2. 可靠性与环境工程技术重点实验室, 北京 100191
2. Science and Technology on Reliability and Environmental Engineering Laboratory, Beijing 100191, China
现代工业对产品的长寿命高可靠性有不断增长的需求,为了考核该类产品的寿命与可靠性水平,在产品正式投产之前需开展加速试验.加速试验技术采用严酷于产品正常使用的环境条件,加速产品失效或退化过程,从而在短时间内获取寿命或退化数据进行可靠性和寿命评估[1].与寿命数据相比,退化数据包含更多的产品性能变化信息,因此加速退化试验(ADT)技术得到了较多的关注[2, 3].
然而,传统的加速退化试验数据评估方法假设采集到的退化数据是精确数据,该假设可能与一些实际情况存在不符,这些不符来源于:①测量设备的容差;②不同测试人员对同一数据的认知;③数据的缺失等.因此,在实际试验中可能获取到的是区间型退化数据.若只对其进行简单的均值处理,则忽略了其蕴含的随机与认知不确定性,那么就会给出不合理的寿命和可靠性评估结果.若能采用区间型数据分析方法,通过敏感性分析定量给出认知不确定性对评估结果的影响,最大程度地保证评估结果的可信性,为消除测量的认知不确定性或评价决策风险提供依据.
在考虑非精确数据方面,文献[4]研究了竞争失效状态下的产品可靠性分析方法,采用模糊方法的隶属函数来刻画区间型退化数据.文献[5]采用模糊回归方法对退化过程进行建模,该模型假设退化数据是精确的,而采用非精确模型参数来表征退化建模的不确定性.通常来说,非精确退化数据可以表征为区间型,采用区间运算来加以处理[6].文献[7]给出一种精确输入和区间输出的区间回归方法,将最小二乘的中心趋势特性和模糊回归的可能性特性结合到二次规划问题中,给出两类特性模型的优化结果.文献[8]采用区间分析方法研究了线弹性断裂力学中应力强度因子的不确定性问题,结果表明该方法优于传统的概率分析方法.在加速试验领域,文献[9, 10]指出在加速试验中除系统自身的随机不确定性外还存在大量的认知不确定性,需要采用适当的建模方法来评估其对系统安全和寿命预测的影响.因此,本文针对加速退化测量中存在的认知不确定性问题,采用区间回归方法来建模分析,研究测量认知不确定性对可靠性和寿命评估结果的影响.
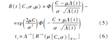
由于加速退化数据测量中,不仅存在系统的随机不确定性,还有人的参与引起的认知不确定性.本文针对该情况,重点考虑认知不确定性的影响,解决区间型加速退化试验数据的寿命和可靠性评估问题.本文首先介绍所采用的模型及区间分析方法;其次研究了基于区间分析方法的加速试验数据分析方法;最后通过数值案例验证所提方法,并分析认知不确定性的影响.
1 退化模型及区间分析方法 1.1 退化模型随机过程具有较好的物理和统计特性,广泛用于描述产品的性能变化过程[11].其中,维纳(Wiener)过程常用于加速退化试验评估[12, 13, 14],文献[15]给出了一种通用维纳过程模型,该模型能够泛化成各类常用的维纳过程模型.本文取产品退化性能参数X(t)的模型形式为
若初始退化值X(0)不为0,则X(t)=X(t)-X(0).式中:σ为扩散系数;B(·)为标准布朗运动;Λ(t)为关于时间t的非减函数,即时间尺度变换,常见变换方式有指数、对数、幂;μ为漂移系数,通常假设其与应力条件服从对数线性关系(如温度应力下的Arrhenius模型,电应力下的Eyring模型等[16]),如下:
根据维纳过程特性可知,退化增量满足
当失效阈值为C时,产品首次穿过该阈值的时间T(首穿时)服从变换后的逆高斯分布[17],即Λ(T)~IG(C/μ,C2/σ2),其中IG(b1,b2)的概率密度函数为(b1>0为均值,b2>0为形状参数)
进而推导产品的可靠度函数和可靠寿命为
上述模型基于精确退化数据进行分析,当退化数据为区间型[X-,X-]时,模型参数μ也是区间型[μ-,μ-],如何进行模型参数分析,对于求解可靠度和可靠寿命具有重要影响.通过采用区间回归方法能够有效处理区间数据,下面对该方法进行详细介绍.
1.2 区间回归分析区间分析方法是回归分析方法的一种,通过假设区间回归系数来获取自变量和因变量之间的关系,常见的有区间输入-区间输出、精确输入-区间输出.考虑到工程实际中,测量时间或加速应力为精确的,本文采用精确输入-区间输出的线性回归分析方法进行建模,得到模型参数(即区间回归系数).模型为
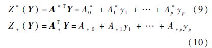
区间分析方法主要分为两类:基于可能性概念的可能回归分析(可能性模型)和基于最小化误差的最小二乘方法(必要性模型)[7].两类模型分别为
通常假设两类模型具有相同的中心值,即两类模型的回归系数为A*i=〈ai,di〉和A*i=〈ai,ci〉,则两类模型求解可分别转化为二次规划问题,即
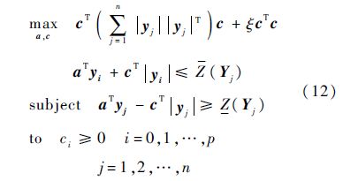
对于实际观测区间变量Z(Y)满足条件
根据模型关系式(13),可将可能性模型A*i的回归系数半径di→ci+di(di≥0),代入最小化模型,同时对模型的目标函数取负,将目标函数合为一个最小化函数,即可获得通用二次规划模型,用于两类模型参数的求解[7].
上述二次规划模型能够处理区间型数据,对式(1)取期望可知E(X(t))=μΛ(t),对于精确输入Λ(t)-区间输出[X-,X-],采用区间回归方法,能够获取区间回归系数,即漂移系数μ.
2 区间型加速退化试验分析 2.1 基于区间回归分析方法的加速退化建模考虑到测量、人为等因素,退化数据是非精确的,采用区间型描述比精确数据更为合适.而对于精确输入-区间输出型数据,采用两类模型进行建模分析,获取区间型结果.关于两类模型,可能性模型是对模型输入输出之间可能性的一种表征,其输出最大程度覆盖所有的实际观测区间.必要性模型是对模型输入输出之间集中程度的一种表征,其输出最大程度包含于实际观测区间,即满足模型关系式(13).
在时间尺度上,即精确时间-区间退化数据,本文采用可能性模型最大可能地获取漂移系数的区间值.而在应力尺度上,即精确应力-区间漂移系数,在漂移系数外推的过程中需要在所有可能结果中找到最大程度符合加速模型的结果,即中心趋势特性,而必要性模型能够表征此特性,为此本文采用必要性模型进行外推.具体建模评估流程如图 1所示.
![]() |
| 图 1 区间型加速退化试验分析流程 Fig. 1 Flowchart of interval accelerated degradation testing analysis |
这里以恒定应力加速退化试验(CSADT)为例,假设[xijk,xijk]表示第i(i=1,2…,K)个加速应力水平下、第j(j=1,2,…,ni)个样品、第k(k=1,2,…,mj)个监测点的退化试验数据区间,对应的监测时间为tijk.基于区间回归分析方法的加速退化建模主要分为两步.
1) 获取各加速应力条件下漂移系数[μij,μij]和扩散系数σ.
本文基于维纳过程对退化过程建模,其期望退化路径服从一元线性过程,因此针对区间型加速退化数据(tijk,[xijk,xijk]),可采用式(7)进行区间运算(p=1).同时,为了更全面地获取漂移系数的所有可能取值,采用可能性模型式(11)优化求解,得到的回归系数A1的区间,即该应力条件下的漂移系数[μij,μij].
对于扩散系数σ,其表征退化过程的随机特性,通常刻画一系列随机因素对产品性能的影响,是与应力和时间无关的常量,为此假设其为精确值.由式(3)可得传统精确数据下的扩散系数σ为
2) 外推正常应力条件下漂移系数[μ0,μ0].
为了考核产品的可靠性和寿命指标,需要将加速应力条件下的性能参数外推至正常应力条件下,即通过加速模型式(2)来实现.在步骤1)中获得应力条件i下的漂移系数[μij,μij],表示该条件下漂移系数的所有可能结果,则[μi,μi]为
根据(si,[μi,μi]),同样采用式(7)进行区间运算,根据加速应力种类设定参数p.在外推的过程中,需要在所有可能结果中找到最大程度符合加速模型的结果,采用必要性模型进行外推.为了对比两类模型的区别,首先优化通用模型(14),得到区间回归系数a、c和d,代入正常应力条件s0,即可得到两类模型下的[μ0,μ0].
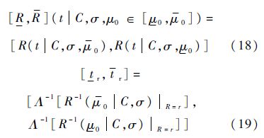
2.2 可靠性与寿命指标分析传统的精确退化数据评估,给出产品正常使用条件下的寿命和可靠度指标,式(5)和式(6)基于维纳过程给出首穿时服从逆高斯分布的可靠度和寿命函数.在第2.1节给出了基于区间分析方法的加速退化试验建模方法,得到区间漂移系数[μ0,μ0]和扩散系数σ.
根据逆高斯分布性质可知,可靠度和寿命指标区间为
上述建模分析方法能够处理区间型加速退化试验数据,基于式(18)和式(19)分析测量过程中存在的认知不确定性对可靠性和寿命评估结果的影响,进而为消除加速试验中的认知不确定性、提高评估结果可信度提供依据.
3 数值案例 3.1 加速退化试验信息为了验证本文方法的有效性及分析测量不确定性对可靠性和寿命评估结果的影响.选用文献[18]提供的恒定应力加速退化试验数据,试验为了测试某种金属合金的耐磨性,在不同加载条件下进行滑动测试,记录划痕宽度用于分析确定载荷的影响,具体试验信息见表 1,原始数据见图 2.
| 应力编号 | 加速载荷/g | 样品数 | 测量时间/h |
| 1 | 10 | 4 | 2,5,10,20,50,100,200,500 |
| 2 | 50 | 4 | 2,5,10,20,50,100,200,500 |
| 3 | 100 | 4 | 2,5,10,20,50,100,200,500 |
![]() |
| 图 2 3种加载条件下的加速磨损退化试验数据 Fig. 2 Degradation data for accelerated wear testing under three applied weights |
假设数据记录过程,由于人的认知等主观因素,如多名检测人员,使得记录数据是非精确的,为了刻画此类认知不确定性,本文在原始数据的基础上进行如下处理:
1) 随机从正态分布中抽取Δi满足:Δi~N(m,ζm),m为均值,ζ为收缩系数.简单起见,设ζ=0.02表示多人参与情况,ζ=0表示单人参与情况.
2) 第i个原始测量值±|Δi|作为该测量点的实际记录值,即区间退化数据.
这里,可以看出m参数反映的是测量不确定性的程度,m值越大表示不确定性程度越高,通过提高检测人员水平、设备精度等措施来加以降低或消除,因此本文取不同的m值来分析退化数据的测量不确定性对评估结果的影响.
已知失效阈值C=50 μm,假设其正常使用条件下的加载为5 g,退化过程服从维纳过程,加速模型式(2)中φ(s)=W(W为施加的加速应力载荷),Λ(t)=ln t,首先,取m=0.5 μm,利用本文方法进行可靠性和寿命评估.然后,根据第2.1节区间型加速退化数据的建模方法,得出各加速载荷条件下的漂移系数[μij,μij]及扩散系数σ=0.677 2.根据加速模型式(2)将(Wi,[μi,μi])代入通用模型式(14),结果见图 3,外推正常载荷下的漂移系数(必要性模型)为[μ0,μ0]=[0.784 4,0.938 6].最后,将所得参数结果代入式(18)和式(19),得到的可靠度区间如图 4所示,可靠度为0.9的寿命为exp(46.72,55.19)h.
![]() |
| 图 3 3种加载条件下的漂移系数μ Fig. 3 Draft coefficient μ under three applied weights |
![]() |
| 图 4 当m=0.5 μm时的区间可靠度曲线 Fig. 4 Interval reliability curves when m=0.5 μm |
测量不确定性主要分为两类:认知不确定性和随机不确定性,其中随机不确定性来源于系统误差,无法避免和消除;然而认知不确定性来源于人的主观原因,是可以采取措施(如增大样本量来增强认知水平)来消除或转化为随机不确定性.
为了分析该类不确定性对产品可靠性和寿命结果的影响,设置m分别取0.01、0.03、0.05、0.07、0.1、0.3、0.5、0.7、1 μm来分析对应的可靠度和寿命指标情况.这里,本文考虑两种工程实际情况:
1) 多人参与加速试验测试的情况(认知水平存在不同).
2) 单人参与测试的情况(认知水平单一).
为了模拟这两种情况,根据第3.1节方法,分别取ζ=0.02和0并代入各m值进行求解.通过两种情况的对比分析,了解人的参与所引起的认知不确定性对寿命评估结果的影响.图 5~图 7分别给出了两种情况的漂移系数μ0、扩散系数σ和可靠寿命.
![]() |
| 图 5 两种情况下不同m值对应的漂移系数 中心值和半径 Fig. 5 Center and radius of draft coefficients under different m values in two cases |
![]() |
| 图 6 两种情况下不同m值对应的扩散系数 Fig. 6 Diffusion coefficients under different m values in two cases |
![]() |
| 图 7 两种情况下不同m值对应的可靠度R=0.9的 可靠寿命中心值和半径 Fig. 7 Center and radius of reliable lifetimes when R=0.9 under different m values in two cases |
由图 5(a)可知,随着m值的降低,第1种情况下的漂移系数中心值从0.86增大至0.91左右,而第2种情况下稳定在0.887左右,表明该参数值受测量中认知不确定性的影响,可能的解决途径是减少人员参与.从总的趋势上来看,图 5(b)中μ0半径随m值降低而减小,意味着提高人的认知水平能够在一定程度上降低μ0的不确定性.
对于扩散系数σ,该参数刻画随机因素对产品性能的影响,从图 6可以看出该参数对测量不确定性较为敏感,但同时考虑到该参数与受试产品数目有关,因此当样品量一定时,降低测量的不确定性有利于该参数的确定.
对产品而言,实施加速试验的目的是确定其可靠性和寿命指标,通过给定不同m值下的μ0和σ值,代入式(5)和式(6),结果如图 7(a)和图 7(b)所示,第1种情况下不同m值对应的可靠寿命结果存在较大差异,而第2种情况下结果较为平稳.而对于可靠寿命半径,两种情况下都随着m值降低而显著减少,因此为了保证寿命评估结果的合理性,需尽可能消除测量中的认知不确定性,减少人员参与.
4 结 论本文考虑加速退化数据是非精确情况,采用区间回归分析方法给出了区间型加速退化试验数据的可靠性和寿命评估方法.主要结论有:
1) 退化数据测量由于人为因素和设备等原因,存在主观认知不确定性和系统随机不确定性,在实际加速试验中应尽量减少人员参与,尽可能地消除测量中存在的认知不确定性.
2) 数值案例表明:与寿命评估有关的模型参数,即漂移系数μ0和扩散系数σ均受测量不确定性的影响,降低不确定性水平能够使得模型参数更为可信.
3) 加速试验的寿命评估结果受测量不确定性的影响,且随着认知不确定性的降低,评估结果的不确定性也随之降低.因此,在试验过程和结果处理中需考虑和消除此影响.
| [1] | Nelson W B.Accelerated testing:Statistical models,test plans,and data analysis[M].New York:John Wiley & Sons,2009:493-544. |
| [2] | Meeker W Q,Escobar L A,Lu C J.Accelerated degradation tests:Modeling and analysis[J].Technometrics,1998,40(2):89-99 |
| Click to display the text | |
| [3] | 邓爱民,陈循,张春华,等.加速退化试验技术综述[J].兵工学报,2007,28(8):1002-1007. Deng A M,Chen X,Zhang C H,et al.A comprehensive review of accelerated degradation testing[J].Acta Armamentarii,2007,28(8):1002-1007(in Chinese) |
| Cited By in Cnki (45) | Click to display the text | |
| [4] | Wang Z,Huang H Z,Du L.Reliability analysis on competitive failure processes under fuzzy degradation data[J].Applied Soft Computing,2011,11(3):2964-2973 |
| Click to display the text | |
| [5] | Gonzalez-Gonzalez D S,Alejo R J P,Cantu-Sifuentes M,et al.A non-linear fuzzy regression for estimating reliability in a degradation process[J].Applied Soft Computing,2014,16:137-147 |
| Click to display the text | |
| [6] | Alefeld G,Mayer G.Interval analysis:Theory and applications[J].Journal of Computational and Applied Mathematics,2000,121(1-2):421-464 |
| Click to display the text | |
| [7] | Tanaka H,Lee H.Interval regression analysis by quadratic programming approach[J].IEEE Transactions on Fuzzy Systems,1998,6(4):473-481 |
| Click to display the text | |
| [8] | 王军,邱志平,王晓军.应力强度因子的区间分析方法[J].航空学报,2008,29(3):611-615. Wang J,Qiu Z P,Wang X J.Interval analysis for stress intensity factors[J].Acta Aeronautica et Astronautica Sinica,2008,29(3):611-615(in Chinese) |
| Cited By in Cnki (3) | Click to display the text | |
| [9] | Yu I T,Chang C L.Applying Bayesian model averaging for quantile estimation in accelerated life tests[J].IEEE Transactions on Reliability,2012,61(1):74-83 |
| Click to display the text | |
| [10] | Chateauneuf A.Accelerated life testing and degradation modeling[J].Reliability Engineering & System Safety,2014,131:228 |
| Click to display the text | |
| [11] | Ye Z S,Xie M.Stochastic modelling and analysis of degradation for highly reliable products[J].Applied Stochastic Models in Business and Industry,2014,31(1):13-32 |
| Click to display the text | |
| [12] | Park C,Padgett W J.Stochastic degradation models with several accelerating variables[J].IEEE Transactions on Reliability,2006,55(2):379-390 |
| Click to display the text | |
| [13] | Pan Z Q,Balakrishnan N.Multiple-steps step-stress accelerated degradation modeling based on Wiener and Gamma processes[J].Communications in Statistics-Simulation and Computation,2010,39(7):1384-1402 |
| Click to display the text | |
| [14] | Li X Y,Jiang T M,Sun F Q,et al.Constant stress ADT for superluminescent diode and parameter sensitivity analysis[J].Eksploatacja I Niezawodnosc-Maintenance and Reliability,2010(2):21-26. |
| [15] | Wang X,Jiang P,Guo B,et al.Real-time reliability evaluation with a general Wiener process-based degradation model[J].Quality and Reliability Engineering International,2014,30(2):205-220 |
| Click to display the text | |
| [16] | Escobar L A,Meeker W Q.A review of accelerated test models[J].Statistical Science,2006,21(4):552-577 |
| Click to display the text | |
| [17] | Chhikara R S,Folks J L.The inverse Gaussian distribution:Theory,methodology,and applications[M].New York:CRC Press,1988:23-29. |
| [18] | Meeker W Q,Escobar L A.Statistical methods for reliability data[M].New York:John Wiley & Sons,1998:631. |










