2. 北京航空航天大学 航空科学与工程学院, 北京 100191
2. School of Aeronautic Science and Engineering, Beijing University of Aeronautics and Astronautics, Beijing 100191, China
直升机在结冰气象条件下飞行时会发生结冰现象,这会对飞行产生很大的危害,甚至导致机毁人亡的严重事故[1].因此,为提高直升机飞行安全性、环境适应性及满足适航要求,旋翼系统、进气道、风挡玻璃等易结冰表面都需要进行防/除冰的设计[2].目前已有多种防/除冰方法,其中周期电热除冰系统以其低能耗、易控制等优点而越来越受青睐,被广泛应用于直升机.周期电热除冰系统是采用电加热的方式,使旋翼桨叶结冰表面被周期性加热的一种除冰装置.系统在非加热过程中,大气中的过冷水滴撞击到部件表面而结冰;在加热过程中,表面温度不断升高,部件表面所结冰层与蒙皮相连的薄层融化,然后在气动力或离心力等外力的作用下脱落,达到除冰的效果.
为了验证和改善电热除冰系统的性能,国外的研究机构对电热除冰系统进行了大量的实验研究和数值研究,并且开发了一系列的除冰模拟软件,例如加拿大NTI公司开发了Fensap-Ice软件,采用电热除冰模块计算[3];Bennani等人[4]的ONERA除冰软件,采用数值模拟的方法分析了二维电热除冰的过程,用破碎扩展模型来模拟冰层的脱落;Botura等人[5, 6]提出了脉冲电热除冰系统,在减少能量消耗和冰脊的形成上取得了良好的效果.Pourbagian等人[7]对电热除冰系统进行了优化设计,既不影响飞行安全又尽可能地减少能量消耗.
国内也开展了直升机防/除冰研究.2005年,艾剑波等人[8]对直升机旋翼浆叶除冰结构的设计和简单计算方法进行了介绍.2007年,常士楠等人[9]对某型直升机旋翼浆叶防/除冰系统的防护范围进行了研究,随后,又对二维电热除冰矩形单元的瞬态传热进行了计算,研究了表面温度和加热控制律的关系[10].2010年,卜雪琴等人[11]对机翼电加热防冰表面内外传热的耦合特性进行了计算,得到了平衡表面温度、溢流水和溢流结冰的范围.2012年,肖春华等人[12]计算了电热除冰过程的热力耦合特性及其对除冰的影响,得到冰层应力随热流密度的变化规律,预测了热力耦合对冰层内部的破坏作用.现在国内正将旋翼防/除冰系统应用于型号.
国内外在电热除冰计算方面做了很多工作,取得了很多的研究成果,然而对加热控制律的研究却相对较少.结冰表面的温度除了受飞行参数和气象参数的影响之外,还由系统的加热控制律决定.周期电热除冰系统的加热控制律主要包括平均加热热流密度和周期加热的通、断电时间等.合理的加热控制律对于节约能源、优化系统工作和保障飞行安全有非常重要的意义.
本文对翼型周期电热除冰系统进行了数值仿真计算,分析了不同结冰气象条件下不同的控制律对电热除冰系统的影响,以便更好地设计除冰系统,提高能量的利用效率. 1 电热除冰数值建模 1.1 数学模型的建立
电热除冰系统的加热装置一般都采用多层结构[13],由外蒙皮、内蒙皮、加热层和内、外绝缘层5部分组成[14].由于积冰主要分布在翼型的前缘,因此除冰系统通常布置于翼型前缘,且不同位置处加热片的功率是可以单独控制的.图 1为翼型电热除冰系统的加热器示意图.
![]() |
| 图 1 电热除冰系统加热器示意图Fig. 1 Electro-thermal deicing system schematic diagram |
为简化计算,对电热除冰系统的模型作如下假设:
1) 系统各层材料物性参数(密度、导热系数、比热容等)不随温度变化;
2) 冰(水)层及固体各层之间接触良好,忽略接触热阻;
3) 蒙皮附近一定厚度的冰层融化后冰层脱落,这个厚度一般大于蒙皮表面的粗糙度,本文取为0.15mm;
4) 采用改进的焓法模型来模拟积冰的融化过程,即积冰融化的相变过程发生在很小的温度间隔内(0.02℃).
由于加热条供热由加热控制律决定,系统各层温度随着时间的变化而变化,传热过程是一个有内热源、伴随相变的二维非稳态导热过程.控制方程可以表示为如下形式:

对于冰层,需要考虑其相变.伴随着固液相变的传热过程在数学上是一个强非线性问题,一般只能用数值方法求解.焓法已被证明是解决固液相变问题十分有效的数值方法,本文就利用焓法建立冰层的数学模型:

固相区:

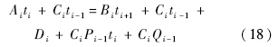
两相区:


液相区:

边界条件如下:
1) 外表面对流换热为

2) 内表面对流换热为

3) 计算域左右边界为绝热边界条件:

周期电热除冰系统工作时,冷却过程中,部件表面结冰区收集与之相对运动的大气中的过冷水滴而产生结冰,因此对结冰过程的分析计算是必不可少的.另外,对流换热系数是结冰计算中的一个重要参数,本文在计算时用到的对流换热系数来自流体计算软件FLUENT的输出结果,紊流模型选用了适用于航空气动力计算的单方程(Spalart-Allmaras)模型. 1.2.1 质量平衡
进行外表面结冰过程热质平衡分析时,在经典的Messinger结冰质量模型基础上进行改进,引入驻留量Mrmw.这样,对于一个控制体,其质量平衡方程如下:

驻留水量的计算采用如下公式:

关于外表面结冰过程的热量平衡,本文在Messinger模型的基础上结合驻留水所携带的能量Qrmw,得到单个控制体的热量平衡方程:

在除冰系统开启前,翼型表面已经有积冰,在除冰过程中冰还会继续生长.在冰层脱落前,冰层表面温度一般都高于附面层外边界上的气流温度,过冷水滴撞击到冰形表面时会发生冻结、蒸发和溢流,此过程为一个复杂的内外耦合传热传质过程,而使用等效换热系数将大大简化计算.将等效换热系数代入控制方程的边界条件中,即可将除冰系统内部的温度场计算与其表面与外部的换热情况结合起来,更好地模拟其工作状态.等效换热系数heff(W/(m·K))的表达式如下:

定义冻结系数f:

利用f的定义,可以将质量平衡方程和能量平衡方程合并为一个方程:

式(14)中包含3个未知数:f,ts和Qsur,直接求解比较困难,需要根据实际的物理过程增加约束条件方可进行求解,具体求解方法及思路参见文献[15].
方程求解后可获得每个控制体的结冰量Mfreeze和表面温度ts,据此可得到表面结冰的厚度及形状等信息. 2.2 导热控制方程求解
采用控制容积法将控制微分方程(1)进行离散,利用三对角阵算法(TDMA,Three Diagonal Matrix Algorithm)方法、隐式双向扫描方法(ADI,Three Diagonal Matrix Algorithm)对离散方程进行求解,即可计算出除冰装置内部和除冰表面的温度分布情况. 2.2.1 TDMA方法
TDMA基于高斯消元法,特别适合求解由导热型微分方程离散得到的代数方程组构造的系数矩阵.
假设一维系统的以节点温度T为变量的线性代数方程组,统一写成如下的形式:

把式(15)改写成为








根据图 2所示的二维直角坐标系下的网格系统示意图,用控制容积法将式(1)离散后可得

![]() |
| 图 2 直角坐标系下的网格系统Fig. 2 Grid system in the Cartesian coordinate |

ke,kw,kn,ks分别是控制体界面上的当量导热系数,用调和平均法确定.
本文的离散方程组是二维系统,其系数矩阵是五对角阵,因此不能直接用TDMA方法求解,但是可以用ADI块迭代法将二维问题化成两个方向上的一维问题,在每个方向上可以分别应用TDMA方法求解.
如图 3所示,每个内部节点上的温度值都由其上下左右4个相邻节点上的温度值确定,在任意一条竖直网格线A-A′上的各内部节点,其相邻的左右节点的温度如果已知,则该节点温度只由上下两相邻节点温度确定.即有


从而A-A′线上各节点的温度值就可以用TDMA算法进行求解.对每条竖直网格线上的节点温度都用这样的方法求解,逐列推进,就可以求得整个计算区域上各节点的温度值.
![]() |
| 图 3 块迭代法示意图Fig. 3 Schematic block iterative method |
周期电加热除冰系统的加热是按一定规律周期变化的,加热器开启,除冰表面温度升高,冰被除去,加热器关闭,表面温度下降,表面再次结冰,直到下一加热时间冰被除去.不同的加热控制律对除冰系统的工作会产生很大的影响,为说明不同的加热规律对表面温度的影响,选取的计算条件和参数如下:表 1给出了3种不同的结冰气象条件,表 2给出了除冰系统结构各层的物性参数,表 3给出了除冰系统模型中加热条的分布参数,加热片编号见图 1,表 4给出了4种不同的控制律,表 5给出了3种不同的加热条的功率分布.
t∞/℃ | H/km | V∞/ (m/s) | P/kPa | Α/ (°) | MVD/ μm | LWC/ (g/m3) |
| -10 | 4.56 | 131.66 | 57.3 | 5.4 | 15 | 0.6 |
| -20 | 6.69 | 172.17 | 42.9 | 4.2 | 15 | 0.3 |
| -30 | 1.52 | 129.05 | 84.4 | 2.3 | 15 | 0.2 |
| 注:MVD—水滴平均容积直径;LWC—液态水含量. |
| 名称 | 厚度/mm | 导热系数/ (W/(m·K)) | 热容/ (J/(kg·K)) | 密度/ (kg/m3) |
| 结构底层 | 2.13 | 115 | 963 | 2800 |
| 内绝热层 | 1.87 | 0.38 | 963 | 1760 |
| 加热层 | 0.26 | 13.2 | 448 | 8250 |
| 外绝热层 | 0.28 | 0.38 | 964 | 1760 |
| 磨损层 | 0.56 | 23.4 | 502 | 7750 |
| 水 | 0.55 | 4174 | 1000 | |
| 冰 | 2.45 | 2102 | 919.5 |
| 加热条编号 | 起始位置/mm | 终止位置/mm |
| A | -9.50 | 9.50 |
| B | 9.60 | 34.90 |
| C | -34.90 | -9.60 |
| D | 35.00 | 60.30 |
| E | -60.30 | 35.00 |
| F | 60.40 | 98.50 |
| G | -98.50 | -60.40 |
| 控制律编号 | 热流密度/(kW/m2) | 加热时间/s | 冷却时间/s |
| 1 | 10 | 10 | 20 |
| 2 | 20 | 10 | 20 |
| 3 | 20 | 20 | 20 |
| 4 | 40 | 20 | 90 |
| 控制律编号 | A | B | C | D | E | F | G |
| 1 | 40 | 40 | 40 | 40 | 40 | 40 | 40 |
| 2 | 40 | 30 | 30 | 20 | 20 | 10 | 10 |
| 3 | 40 | 30 | 30 | 20 | 20 | 20 | 20 |
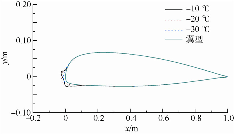
由于除冰系统开启前,表面已覆有冰层,为了更好地模拟除冰系统的工作情况,有必要对结冰外形进行模拟,通过模拟冰形来赋予除冰系统初始条件和边界条件,图 4为表 1中3种不同结冰条件下的模拟冰形.
![]() |
| 图 4 模拟冰形Fig. 4 Simulated ice shape |
1) 加热规律对驻点处温度变化的影响.
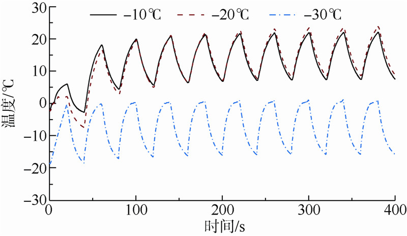
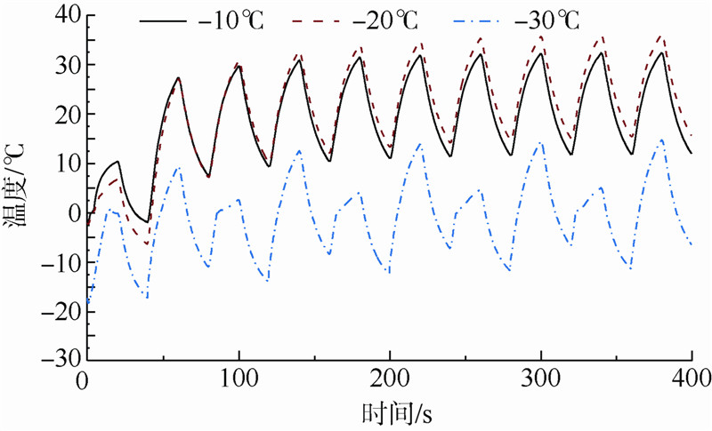
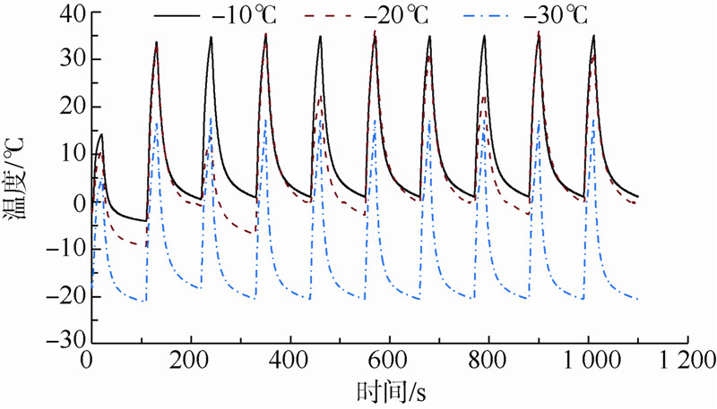
图 5~图 8分别对应表 4中的4种不同控制率的温度计算结果.
![]() |
| 图 5 加热热流密度10kW/m2加热10s冷却20sFig. 5 Heat flux 10kW/m2 heating 10s cooling 20s |
![]() |
| 图 6 加热热流密度20kW/m2加热10s冷却20sFig. 6 Heat flux 20kW/m2 heating 10s cooling 20s |
![]() |
| 图 7 加热热流密度20kW/m2加热20s冷却20sFig. 7 Heat flux 20KW/m2 heating 20s cooling 20s |
![]() |
| 图 8 加热热流密度40kW/m2加热20s冷却90sFig. 8 Heat flux 40kW/m2 heating 20s cooling 90s |
从图 5可看出:对于表 4中的控制律1,-10℃条件下,驻点温度在一个加热周期后达到高于0℃,并呈缓慢增长的趋势;-20℃条件下,除每个加热时间结束驻点最高温度处于0℃附近之外,其余时间均低于0℃;-30℃条件下,驻点温度始终低于0℃.表明:加热控制律1只在环境温度较高(-10℃)条件下除冰有效,其余条件下无法达到除冰的目的,不符合除冰要求.这主要因为:-10℃条件下,外界环境温度较高,加热控制律1可很快将该条件下的结冰除去;而环境温度-20℃和-30℃条件下,由于环境温度较低,同样使用控制律1的加热热流密度和加热、冷却时间就不足以将相应条件下的结冰除去,驻点处的温度始终在0℃以下,且环境温度越低,驻点温度越低,-30℃条件下的驻点温度低于-10℃和-20℃时的驻点温度.
从图 6可以看出:对于表 4中的控制律2,-10℃条件下,一个加热周期后,温度始终维持在0℃以上;-20℃条件下,经过5个周期后最低温度维持在0℃以上;而-30℃条件下,温度始终维持在-22~0℃之间.表明:尽管加热控制律2由于加热热流密度提高,在同样加热、冷却时间下,使得同样结冰条件下的驻点温度有所提高,但在环境温度较低(-30℃)条件下,仍然无法达到除冰的目的,不符合除冰要求.原因同上,-10℃条件下,加热控制律2可较控制律1更快地将该条件下的结冰除去;而环境温度-20℃条件下,由于环境温度较低,则需要经过几个周期后,才能达到驻点温度始终维持在0℃以上;环境温度-30℃条件下,驻点处的温度始终在0℃以下,加热控制律2仍不足以达到除冰的目的.
从图 7可见:对于表 4中的控制律3,环境温度-10℃和-20℃条件下,一周期后驻点温度始终高于0℃;但-30℃条件下,驻点温度仍然始终低于0℃.表明:由于相对加热控制律2,加热控制律3的加热时间延长,使得同样结冰条件下的驻点温度在相同时刻有所提高,并且在-20℃条件下也能在一个加热周期后迅速达到0℃以上,但对于更低的-30℃环境温度条件,此加热控制律仍然无法达到除冰的目的,不符合除冰要求.原因同上.
图 8为表 4中的控制律4的计算结果,加热控制律4与加热控制律3相比,加热热流密度由20kW/m2提高到40kW/m2,加热时间不变,冷却时间由20s延长至90s.可以看出:-10℃和-20℃条件下,驻点温度都在0℃以上,能够达到除冰效果;即使在环境温度为-30℃的低温条件下,驻点温度也能在第1个加热周期就迅速上升到0℃以上,达到除冰效果,并且温度呈周期性变化,没有明显上升或下降趋势.表明:该加热控制律比较合理,在各种结冰条件下除冰效果良好,在加热时间内既能将冰除去,又不会使系统温度过高而造成机载能源的浪费.
2) 加热热流密度对除冰表面温度的影响.
由于外表面各处的水滴收集系数和换热条件不一样,除冰需要的热量也会不同,所以除冰系统一般采用变功率设计.计算选取了-30℃结冰条件,加热时间控制律为加热时间20s,冷却时间90s,采用表 5中3种加热热流密度分布计算得到的加热时间段结束时除冰表面的温度分布,如图 9所示.采用热流密度分布1时,加热片的热流密度一致,除冰表面所有温度高于0℃,可达除冰效果,但是在远离驻点的除冰区域,局部表面温度过高,造成在这些位置不必要的能量浪费;采用热流密度分布2时,加热片F和G的热流密度只有10kW/m2,导致除冰表面远离驻点的除冰区域局部温度低于0℃,达不到除冰的要求;采用热流密度分布3时,加热片热流密度分布较合理,驻点区域热流密度大,远离驻点区热流密度逐渐降低,可达除冰效果,且除冰表面温度分布比较均匀,可有效降低能量的消耗.计算结果表明,采用合理的加热热流密度分布,可以让除冰系统更高效地工作.
![]() |
| 图 9 加热时间段结束时除冰表面温度Fig. 9 Ice surface temperature at the end of the heating period |
本文对翼型电热除冰问题进行了分析,首先介绍了电热除冰系统的工作原理,建立了除冰装置的物理和数学模型,分析了等效对流换热系数的计算,对离散控制微分方程得到的代数方程组进行求解,得到了除冰表面的温度场,计算了不同结冰条件下加热规律对除冰表面温度的影响.计算结果表明协调加热热流密度和时间控制律可以使除冰系统更好地工作.主要结论如下:
1) 设计合理的加热热流密度及其分布,不仅可以加快相应时间,减少系统总能量消耗,更可以使除冰表面温度分布更加均匀,避免了局部温度过高造成的能量浪费,使系统更高效地工作.
2) 在确定加热热流密度的前提下,应合理设 计加热、冷却时间,使系统既能有效工作,又尽可能地节省能量.
由于篇幅有限,本文计算结果的分析主要以驻点表面温度为例,在有限的计算条件下进行分析说明,经大量算例分析,对于除冰范围内的其他表面位置和条件结论同样适用.
| [1] | 裘燮纲,韩凤华.飞机防冰系统[M].北京:航空专业教材编审组,1984 Qiu Xiegang,Han Fenghua.Aircraft anti-icing system[M].Beijing:Aeronautic Specialty Textbook Read and Edit Group,1984(in Chinese) |
| [2] | CCAR-29-R1 运输类旋翼航空器适航规章[S] CCAR-29-R1 Transport type rotor aircraft airworthiness regulation[S](in Chinese) |
| [3] | 陈维建,张大林.瘤状冰结冰过程的数值模拟[J].航空动力学报,2005,20(3):472-476 Chen Weijian,Zhang Dalin.Numerical simulation of glaze ice accretion process[J].Journal of Aerospace Power,2005,20(3):472-476(in Chinese) |
| Cited By in Cnki (24) | |
| [4] | Bennani L,Villedieu P,Salaun M.Two dimensional model of an electro-thermal ice protection system[R].AIAA-2013-2936, 2013 |
| [5] | Botura G C,Sweet D,Flosdorf D.Development and demonstration of low power electro-thermal de-icing system[R].AIAA-2005-1460,2005 |
| [6] | Botura G C,Sweet D.Concept development of low power electro-thermal de-icing system[R].AIAA-2006-0864,2006 |
| [7] | Pourbagian M,Habashi W.CFD-based optimization of electro-thermal wing ice protection systems in de-icing mode[R].AIAA-2013-0654,2013 |
| [8] | 艾剑波,邓景辉,刘达经.直升机旋翼浆叶除冰结构设计[J].直升机技术,2005(2):12-15 Ai Jianbo,Deng Jinghui,Liu Dajing.China helicopter research and development institute[J].Helicopter Technique,2005(2):12-15(in Chinese) |
| Cited By in Cnki (6) | |
| [9] | 常士楠,刘达经,袁修干.直升机旋翼浆叶防/除冰系统防护范围研究[J].航空动力学报,2007,22(3):360-364 Chang Shinan,Liu Dajing,Yuan Xiugan.Research on protected range of the anti-icing/deicing system for helicopter rotor[J].Journal of Aerospace Power,2007,22(3):360-364(in Chinese) |
| Cited By in Cnki (13) | Click to display the text | |
| [10] | 常士楠,侯雅琴,袁修干.周期电加热控制律对除冰表面温度的影响[J].航空动力学报,2007,22(8):1247-1251 Chang Shinan,Hou Yaqin,Yuan Xiugan.Influence of periodic electro-heating pulse on deicing surface temperature[J].Journal of Aerospace Power,2007,22(8):1247-1251(in Chinese) |
| Cited By in Cnki (8) | Click to display the text | |
| [11] | 卜雪琴,林贵平,郁嘉.机翼电加热防除冰表面内外传热的耦合计算[J].航空动力学报,2010,25(7):1491-1496 Bu Xueqin,Lin Guiping,Yu Jia.Couple heat transfer calculation on an airfoil electrothermal anti-icing surface[J].Journal of Aerospace Power,2010,25(7):1491-1496(in Chinese) |
| Cited By in Cnki (1) | |
| [12] | 肖春华,林贵平,桂业伟,等.冰脱落对电热除冰传热特性的影响研究[J].空气动力学报,2012,30(4):551-556 Xiao Chunhua,Lin Guiping,Gui Yewei,et al.Study on effect of ice shedding on heat transfer characterristics of electrothermal aircraft deicing[J].Journal of Aerospace Power,2012,30(4):551-556(in Chinese) |
| Cited By in Cnki | |
| [13] | da Silva G A L,Silvares O M,Zerbini E J G J.Airfoil anti-ice system modeling and simulation[R].AIAA-2003-0734,2003 |
| [14] | Elangovan R,Olsen R F.Analysis of layered composite skin electro-thermal anti-icing system[R].AIAA-2008-0446,2008 |
| [15] | 杨秋明.机翼结冰数值模拟及其对气动特性的影响[D].北京:北京航空航天大学,2009 Yang Qiuming.Numerical simulation of airfoil icing and analysis its effects on aerodynamic performance[D].Beijing:Beijing University of Aeronautics and Astronautics,2009(in Chinese) |












