2. 西北工业大学 航海学院, 西安 710072
2. School of Marine Science and Technology, Northwestern Polytechnical University, Xi'an 710072, China
子空间类方法相对传统的高分辨方法而言具有较高的分辨性能,在高信噪比条件下对空间相邻的两目标源的分辨能力能够达到波束宽度的1/3~1/5[1].但这些方法是以子空间分析为基础的,系统误差带来的子空间扰动等原因均会使分辨性能急剧恶化[2,3,4],贝叶斯高分辨方位估计方法为阵列高分辨方位估计开辟了新的途径,利用信号和噪声参数的联合后验概率密度函数对信号进行谱估计[5,6],根据贝叶斯定理,把待估计量视为随机变量,引入被估计量的先验知识,从而提高了估计精度,改善了估计性能[7,8].但该方法由于多重积分和多维搜索,理论复杂,计算量大,实时性差,难以实时应用.1992年,Dorigo提出的蚁群优化(ACO)算法[9,10]在旅行商问题(TSP)、模糊控制、调度问题以及车辆路径规划(VRP)等方面,取得了一系列较好的实验结果[11,12,13,14].文献[15]用ACO算法解决加权子空间拟合算法的多维非线性搜索问题,得到了优良的高分辨性能.本文提出了一种基于ACO算法的Bayesian方位估计(ACO-Bayesian)快速方法,该方法对小夹角目标估计精度高,与Bayesian方法性能基本相同,收敛性好且计算量小,更易于实际应用. 1 Bayesian高分辨方位估计方法
假设阵列为均匀线列阵,M个阵元,阵元间距为d,K个远场窄带信号源分别以θk(k=1,2,…,K)的入射角和频率f到达阵列的各个阵元.
信号可以是相干或非相干的,设阵列接收到的加性噪声为平稳的、零均值的高斯空间白噪声,方差为σ2.相邻阵元间的时延为τk=dsin θk/C(C为声速),则第m个阵元在tn时刻的输出为

k(tn)分别表示tn时刻第k个信号的幅度和相位;nm(tn)表示tn时刻第m个阵元处的附加噪声,n=1,2,…,N表示快拍数,m=1,2,…,M表示阵元数.本文的目的是估计信号的方位Θ=(θ1,θ2,…,θk)T,而对信号的包络A={Ak(tn),∀ k,n}和噪声的方差不感兴趣.由Bayesian理论可知,信号方位Θ=(θ1,θ2,…,θk)T的后验概率密度函数为

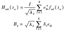
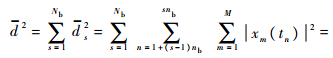
文献[5]提出采样数据正交化算法解决式(2)的积分问题,首先将N次快拍数据分成Nb块,每块有N/Nb=nb个快拍数据.对每一个数据块进行正交化,对于第s个数据块有



分别取噪声参数σ服从Jeffrey先验分布
和均匀先验分布p(σ)=1,即可得到后验概率密度为



从式(5)可以看出,这是一个关于Θ的高维非线性的多峰值函数,要求它的全局最大值对应的方位角,通过对后验概率密度进行K维网格搜索得到全局最大峰值,计算量非常大,如果计算一个网格点的后验概率密度的计算量为Δ,那么K维的计算量为ΔK.所以尽管Bayesian方位估计方法的估计精度很高,但是其巨大的计算量是其实际应用的最大障碍. 2 基于蚁群算法的Bayesian方法
首先给出ACO-Bayesian方法的流程图如图 1所示.
![]() |
| 图 1 ACO-Bayesian方法流程图 Fig. 1 Flow chart of ACO-Bayesian method |
由于在文献[15]中已对蚁群算法的步骤有了详细的介绍,这里仅作原理性阐述.
1) 初始化.
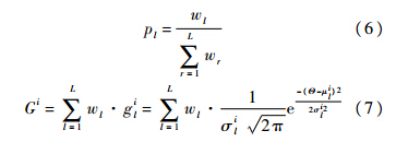
首先根据均匀分布UK[θa,θb]从K维搜索空间得到一个抽样搜索空间(θ1θ2…θL),并将抽样搜索空间按照ACO-Bayesian方法的目标函数值(即式(5))从大到小降序排列.然后按照独立高斯分布N(1,q2L2)计算搜索空间对应的权值向量,每组解对应一个权值,最后将搜索空间及其对应的目标函数值和权值向量放入档案表中.
2) 根据转移概率更新候选解.
满足迭代循环条件时,每只蚂蚁以转移概率p(由式(6)计算)在整个搜索空间中选择一组解θl(每次迭代每只蚂蚁只需选择一次),然后构造以选中解为均值,档案表中所有解与选中解的平均距离为标准差(用信息素挥发系数对其进行修正)的高斯核函数如式(7),利用该高斯核函数对档案表中的所有解进行高斯核抽样得到候选解.


3) 根据候选解更新搜索空间.
计算候选解对应的目标函数值,并与档案表中的第1组解进行比较,若大于第1组解,则用候选解替换最后一组解(即目标函数值最小的解),同时给这个新添加的解赋权值,最后对新产生的搜索空间按照目标函数值f从大到小重新排序;若小于第1组解,则不作调整.
4) 得到方位估计值.
给定一个精度δ,若连续5次的方位估计值与前一次迭代结果的差值均小于δ,则迭代结束,方位估计结果为最后5次的迭代结果的均值.不满足迭代结束条件转步骤2). 3 仿真结果与性能分析
计算机仿真中采用均匀线列阵,阵元个数为12,采样频率为120 kHz,100次快拍,两目标入射方位角分别为±2°,归一化夹角为α=0.475 6. 3.1 目标分辨概率和估计性能分析
1) 两目标信噪比为0 dB时,Bayesian方法后验概率分布曲面如图 2所示,图 3(a)和图 3(b)分别是其二维等高线图和峰值点附近的放大图.可以清晰地看出Bayesian方法的后验概率分布曲面只有一个全局最大值点,该点对应的两个角度就是两目标方位的估计值,Bayesian方法是一个非线性的多维最优化的问题.
![]() |
| 图 2 后验概率曲面 Fig. 2 Curved surface of posteriori probability |
![]() |
| 图 3 二维等高线图和峰值点附近放大图 Fig. 3 2-dimension contour and enlarged drawing near peak value points |
2) ACO-Bayesian方法方位估计结果与迭代次数的关系曲线(SNR=0 dB)如图 4所示,可以看出,在信噪比为0 dB的时候,ACO-Bayesian方法有优良的收敛性,可以收敛到最优解.
![]() |
| 图 4 收敛性分析 Fig. 4 Convergence analysis |
3) 分析ACO-Bayesian方法的估计性能,并与Bayesian,MUSIC和MNM方法作对比实验,实验中参数设置如下:T=2,L=100,q=0.1,ξ=0.01,δ=0.001,[θa,θb]=[-60°,60°],做100次Monte Carlo实验,图 5是4种方法的分辨概率,可以看出ACO-Bayesian方法的分辨能力与Bayesian相当,优于MUSIC和MNM方法;图 6和图 7分别是信号1和信号2的估计均方根误差,为了更好地对几种方法的分辨精度进行对比,将由于信噪比过低MNM和MUSIC方法不能成功分辨时的误差标记为10,此时并不是指均方根误差为10,可以看出ACO-Bayesian方法估计性能明显优于MUSIC和MNM方法,信噪比高于-12 dB时,ACO-Bayesian和Bayesian方法的估计性能相当.
![]() |
| 图 5 分辨概率比较 Fig. 5 Resolution probability comparison |
![]() |
| 图 6 信号1的均方根误差 Fig. 6 RMSE (root mean squared error) of signal 1 |
![]() |
| 图 7 信号2的均方根误差 Fig. 7 RMSE (root mean squared error) of signal 2 |
如果计算一个网格点的后验概率密度的计算量为Δ,则Bayesian方法的计算复杂度为JB=[(θb-θa)/s]P×Δ,其中,[θa,θb]和s分别为Bayesian方法的角度搜索范围和搜索步长;而ACO-Bayesian方法的计算复杂度约为JAB≈(P×IP+L+CP×IP)×Δ,其中P,IP,L分别为ACO-Bayesian方法的信号个数、迭代次数和搜索空间抽样个数.对比Bayesian方法的P维搜索,ACO-Bayesian方法使用高斯核概率抽样技术,P×IP+L小于Bayesian方法P维搜索空间的网格数,而CP是ACO-Bayesian一次迭代高斯核概率抽样的计算量,远远小于P×IP+L.
下面通过仿真对ACO-Bayesian方法的计算量进行分析,仿真模型和参数设置与第3节相同,做50次Monte Carlo实验,表 1给出了不同信噪比条件下ACO-Bayesian方法收敛到方位真实值附近所需要的平均迭代次数I2.
| SNR/dB | -5 | 0 | 5 | 10 |
| 平均迭代次数 | 1 338.1 | 1 106.3 | 957.2 | 846.7 |
以信噪比为-5 dB为例,Bayesian方法和ACO-Bayesian的计算复杂度分别为JB=[(θb-θa)/s]K×Δ=57 600×Δ,JAB≈(T×IK+L+CK×IK)×Δ=4 114.3×Δ.由以上仿真结果可以看出,ACO-Bayesian方法保持了Bayesian方法的估计性能,且计算量大约是Bayesian方法的1/14,大大降低了运算量. 4 水池实验验证
依托20×8×7 m3大型消声水池(如图 8所示)开展高分辨方位估计实验对本文的快速方法进行验证,高分辨实验框图如图 9所示.
![]() |
| 图 8 大型消声水池 Fig. 8 Noise elimination water tank |
![]() |
| 图 9 高分辨水池实验框图 Fig. 9 Diagram of high resolution water tank experiment |
实验中采用6阵元均匀线列阵,系统采样频率为122 880 Hz,波束宽度约为16.9°,利用单源数据,按照15 dB信噪比合成夹角为不同波束宽度的双源信号.快拍数为4 000,统计10次,方位估计结果如表 2所示.可以看出,ACO-Bayesian最大后验概率方位估计快速方法的均方根误差与原方法相比,略有增加,但仍能正确估计出目标的方位,保持了原方法的高分辨能力,能正确估计夹角为1/5波束宽度的两目标.
| 目标真实方位/(°) | 归一化夹角 | Bayesian | ACO-Bayesian | ||
| 平均值/(°) | RMSE/(°) | 平均值/(°) | RMSE/(°) | ||
| 13.0,-3.6 | 1 BW | 12.91,-3.41 | 0.45,0.46 | 12.89,-3.39 | 0.59,0.63 |
| -3.6,2.0 | 1/3 BW | -3.20,1.91 | 0.51,0.40 | -3.19,1.89 | 0.62,0.59 |
| 0,3.2 | 1/5 BW | -0.22,2.90 | 0.53,0.67 | -0.21,2.89 | 0.68,0.67 |
Bayesian高分辨方位估计方法性能十分优越,但该方法理论复杂,本文针对该方法由于多重积分和多维非线性搜索而导致的计算量大、难以工程应用的问题,将连续蚁群算法与Bayesian方位估计方法相结合,提出了一种基于连续蚁群算法的Bayesian(ACO-Bayesian)方位估计新方法,给出了完整的理论过程,并进行了仿真性能分析和水池实验验证.仿真结果表明,ACO-Bayesian方法在保持Bayesian方法优良性能的同时,把Bayesian方法的计算量从((θb-θa)/s)K×Δ减少到(T×IK+L+CK×IK)×Δ,显著减少了计算复杂度,水池实验结果表明,ACO-Bayesian方法能正确估计夹角为1/5波束宽度的两目标,从而为Bayesian方位估计方法的工程应用提供了一种新方法.
| [1] | 冯西安.水下目标高分辨方位估计技术研究[D].西安:西北工业大学,2004.Feng X A.Study on the high resolution DOA estimation techniques of underwater targets[D].Xi'an:Northwestern Polytechnical University,2004(in Chinese). |
| Cited By in Cnki (14) | |
| [2] | Tadaion A A,Derakhtian M,Gazor S,et al.A fast multiple-source detection and localization array signal processing algorithm using the spatial filtering and ML approach[J].IEEE Transactions on Signal Processing,2007,55(5):1815-1827. |
| Click to display the text | |
| [3] | Chen C E,Lorenzelli F,Hudson R E,et al.Stochastic maximum-likelihood DOA estimation in the presence of unknown nonuniform noise[J].IEEE Transactions on Signal Processing,2008,56(7):3038-3044. |
| Click to display the text | |
| [4] | Vorobyov S A,Gershman A B,Wong K M.Maximum likelihood direction-of-arrival estimation in unknown noise fields using sparse sensor arrays[J].IEEE Transactions on Signal Processing,2005,53(1):34-43. |
| Click to display the text | |
| [5] | Huang J G,Chen J F,Liu C M,et al.Bayesian approach to high resolution direction-of-arrival estimation[C]//Proceeding of the Fourth International Conference on Signal Processing.Piscataway,NJ:IEEE,1998:377-380. |
| Click to display the text | |
| [6] | Li X,Huang J G.Bayesian high resolution DOA estimator based on importance sampling[C]//Proceeding of Oceans 2005-Europe.Brest,France:Institute of Electrical and Electronics Engineers Computer Society,2005:611-615. |
| Click to display the text | |
| [7] | Djuric P M,Li H T.Bayesian spectrum estimation of harmonic signals[J].IEEE Signal Processing Letters,1995,2(11):213-215. |
| Click to display the text | |
| [8] | Viberg M,Swindlehurst A L.A Bayesian approach to auto-calibration for parametric array signal processing[J].IEEE Transactions on Signal Processing,1994,42(12):3495-3507. |
| Click to display the text | |
| [9] | Dorigo M.Optimization,learning and natural algorithms[D].Italy:Dipartimento di Elettronica,Politecnico di Milano,1992. |
| Click to display the text | |
| [10] | Socha K,Dorigo M.Ant colony optimization for continuous domains[J].European Journal of Operational Research,2008,185(3):1155-1173. |
| Click to display the text | |
| [11] | Dorigo M,Gambardella L M.Ant colony system:a cooperative learning approach to the traveling salesman problem[J].IEEE Transactions on Evolutionary Computation,1997,1(1):53-66. |
| Click to display the text | |
| [12] | Costa D,Hertz A.Ants can colour graphs[J].Journal of the Operational Research Society,1997,48(3):295-305. |
| Click to display the text | |
| [13] | Gagne C,Price W L,Gravel M.Comparing an ACO algorithm with other heuristics for the single machine scheduling problem with sequence-dependent setup times[J].Journal of the Operational Research Society,2002,53:895-906. |
| Click to display the text | |
| [14] | Corne D,Dorigo M,Glover F.New ideas in optimization[M].London,UK:McGraw-Hill,1999:63-76. |
| Click to display the text | |
| [15] | 焦亚萌,黄建国,韩晶.基于连续蚁群优化算法的小快拍加权子空间拟合快速算法[J].电子与信息学报,2011,33(4):972-976.Jiao Y M,Huang J G,Han J.Continuous ant colony optimization based weighted subspace fitting fast algorithm for DOA estimation with few snapshots[J].Journal of Electronics & Information Technology,2011,33(4):972-976(in Chinese) |
| Cited By in Cnki (8) |












