迄今,人们提出了许多K分布形状参数的估计方法(见文献[1, 2, 3, 4, 5, 6, 7, 8, 9]).其中,极大似然估计方法(MLE)理论上给出了最优的v参数估计[10].不过,由于MLE的估计过程涉及冗繁的、十分低效的二维数值计算,一般不具有实际应用价值.因此,计算比较简单的矩估计(MOM)就成了对v参数估计的最常用的方法.
在众多矩估计器中,比较典型的是Oliver提出的U,V和W 3种K分布形状参数估计器[11].
众所周知,估计器的性能由两个因素决定:一是估计的精确性即估计精度,二是计算的复杂程度即估计效率.Blacknell[12]分析了U,V和W估计器的精度,得到的结论是U估计器的估计精度最高.但估计器U和W对形状参数v的关系式是非线性函数,转换时需要很大的计算量;而V-估计器可直接求得对v的估计值,则从估计求解的复杂性来看,V-估计器的估计效率最高.
另外,在实践中人们发现,V-估计器估计精度不高的另一不良现象是,估计结果有时会出现异常大的奇异值,甚至出现v<0等实际中不可能出现的误估计情况.这些问题的出现严重影响了V-估计器在实际中的应用.
自Oliver提出U,V和W估计器以来,人们一直在致力于探索出一种对K分布形状参数v进行估计的同时具有高精度、高效率的新型矩估计器,至今未见明显进展.
本文提出一种具有校正项的V-估计器,它克服了前述V-估计器的缺点,既保持了与V-估计器相同的估计效率,同时又具有很高的估计精度.仿真实验表明,从估计效率以及估计均值、估计偏差和估计标准差3方面的综合考虑,这种带校正项的V-估计器优于U-估计器.
1 对V-估计器的改进 1.1 V-估计器及其偏差分析
1993年,Oliver[11]提出了3种著名的K分布形状参数的矩估计器.其中的V-估计器(VE)形式如下:

,N为样本长度;<·>表示取期望值;符号“^”表示估计值,不再重复.根据式(1),可有


把1/T1=1/[z]2在它的均值点

设ΔV为V-估计器的偏差,则借助式(4)有


)为Δ
的N→∞时的高阶无穷小.称式中的Δ
为校正项.由式(5)、式(6)可得

显然,若用式(8)中的(
)构成一个新的关于K分布形状参数v的估计器,则估计器的偏差会比V-估计器的偏差小1阶(N→∞).
1.2 校正项和校正系数
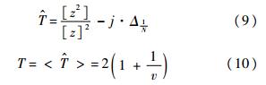
为进一步提高估计精度,借鉴文献[13, 14]通过实验手段,用经验值来确定估计器公式中待定常数的方法,现给出具有校正项的V-估计器(VCE)的表达式如下:

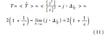
其中,常数j称为校正系数,其确定方法见1.3节.以下先给出式(10)的证明:由式(7),显然有
,注意到式(5)和式(6),则

众所周知,对于K分布形状参数v,v∈[0.2,2]的范围具有突出的重要意义.这是因为,尖杂波对雷达信号处理的影响很大,特别是在尖杂波背景下进行恒虚警处理时,通过估计器估计得到的形状参数v值的大的误差,会造成虚警概率的急剧升高而引起大的信噪比损失[15].所以,在实际的雷达信号处理中,人们更加注意尖杂波参数v∈[0.2,2]的范围.基于此,本文以v∈[0.2,2]的范围为重点来确定校正系数j的满足实际应用的取值.
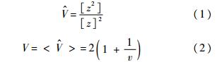
实验表明,校正系数j具有显著地调节VCE的估计均值、偏差和标准差的作用.搜索校正系数j的实验是在[-3, 3]的范围内以0.1为步长进行的.为便于说明,图 1仅给出校正系数j分别取值0,1,2,2.5和3情况下,相应估计器同时经10000次Monte-Carlo实验,所得估计均值的比较图.实验条件:样本长度N=250,K分布形状参数v∈[0.2,2],实验步长为0.2.由图 1可见,校正系数j=2.5时的估计均值最好,故取校正系数j=2.5.需指出,j=0时的VCE其实就是VE即Oliver提出的V-估计器,而其在实验中所得均值远偏离j=2.5时的VCE得到的近乎理想的情况.这一事实验证了VCE中校正项和校正系数的突出作用.
![]() |
| 图 1 在估计器VCE中,校正系数j取不同值 所得估计均值比较Fig. 1 Comparison of estimating mean value obtained by the VCE for different corrective coefficient j |
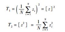
图 2给出在同一实验中,校正系数j取不同值所得估计偏差的比较.
图 2凸显了VCE的优越性:在校正系数j=2.5时,VCE对K分布形状参数v估计的偏差仍然显著优于j取值的其他情况,远优于包括j=0时的VCE即V-估计器得到的估计偏差.十分可贵的是,图 2中大多数估计器所得估计偏差呈现随着v增大而增大的不良趋势,而j=2.5时的VCE的估计偏差却呈现随着v增大而减小的良好趋势并等于或接近于0.
![]() |
| 图 2 在估计器VCE中,校正系数j取不同值 所得估计偏差比较Fig. 2 Comparison of estimating bias obtained by the VCE for different corrective coefficient j |
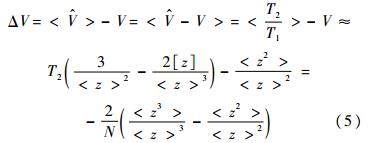
图 3给出在同一实验中,校正系数j取不同值所得估计标准差的比较.
![]() |
| 图 3 在估计器VCE中,校正系数j取不同值 所得估计标准差比较Fig. 3 Comparison of estimating standard error obtained by the VCE for different corrective coefficient j |
从图 3粗看起来,似乎j=2时的VCE所得标准差精度最好.但实际是,从图 1、图 2易见,j=2时的VCE所得均值和偏差精度却最低.j=3也有类似情况.所以,从估计均值、估计偏差和估计标准差全面衡量,VCE中的校正系数j=2.5最为合适.而且,从图 3可以看到,j=0时的VCE即V-估计器得到的估计标准差在v=1.6处出现了奇异情况.这再次验证了VCE中校正项和校正系数对提高估计精度的显著作用.
由此,必须强调,以后本文所指VCE就是校正系数j=2.5时的VCE.
2 仿真实验
图 4~图 6给出了通过仿真实验,VE,VCE和U估计器在估计均值、偏差和标准差3个方面的比较.
![]() |
| 图 4 U,VE和VCE估计器所得对v的估计的均值比较Fig. 4 Comparison of mean value for estimating v obtained by U,VE and VCE |
![]() |
| 图 5 U,VE和VCE估计器所得对v的估计的偏差比较Fig. 5 Comparison of bias for estimating v obtained by U,VE and VCE |
![]() |
| 图 6 U,VE和VCE估计器所得对v的估计的 标准差比较Fig. 6 Comparison of standard error for estimating v obtained by U,VE and VCE |
实验条件:样本长度N=100,K分布形状参数v∈[0.2,2],实验步长为0.2,10000次Monte-Carlo实验.
图 4~图 6表明,在重要的v∈[0.2,2]的v值范围内,从估计均值考虑,VCE的估计均值的精度显著优于U-估计器,更是优于VE;而从估计偏差考虑,VCE的估计偏差的精度同样是明显优于VE,并且随着v值的增大,越来越更加优于U-估计器;再从估计的标准差考虑,VCE在v∈[0.2,1.2]范围内,估计标准差的精度基本等于U-估计器的精度,却仍然远高于VE的估计精度.而在v∈[1.2,2]的范围内,即随着v值的增大,所得标准差却越来越明显好于U-估计器.于是,从估计均值、估计偏差和估计标准差3方面的精度情况全面考虑,应该认为,实验中VCE在估计精度上不但显著优于VE,同时也优于U-估计器.而从估计的效率考虑,VCE和VE一样,具有估计过程中不需要求解非线性方程,直接给出对v的估计值的高效率,这是包括U-估计器在内的,必须通过求解非线性方程进行估计的所有矩估计器所无法具有的突出优点.
需指出,图 1~图 3的实验结果是在样本长度N=250的条件下得到的,而图 4~图 6的实验结果是在样本长度N=100的情况下获得的.因此,有关仿真实验还表明了这样一个可贵事实:不论是在大样本情况下还是在小样本情况下,VCE的估计精度具有对样本长度的较为广泛的适应性.相反,由图 4~图 6的实验可见,VE与U估计器对小样本情况的适应性是比较差的.
3 结 论
1) 本文提出的具有校正项的V估计器VCE,在保留与VE同样高的估计效率的同时,显著提高了估计的精度,在估计均值、估计偏差和估计标准差3个方面全面明显超过VE估计器.
2) 仿真实验表明,本文提出的具有校正项的V-估计器VCE,在小样本情况下,对K分布形状参数v估计的精度与效率都优于U-估计器.VCE对样本长度有着较为广泛的适应性,更便于在实践中应用.
| [1] | Blacknell D,Tough R J A. Parameter estimation for the K-distribution based on [z log(z)][J].IEE Proceedings:Radar,Sonar and Navigation,2001,148(6):309-312. |
| Click to display the text | |
| [2] | 李永晨,刘浏.SAR图像统计模型综述[J].计算机工程与应用,2013,49(13):184-190.Li Y C,Liu L.Review of statistical method of SAR image[J].Computer Engineering and Applications,2013,49(13):184-190(in Chinese). |
| Cited By in Cnki (1) | |
| [3] | 孙增国.基于第二类统计量的K分布参数估计[J].计算机应用研究,2013,30(1):1-4.Sun Z G.Parameter estimation of K distribution based on second-kind statistics[J].Application Research of Computers,2013,30(1):1-4(in Chinese). |
| Cited By in Cnki (2) | |
| [4] | 李亚超,周瑞雨,全英汇,等.自适应背景窗的舰船目标检测算法[J].西安交通大学学报,2013,36(3):1-6.Li Y C,Zhou R Y,Quan Y H,et al.An algorithm of ship target detection based on the adaptive background window function[J].Journal of Xi'an Jiaotong University,2013,36(3):1-6(in Chinese). |
| Cited By in Cnki (3) | |
| [5] | 杨永生,张宗杰.基于分数阶矩和NM单纯形算法的海杂波参数估计[J].遥感技术与应用,2011,25(6):70-73.Yang Y S,Zhang Z J.Parameters estimation of sea clutter based on fractional order moments and NM algorithm[J].Remote Sensing Technology,2011,25(6):70-73(in Chinese). |
| Cited By in Cnki (1) | |
| [6] | 徐伟,陈永森.一种K分布杂波参数估计方法[J].舰船电子对抗,2013,36(3):89-91.Xu W,Chen Y S.An estimation method for K-distribution clutter parameters[J].Shipboard Electronic Countermeasure,2013,36(3):89-91(in Chinese). |
| Cited By in Cnki (1) | |
| [7] | 胡文琳,王永良,王首勇.基于zrlog(z)期望的K分布参数估计[J].电子与信息学报,2008,30(1):203-205.Hu W L,Wang Y L,Wang S Y.Estimation of the parameters K-distribution based on zrlog(z)[J].Journal of Electronics & Information Technology,2008,30(1):203-205(in Chinese). |
| Cited By in Cnki (8) | |
| [8] | 李大朋,姚迪.对Jahangir组合式矩估计器的改进[J].北京航空航天大学学报,2012,38(6):788-792.Li D P,Yao D.Improvement of Jahangir's multiple moments estimator[J].Journal of Beijing University of Aeronautics and Astronautics,2012,38(6):788-792(in Chinese). |
| Cited By in Cnki (1) | |
| [9] | 李大朋,姚迪.对K分布形状参数M估计器的再改进[J].电子与信息学报,2011,33(7):1752-1755.Li D P,Yao D.A further enhanced M-estimator for the K-distribution shape parameter[J].Journal of Electronics & Information Technology,2011,33(7):1752-1755(in Chinese). |
| Cited By in Cnki (2) | Click to display the text | |
| [10] | Joughin I R.Maximum likelihood estimation of K-distribution parameters for SAR data[J].IEEE Trans on Geosciences and Remote Sensing,1993,31(5):989-999. |
| Click to display the text | |
| [11] | Oliver C J.Optimum texture estimators for SAR clutter[J].Journal of Physics D:Applied Physics,1993,26(11):1824-1835. |
| Click to display the text | |
| [12] | Blacknell D.Comparison of parameter for K-distribution[J].IEE Proceedings:Radar,Sonar and Navigation,1994,141(1):45-52. |
| Click to display the text | |
| [13] | Jahangir M,Blacknell D,White R G.Accurate approximation to the optimum parameter estimate for K-distributed clutter[J].IEE Proceedings:Radar,Sonar and Navigation,1996,143(6):383-390. |
| Click to display the text | |
| [14] | 郝程鹏,侯朝焕.一种K-分布杂波背景下的双参数恒虚警检测器[J].电子与信息学报,2007,29(3):756-759.Hao C P,Hou C H.A two parameter CFAR detector in K-distribution clutter[J].Journal of Electronics & Information Technology,2007,29(3):756-759(in Chinese). |
| Cited By in Cnki (9) | |
| [15] | 郝程鹏,侯朝焕,鄢锦.一种新的K分布形状参数估计器[J].电子与信息学报,2005,27(9):1404-1407.Hao C P,Hou C H,Yan J.A new estimator for estimating the parameters of K-distribution[J].Journal of Electronics & Information Technology,2005,27(9):1404-1407(in Chinese) |
| Cited By in Cnki (15) |









