Effect of plasma excitation on aerodynamic characteristics of airfoil in Martian atmosphere
-
摘要:
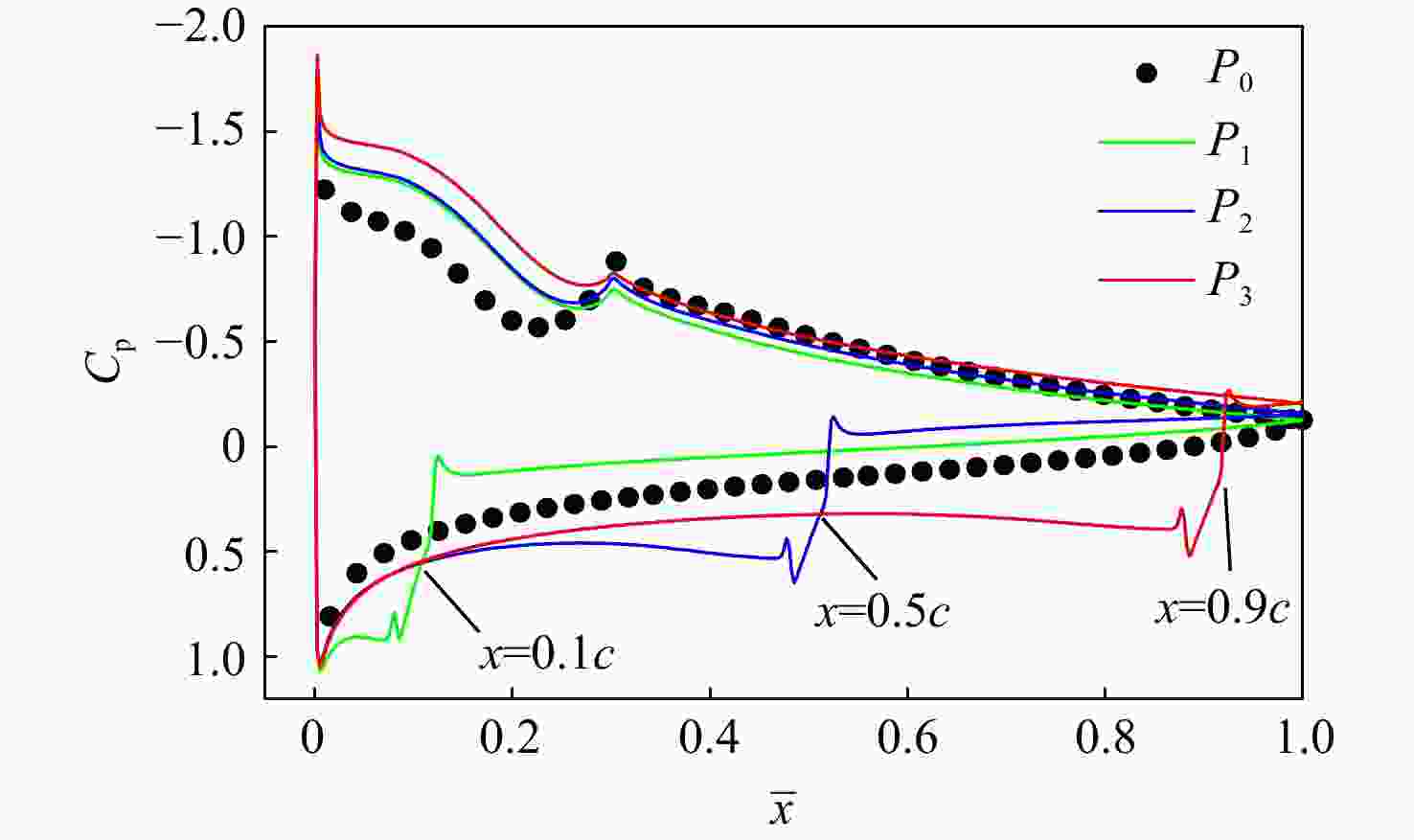
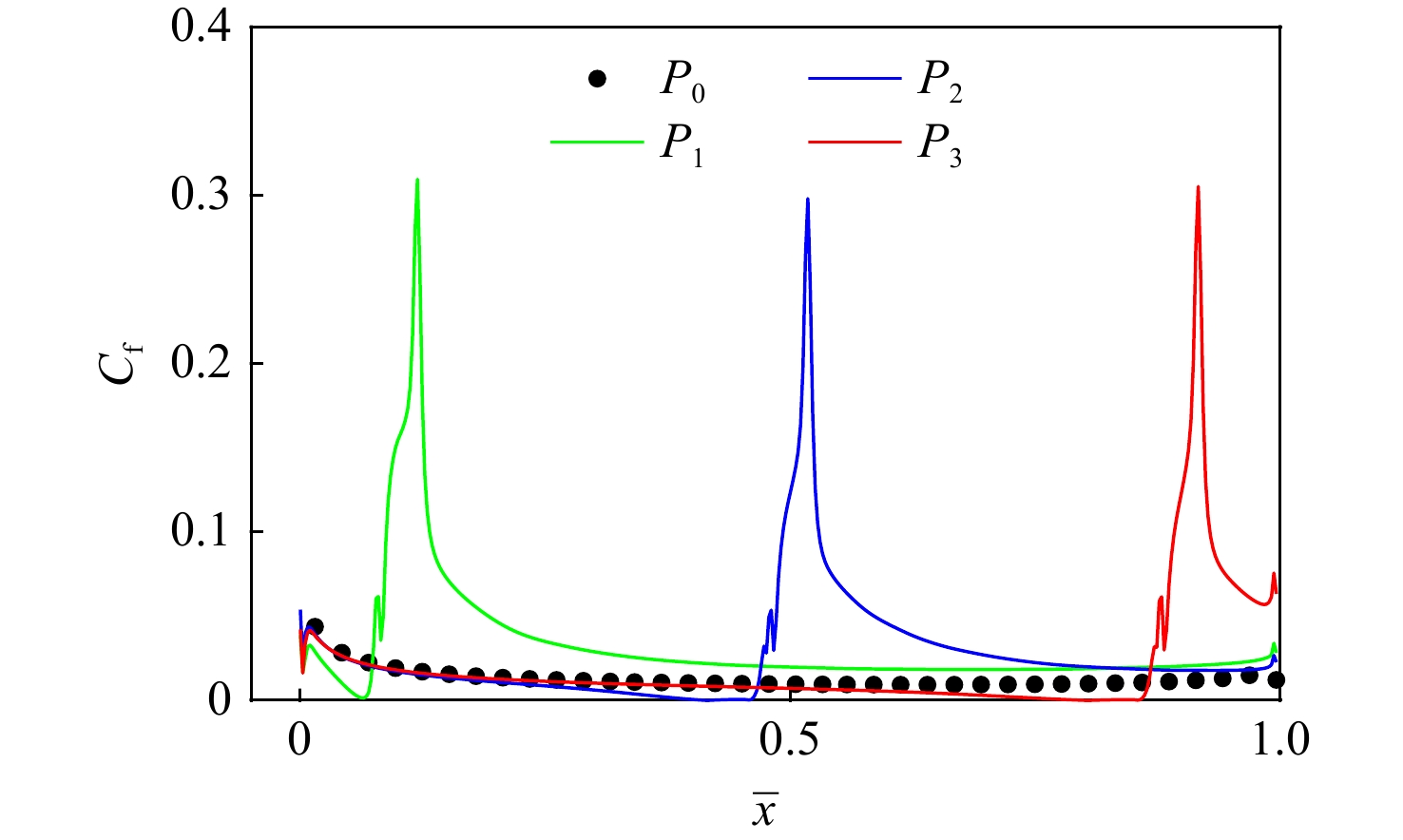
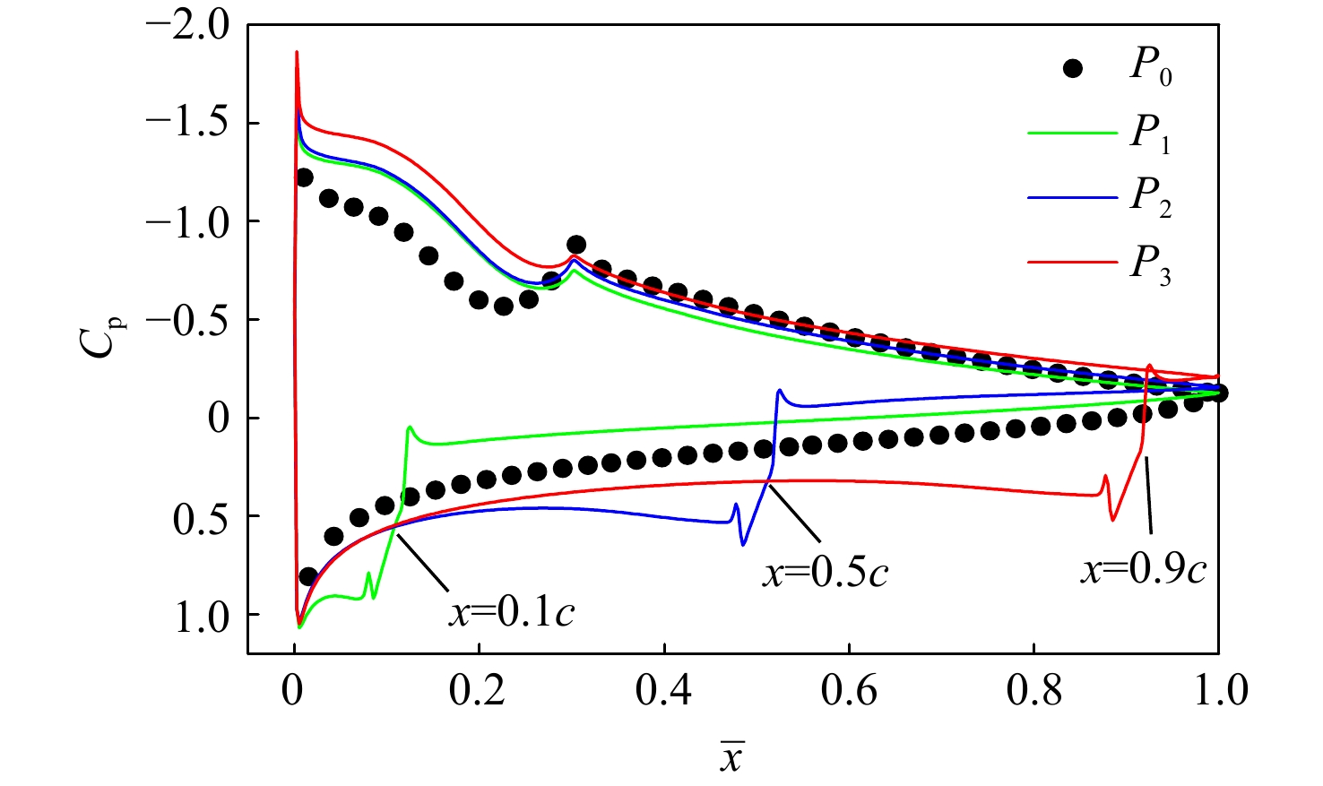
由于火星大气密度低、气压小,火星无人机翼型气动性能亟待进一步提高。采用等离子体激励主动流动控制技术提高火星条件下的翼型升力、降低翼型阻力。在火星低雷诺数条件下研究了等离子体激励的作用位置、激励功率及来流攻角对翼型升力和阻力的影响。结果表明:等离子体激励在下表面尾缘区域增升,最大增升率为37%;在下表面前缘区域减阻,最大减阻率为8%;激励功率越大,来流攻角越小,翼型升阻比提升越明显。等离子体激励诱导压力波,在激励的上、下游分别形成增压区和减压区,导致翼型表面形成增压面和减压面。当激励位置靠近尾缘,增压面扩大,翼型上、下表面压差增大,从而实现增升;当激励位置靠近前缘,减压面扩大,翼型压差阻力降低,从而实现减阻。
Abstract:The aerodynamic characteristics of the airfoil for the Martian unmanned aerial vehicles (UAVs) need to be improved because of the low density and the low pressure in the Martian atmosphere. The active flow control technology with plasma excitation was used to enhance the airfoil lift and reduce the airfoil drag in the Martian atmosphere. Effects of plasma excitation positions, excitation power, and angle of attack on the lift and drag of the airfoil were studied at a low Reynolds number on Mars. It is found that the plasma excitation increases the airfoil lift in the region of the trailing edge of the lower surface with a maximum increase of 37% and reduces the airfoil drag in the region of the leading edge of the lower surface with a maximum drag reduction of 8%. The lift-drag ratio of the airfoil significantly raises when increasing the excitation power and decreasing the angle of attack. The pressure wave induced by the plasma excitation generates a pressurized zone and a depressurized zone in the upstream and downstream regions of the excitation, respectively. Therefore, pressurized and depressurized surfaces appear on the airfoil. When the excitation gets close to the trailing edge, the pressurized surface enlarges, which leads to a higher pressure difference across the upper and lower surfaces of the airfoil and increases the airfoil lift. When the excitation is located near the leading edge, the depressurized surface expands, which reduces the pressure difference of the airfoil and decreases the airfoil drag.
-
Key words:
- Martian UAV /
- low Reynolds number /
- plasma excitation /
- lift enhancement /
- drag reduction
-
表 1 网格无关性
Table 1. Mesh independence
编号 网格数 Cl Cd y+ Ⅰ 50 107 0.671 9 0.048 7 ≤1 Ⅱ 105 669 0.673 0 0.049 5 ≤1 Ⅲ 233 701 0.673 1 0.050 1 ≤1 表 2 不同激励位置下的翼型阻力系数
Table 2. Drag coefficient with excitation positions
激励位置 压差阻力系数 摩擦阻力系数 总阻力系数 无激励 0.037 8 0.016 8 0.054 6 0.1c 0.019 8 0.030 4 0.050 2 0.2c 0.023 5 0.028 9 0.052 4 0.3c 0.027 0 0.027 8 0.054 8 0.4c 0.030 5 0.026 7 0.057 2 0.5c 0.034 1 0.025 4 0.059 5 0.6c 0.037 9 0.024 1 0.062 0 0.7c 0.041 7 0.022 4 0.064 1 0.8c 0.045 4 0.020 4 0.065 8 0.9c 0.048 6 0.017 4 0.066 0 -
[1] 赵鹏越, 全齐全, 邓宗全, 等. 旋翼式火星无人机技术发展综述[J]. 宇航学报, 2018, 39(2): 121-130.ZHAO P Y, QUAN Q Q, DENG Z Q, et al. Overview of research on rotary-wing Mars unmanned aerial vehicles[J]. Journal of Astronautics, 2018, 39(2): 121-130 (in Chinese). [2] KONING W J F, JOHNSON W, GRIP H F. Improved Mars helicopter aerodynamic rotor model for comprehensive analyses[J]. AIAA Journal, 2019, 57(9): 3969-3979. [3] CHAHAT N, MILLER J, DECROSSAS E, et al. The Mars helicopter telecommunication link: antennas, propagation, and link analysis[J]. IEEE Antennas and Propagation Magazine, 2020, 62(6): 12-22. [4] 李益文, 王宇天, 庞垒, 等. 进气道等离子体/磁流体流动控制研究进展[J]. 力学学报, 2019, 51(2): 311-321.LI Y W, WANG Y T, PANG L, et al. Research progress of plasma/MHD flow control in inlet[J]. Chinese Journal of Theoretical and Applied Mechanics, 2019, 51(2): 311-321 (in Chinese). [5] 王万波, 姜裕标, 黄勇, 等. 大型飞机襟翼吹气增升风洞试验[J]. 航空学报, 2023, 44(13): 127870.WANG W B, JIANG Y B, HUANG Y, et al. Lift enhancement wind tunnel test with flap blowing for large aircraft[J]. Acta Aeronautica et Astronautica Sinica, 2023, 44(13): 127870 (in Chinese). [6] 章胜华, 邓枫, 覃宁, 等. 激波控制鼓包对跨声速抖振影响的数值研究[J]. 航空学报, 2022, 43(11): 526806.ZHANG S H, DENG F, QIN N, et al. Numerical study on impact of shock control bump on transonic buffet[J]. Acta Aeronautica et Astronautica Sinica, 2022, 43(11): 526806 (in Chinese). [7] 李超, 黄河峡, 罗金玲, 等. 基于微型叶片式涡流发生器的前体压缩面低能流掺混机理[J]. 空气动力学学报, 2022, 40(1): 119-128.LI C, HUANG H X, LUO J L, et al. Mixing of low-momentum fluids over the forebody ramp based on micro-vane vortex generators[J]. Acta Aerodynamica Sinica, 2022, 40(1): 119-128 (in Chinese). [8] 邹琳, 左红成, 柳迪伟, 等. 基于定常吹吸气的波浪型圆柱主动控制研究[J]. 力学学报, 2022, 54(11): 2970-2983.ZOU L, ZUO H C, LIU D W, et al. Active flow control of wavy cylinder based on steady blowing and suction[J]. Chinese Journal of Theoretical and Applied Mechanics, 2022, 54(11): 2970-2983 (in Chinese). [9] SU W Y, CHEN Y, ZHANG F R, et al. Control of pseudo-shock oscillation in scramjet inlet-isolator using periodical excitation[J]. Acta Astronautica, 2018, 143: 147-154. [10] YU Y, XU J L, GAN N G. Effects of parameters on continuously working plasma synthetic jet[J]. Engineering Applications of Computational Fluid Mechanics, 2014, 8(1): 55-69. [11] 王宏宇, 闵夫, 解真东, 等. 直流放电控制高速带斜坡锥体气动力的有效性[J/OL]. 空气动力学学报. (2023-1-10)[2023-02-16]. https://kns.cnki.net/kcms/detail/51.1192.TK.20230216.1037.002.html.WANG H Y, MIN F, XIE Z D, et al. Effectiveness of DC discharge in controlling aerodynamic force of high-speed cone with slope[J/OL]. Acta Aerodynamica Sinica. (2023-1-10)[2023-02-16]. https://kns.cnki.net/kcms/detail/51.1192.TK.20230216.1037.002.html (in Chinese). [12] 罗振兵, 夏智勋, 邓雄, 等. 合成双射流及其流动控制技术研究进展[J]. 空气动力学学报, 2017, 35(2): 252-264,251.LUO Z B, XIA Z X, DENG X, et al. Research progress of dual synthetic jets and its flow control technology[J]. Acta Aerodynamica Sinica, 2017, 35(2): 252-264,251 (in Chinese). [13] 张鑫, 王勋年. 正弦交流介质阻挡放电等离子体激励器诱导流场研究的进展与展望[J]. 力学学报, 2023, 55(2): 285-298.ZHANG X, WANG X N. Research progress and outlook of flow field created by dielectric barrier discharge plasma actuators driven by a sinusoidal alternating current high-voltage power[J]. Chinese Journal of Theoretical and Applied Mechanics, 2023, 55(2): 285-298 (in Chinese). [14] 陆政旭, 陈肇麟, 肖天航, 等. 火星旋翼无人机翼型局部振动的数值模拟[C]//2021中国力学大会. 南京: 南京航空航天大学, 2022: 480-492.LU Z X, CHEN Z L, XIAO T H, et al. Numerical simulation of airfoil for Martian rotor with local oscillation[C]//Proceedings of the 2021 China Mechanics Congress. Nanjing: Nanjing University of Aeronautics and Astronauties, 2022: 480-492(in Chinese). [15] TABUCHI K, SUMITOMO R, TANAKA K, et al. Numerical analysis of magnetohydrodynamic flow control in Mars direct and orbital entries[C]// AIAA SCITECH 2023 Forum. Reston: AIAA, 2023: AIAA2023-2559. [16] TAKAGAKI M, ISONO S, NAGAI H, et al. Evaluation of plasma actuator performance in Martian atmosphere for applications to Mars airplanes[C]// 4th Flow Control Conference. Reston: AIAA, 2008: 2008-3762. [17] 李应红, 吴云, 梁华, 等. 等离子体激励气动力学探索与展望[J]. 力学进展, 2022, 52(1): 1-32.LI Y H, WU Y, LIANG H, et al. Exploration and outlook of plasma-actuated gas dynamics[J]. Advances in Mechanics, 2022, 52(1): 1-32 (in Chinese). [18] 黄广靖, 戴玉婷, 杨超. 低雷诺数俯仰振荡翼型等离子体流动控制[J]. 力学学报, 2021, 53(1): 136-155.HUANG G J, DAI Y T, YANG C. Plasma-based flow control on pitching airfoil at low Reynolds number[J]. Chinese Journal of Theoretical and Applied Mechanics, 2021, 53(1): 136-155 (in Chinese). [19] 刘汝兵, 孙伟, 牛中国, 等. 火花放电等离子体射流实验研究[J]. 推进技术, 2015, 36(3): 372-377.LIU R B, SUN W, NIU Z G, et al. Experimental investigation on spark discharge plasma jet[J]. Journal of Propulsion Technology, 2015, 36(3): 372-377 (in Chinese). [20] 王浩, 程邦勤, 纪振伟, 等. 局部电弧丝状放电控制激波/边界层干扰的数值研究[J]. 推进技术, 2017, 38(11): 2431-2438.WANG H, CHENG B Q, JI Z W, et al. Numerical simulation of localized arc filament plasma actuator for shock wave/boundary layer interaction control[J]. Journal of Propulsion Technology, 2017, 38(11): 2431-2438 (in Chinese). [21] 吴云, 李应红. 等离子体流动控制研究进展与展望[J]. 航空学报, 2015, 36(2): 381-405.WU Y, LI Y H. Progress and outlook of plasma flow control[J]. Acta Aeronautica et Astronautica Sinica, 2015, 36(2): 381-405 (in Chinese). [22] OGLOBLINA P, MORILLO-CANDAS A S, SILVA A F, et al. Mars in situ oxygen and propellant production by non-equilibrium plasmas[J]. Plasma Sources Science Technology, 2021, 30(6): 065005. [23] 钱茂程. 模拟火星条件下CO2辉光放电产物及发射光谱研究[D]. 济南: 山东大学, 2021.QIAN M C. Study on CO2 glow discharge products and emission spectra under simulated Mars conditions[D]. Jinan: Shandong University, 2021 (in Chinese). [24] GUERRA V, SILVA T, PINHÃO N, et al. Plasmas for in situ resource utilization on Mars: Fuels, life support, and agriculture[J]. Journal of Applied Physics, 2022, 132(7): 070902. [25] 杨婷婷. 火星无人机梯形桨叶空气动力学特性分析及实验研究[D]. 哈尔滨: 哈尔滨工业大学, 2018.YANG T T. Analysis and experimental study on aerodynamic characteristics of trapezoidal blades of Mars UAV[D]. Harbin: Harbin Institute of Technology, 2018 (in Chinese). [26] 王宇天, 张百灵, 李益文, 等. 等离子体激励控制激波与边界层干扰流动分离数值研究[J]. 航空动力学报, 2018, 33(2): 364-371.WANG Y T, ZHANG B L, LI Y W, et al. Numerical investigation for control of shock wave and boundary layer interactions flow separation with plasma actuation[J]. Journal of Aerospace Power, 2018, 33(2): 364-371 (in Chinese). [27] 林敏, 徐浩军, 梁华, 等. 等离子体气动激励减小翼型跨音速阻力的数值模拟[J]. 空军工程大学学报(自然科学版), 2012, 13(2): 6-10.LIN M, XU H J, LIANG H, et al. Numerical simulation of plasma aerodynamic actuation for airfoil transonic drag reduction[J]. Journal of Air Force Engineering University (Natural Science Edition), 2012, 13(2): 6-10 (in Chinese). [28] HIDAKA H, OKAMOTO M. An experimental study of triangular airfoils for Mars airplane[J]. Transactions of the Japan Society of Aeronautical and Space Sciences, Aerospace Technology Japan, 2014, 12(20): 21-27. [29] 刘加伟, 柳兆涛, 丁仕洪, 等. 等离子体热效应对NACA0012翼型增升减阻的研究[J]. 推进技术, 2020, 41(5): 1055-1062.LIU J W, LIU Z T, DING S H, et al. Study on lift enhancement and drag reduction of NACA0012 airfoil under plasma thermal effect[J]. Journal of Propulsion Technology, 2020, 41(5): 1055-1062 (in Chinese). [30] LI Y W, LI Y H, ZHOU Z W, et al. Experimental investigation on induced flow velocity of plasma aerodynamic actuation[J]. Transactions of Nanjing University of Aeronautics & Astronautics, 2009, 26(1): 23-28. -


下载: