft swarm, this paper proposed an adaptive topology optimization and guidance algorithm based on a minimum spanning tree. The algorithm constructed the topology graph of the communication link of the aircraft swarm, quantified the distance as the weight according to the communication cost, and generated the optimal communication topology graph in real time through the idea of the Kruskal algorithm in the minimum spanning tree. This paper adopted the distributed two-layer cooperative guidance framework and multi-center distributed topology optimization decision-making method and compensated for the consistent variables in the consensus cooperative control law, so as to realize the topology adaptive optimization and control in the cooperative flight of aircraft swarm. Simulation results verify the effectiveness and excellent performance of the proposed algorithm.
-
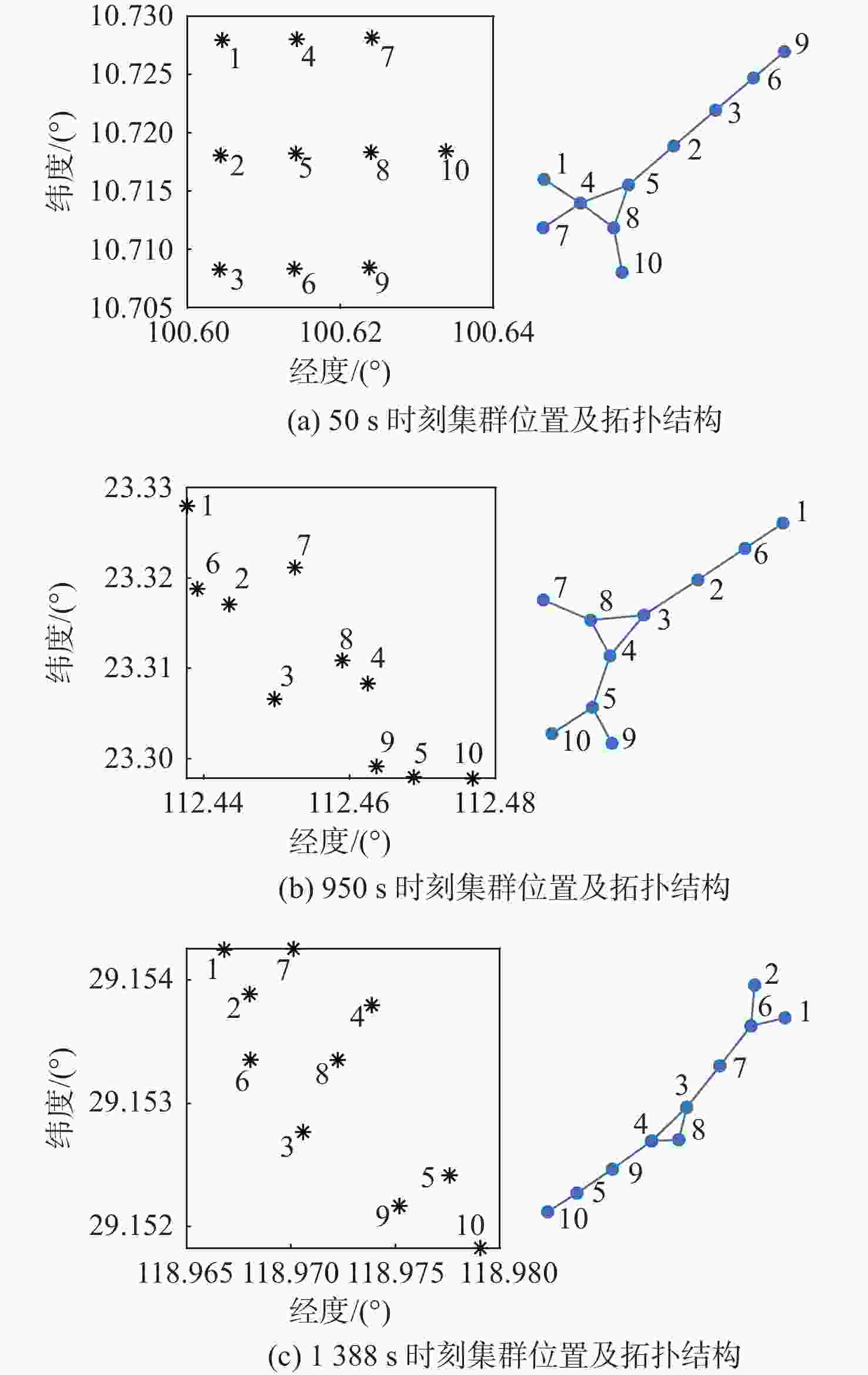
表 1 仿真条件设置
Table 1. Simulation condition setting
飞行器 初始纬度/(°) 初始经度/(°) 终端方位角/(°) 机动幅值 1 10.01 99.98 −95 0.1 2 10.00 99.98 −94 0.2 3 9.99 99.98 −93 0.3 4 10.01 99.99 −92 0.4 5 10.00 99.99 −91 0.5 6 9.99 99.99 −90 0.1 7 10.01 100.00 −89 0.2 8 10.00 100.00 −88 0.3 9 9.99 100.00 −87 0.4 10 10.00 100.01 −86 0.5 -
[1] 陈新庄, 郭志伟, 李江荣. 一阶一致性收敛速率的拓扑优化方法综述[J]. 延安大学学报(自然科学版), 2022, 41(2): 42-51.CHEN X Z, GUO Z W, LI J R. An overview of topology optimization for improving the convergence rate of first-order consensus protocols[J]. Journal of Yanan University (Natural Science Edition), 2022, 41(2): 42-51(in Chinese). [2] 杨彦祥. 无人机集群拓扑构型关键技术研究[D]. 成都: 电子科技大学, 2022.YANG Y X. Research on key technologies of UAV cluster topology configuration[D]. Chengdu: University of Electronic Science and Technology of China, 2022(in Chinese). [3] 马丹, 张宝峰, 王璐瑶. 多智能体系统一致性问题的控制器与拓扑协同优化设计[J]. 控制理论与应用, 2019, 36(5): 720-727. doi: 10.7641/CTA.2018.70950MA D, ZHANG B F, WANG L Y. Controller and topology co-optimization for consensus of multi-agent systems[J]. Control Theory & Applications, 2019, 36(5): 720-727(in Chinese). doi: 10.7641/CTA.2018.70950 [4] REN W. Consensus strategies for cooperative control of vehicle formations[J]. IET Control Theory & Applications, 2007, 1(2): 505-512. [5] GIULIETTI F, POLLINI L, INNOCENTI M. Autonomous formation flight[J]. IEEE Control Systems Magazine, 2000, 20(6): 34-44. doi: 10.1109/37.887447 [6] 董文奇, 何锋. 大规模 UAV编队信息交互拓扑的分级分布式生成[J]. 航空学报, 2021, 42(6): 452-462.DONG W Q, HE F. Hierarchical and distributed generation of information interaction topology for large scale UAV formation[J]. Acta Aeronautica et AstronauticaSinica, 2021, 42(6): 452-462(in Chinese). [7] 冉华明, 熊蓉玲. 空战中机群编队分层优化算法[J]. 航空学报, 2020, 41(S2): 44-52.RAN H M, XIONG R L. Hierarchical optimization algorithm for air fleet formation in air-combat[J]. Acta Aeronautica et Astronautica Sinica, 2020, 41(S2): 44-52(in Chinese). [8] 罗小元, 杨帆, 李绍宝, 等. 多智能体系统的最优持久编队生成策略[J]. 自动化学报, 2014, 40(7): 1311-1319.LUO X Y, YANG F, LI S B, et al. Generation of optimally persistent formation for multi-agent systems[J]. Acta Automatica Sinica, 2014, 40(7): 1311-1319(in Chinese). [9] WANG G Q, LUO H, HU X X. Generation of optimal persistent formations for heterogeneous multi-agent systems with a leader constraint[J]. Chinese Physics B, 2018, 27(2): 028901. doi: 10.1088/1674-1056/27/2/028901 [10] WANG G Q, LUO H, HU X X, et al. Communication topology optimization for three-dimensional persistent formation with leader constraint[J]. Optimization Letters, 2021, 15(2): 513-535. doi: 10.1007/s11590-018-1308-0 [11] 罗贺, 李晓多, 王国强. 能耗均衡的三维最优持久编队通信拓扑生成[J]. 航空学报, 2022, 43(1): 514-531. doi: 10.7527/j.issn.1000-6893.2022.1.hkxb202201039LUO H, LI X D, WANG G Q. Energy-balanced communication topology generation of three-dimensional optimally persistent formation[J]. Acta Aeronautica et Astronautica Sinica, 2022, 43(1): 514-531(in Chinese). doi: 10.7527/j.issn.1000-6893.2022.1.hkxb202201039 [12] 徐星光, 王晓峰, 姚璐, 等. 固定翼无人机编队构型与通信拓扑优化[J]. 系统工程与电子技术, 2022, 44(9): 2936-2946. doi: 10.12305/j.issn.1001-506X.2022.09.29XU X G, WANG X F, YAO L, et al. Formation configuration and communication topology optimization for fixed-wing UAVs[J]. Systems Engineering and Electronics, 2022, 44(9): 2936-2946(in Chinese). doi: 10.12305/j.issn.1001-506X.2022.09.29 [13] 崔亚妮, 任佳, 杜文才, 等. 多无人船通信网络拓扑优化控制算法[J]. 控制理论与应用, 2016, 33(12): 1639-1649. doi: 10.7641/CTA.2016.60473CUI Y N, REN J, DU W C, et al. Network topology optimization control algorithm for multiple unmanned surface vehicle[J]. Control Theory & Applications, 2016, 33(12): 1639-1649(in Chinese). doi: 10.7641/CTA.2016.60473 [14] QU G N, LI N. Accelerated distributed nesterov gradient descent[J]. IEEE Transactions on Automatic Control, 2020, 65(6): 2566-2581. doi: 10.1109/TAC.2019.2937496 [15] 庞博文, 朱建文, 包为民, 等. 通信长时间中断的分布式自主协同制导策略[J]. 战术导弹技术, 2022(4): 69-77.PANG B W, ZHU J W, BAO W M, et al. Distributed autonomous cooperative guidance strategy for long time communication interruption[J]. Tactical Missile Technology, 2022(4): 69-77(in Chinese). [16] BONDY J A, MURTY U S R. Graph theory[M]. London: Springer London, 2008. [17] ZHU J W, LIU L H, TANG G J, et al. Optimal guidance with multi-targets for hypersonic vehicle in dive phase[C]// 2013 6th International Conference on Recent Advances in Space Technologies (RAST). Piscataway: IEEE Press, 2013: 341-346. -


下载: