2. 北京航空航天大学 机械工程及自动化学院, 北京 100191
2. School of Mechanical Engineering and Automation, Beijing University of Aeronautics and Astronautics, Beijing 100191, China
未来飞机将向着高机动性、超高速及大功率的方向发展,要求飞机液压作动系统朝着高压化、大功率、变压力、多余度等方向发展[1],但目前液压作动系统存在的一系列问题亟待解决[2, 3].在此背景下,功率电传(PBW)作动系统成为了作动系统的发展方向.功率电传作动器包括电动静液作动器(EHA)和机电作动器(EMA).其中EMA是未来多电飞机的发展趋势[4],但其目前还不能单独作用在舵面上,由此出现了功率电传混合作动系统,将两种不同物理原理的作动器构成非相似余度备份,可以带来作动系统新的革命. 目前具有非相似余度的作动系统已经成功应用于实际,如空客A380的“2E-2H”结构[5],其中包括2套液压源和2套电源,并在其上共使用了16个EHA或电动备份静液作动器(EBHA);同时波音B787上采用了5个EMA[6],然而这些功率电传作动器还只能是备用系统[7].本文所要研究的非相似余度系统是由变转速定排量EHA(EHA-VS)和直驱式EMA构成的.
非相似余度作动系统的不同通道之间存在差异,当输入相同时,其动态性能可能区别很大,这将导致在控制同一个操纵面时会存在动态的力纷争[8, 9, 10].在相似余度系统中力纷争现在已经存在,本研究的配置方式为非相似余度,因此,各通道间的力纷争将会更加严重[11].文献[8]中提出了一种针对液压伺服作动器(SHA)/EMA混合作动系统的力均衡控制策略,其通过在SHA中加入前馈滤波的方法来平衡两通道之间的动态差别,取得了较为满意的效果,值得借鉴;在文献[12]中,提出了在各通道中引入前馈补偿器,以此来引入速度和加速度补偿,从而实现动态平衡,但其没考虑两通道补偿的差别性;文献[13]中,针对静态力纷争提出了力纷争反馈积分补偿的方法,但其只是引入了积分补偿,对动态力纷争效果有限.这些方法都取得了一定的效果,本文将探讨几种动态力均衡控制策略的可行性和实现方法.
1 系统结构组成与工作原理
如图 1所示,上半部分为EHA,其结构主要包括伺服电机、定量泵、对称液压缸和其他液压附件等,由伺服电机控制定量泵,输出流量实现液压作动筒的驱动;下半部分为直驱式EMA,由伺服电机带动行星滚柱丝杠,实现伺服电机从旋转运动到直线运动的转化;左半部分是实现作动器通道与飞行器机体之间的连接结构;右半部分为飞行器控制舵面.本文将EHA和EMA在飞行控制舵面处综合,最终实现非相似余度作动系统两通道通过力综合实现对舵面负载的共同驱动[14].
![]() |
| 图 1 非相似余度作动系统Fig. 1 Dissimilar redundant actuator system |
由于静态和动态性能的差异,通道间不可能在任何时候输出相同的位移,即便它们处于相同的位置要求下.位置差异导致了作动器输出力的差异,对于本文所研究的非相似余度作动系统,其本身由于EHA和EMA具有非相似余度,从理论上相比于相似余度而言本身力纷争就要更大.
动态力纷争主要是由作动器跟随或抗负载扰动动态性能和连接刚度所决定的.由于动态力纷争详细原因的引入对力均衡控制策略的设计和研究起到非常重要的作用,因此,首先对其进行研究.为了更清楚地分析动态力纷争产生的原因,并基于此对动态力均衡控制策略进行研究,先将系统简化为图 2所示的结构示意图.
![]() |
| Xh—EHA液压缸的位移输出信号;Xm—EMA滚柱丝杠的位移输出信号;Fh—EHA的力输出信号;Fm—EMA的力输出信号;FL—空气动载荷;XR—舵面的位移;Xr—系统输入位移信号;Sht和Smt—EHA和EMA与舵面的连接刚度.图 2 非相似余度作动系统结构示意图Fig. 2 Schematic diagram of dissimilar redundant actuator system (DRAS) |

EMA闭环系统输出传递函数为

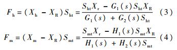
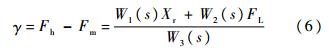
根据每个通道作动器输出至舵面之间的机械变形量可以得出作动器各自输出力为

根据牛顿第二定律,可以得到舵面总体位移输出为

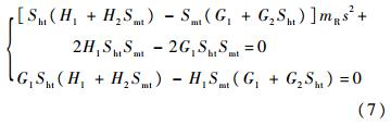
根据式(1)~式(5),可以得出力纷争γ表达式为



为了消除动态力纷争,应该使位移Xr和外负载力FL的系数项都尽量地小.一种理想的情况就是,当这两项的系数都为零时,力纷争将被彻底地消除,那么可以得到如下方程:


因此,为了消除动态力纷争,应设计使EHA和EMA的跟踪动态性能和抗负载扰动动态性能尽可能地相似.
3 动态力纷争均衡控制策略
为了减小动态力纷争的大小,本文根据前面的分析提出3种动态力均衡控制策略[15].
3.1 轨迹发生器+前馈补偿器
该动态力均衡控制策略的主要控制思想就是使EHA和EMA具有相同的跟踪动态性能.EHA和EMA不能只采用简单位置控制,必须将作动器的位置进行精确的控制,速度和加速度没有被直接控制,但是这两项对跟踪动态性能有着非常重要的影响.为了得到需求的跟踪性能,控制速度和加速度成为必然.因此,在该动态力均衡控制策略中,速度和加速度补偿信号被引入位置控制中,同时由于速度和加速度的反馈信号会降低作动器抗负载扰动刚度,所以采用前馈补偿设计了一个轨迹发生器,参考速度和加速度信号将由其产生,该动态力均衡控制策略的原理如图 3所示.
![]() |
Xtr—参考位置需求; —参考速度需求;
—参考加速度需求.图 3 动态力均衡控制策略1原理设计Fig. 3 Design principle of dynamic force equalization Ⅰ
|
利用轨迹发生器对需求的跟踪动态性能进行设置,基于位置需求Xr得到3个输出,即位置参考Xtr、速度参考
和加速度参考
.通常的轨迹发生器是采用二阶滤波器(2个参数)或者3阶滤波器(3个参数).直到目前,增加轨迹发生器的阶数到底能带来多大益处还没有得到证明,因此,本文选择简单的二阶发生器.二阶轨迹发生器原理如图 4和图 5所示.
![]() |
| ωi—参考自然频率,rad/s;ξi—参考阻尼系数.图 4 二阶轨迹发生器理想模型Fig. 4 Ideal model of second order trajectory generator |
![]() |
| 图 5 二阶轨迹发生器实际模型Fig. 5 Actual model of second order trajectory generator |
图 4是轨迹发生器的理想模型,图 5是一种实际的实现形式.引入两个饱和环节是为了对速度及加速度进行限幅,根据作动器的容量,速度限幅设置为±1.6 m/s,加速度限幅设置为±2.0 m/s2. 轨迹发生器中的参数ωi与ξi是基于跟踪动态性能要求,即1 mm/3 Hz正弦位置要求下-3 dB/-45°的要求.考虑闭环作动器的跟踪相位滞后,轨迹发生器将设置比要求的作动器输出快10%,因此,此时典型的数值为ωi=40 rad/s和ξi=0.707.
3.1.2 前馈补偿器
为了能够准确地跟踪参考模型,在保证位置跟踪的同时,也要对速度和加速度进行精确的控制,由轨迹发生器产生的参考速度
1) EHA前馈补偿器.
对于EHA而言,前馈补偿应该加到EHA伺服电机的控制电压中,参照之前的研究模型[1],推导得到EHA前馈补偿的表达式为
如式(9)所示,EHA中对称液压泵所产生的流量以两种形式被消耗,其一为功能性需求,即基于活塞杆速度的静压流量;另一个为寄生效应,即,液压压缩与泄漏.在得到的寄生效应补偿项中,作动筒摩擦Ff以及外负载力FL的影响都被忽略.作动筒摩擦Ff的影响被忽略的原因为它的幅值与作动筒的输出力比起来非常小,所以将其忽略;而外负载力FL的影响被忽略是避免引入能减弱作动器稳定性的正反馈.由于M2相对于M1而言要小很多,因此,此处将M2忽略不计,得到EHA前馈补偿器原理如图 6所示.
2) EMA前馈补偿器.
在EMA中,前馈预补偿的信号为伺服电机的电压信号uEMA.实际上,若电机采用电流环闭环控制时,其频响(300~400 Hz)相比于其他部分频响(机械部分20~30 Hz)高1个数量级.忽略掉这个部分,将伺服电机电流和转矩系数的乘积imcm看作期望转矩Tde*,并将其视为定值,除了空气动力负载以外,电机的转矩主要消耗在两种需求:转子加减速的惯性力矩和滚柱丝杠的摩擦力矩.
类似于EHA中的原因,为了防止正反馈,忽略外负载力FL的影响.舵面的惯量MR相比于转子的惯量JMM,可以产生忽略不计的惯性效应,所以也被忽略.同时,滚柱丝杠的摩擦力矩在线性模型中被线性化为纯黏性摩擦力矩Tf.因此,补偿器可以表示为
所以,EMA的前馈预补偿器原理如图 7所示.
在之前分析静态力均衡控制策略时,提出了一种引入力纷争积分信号来补偿作动器位置反馈的控制策略,并且该力均衡控制策略已被证明可以很好地改善系统的静态力纷争[16].因此,笔者考虑该力均衡控制策略能否对动态力纷争也有较好的效果,显然如果只引入积分补偿是远远不够的,这是由于它存在一个长延时,系统响应不能满足系统快速性的要求.所以比例和微分补偿部分同样被引入系统,因为比例和微分项都可以改善系统的快速性,另外,微分项可以预测系统未来的趋势,这对于动态力均衡来说是至关重要的,因此,在该动态力均衡控制策略中,引入了PID补偿器,其原理如图 8所示.
该控制策略主要的工作就是寻找PID补偿器的最优参数,此处对该动态力均衡控制策略2的分析可以分为两步:第1步,用线性的方法来确定EHA和EMA的控制参数,使该控制策略应用于非相似余度作动系统时动态力纷争最小;第2步,将线性方法得到的控制参数应用于非线性模型,探索最优动态力均衡下的PID控制参数.
1) 控制器参数优化.
如果EHA的快速性较好,则EHA拉着EMA运动,那么此时最大的动态力纷争是正的;相反,如果EMA的快速性较好,则EMA拉着EHA运动,那么此时动态力纷争是负的,因此,平衡点就是正和负动态力纷争的转折处,当然这些优化的参数必须满足位置环的要求.
2) PID补偿器参数.
在前面已经优化的控制器参数的基础上,将PID补偿器引入到非相似余度作动系统中,现对其各项的作用进行简单介绍.
比例项:加速向静态力均衡的收敛速度,如果只有积分项作用,则在大值力纷争下的静态力均衡暂态时间将会很长;
积分项:其作用是减小静态力纷争,在前面的静态力均衡控制策略研究[16]中已经对其进行深入分析,现在将探索动态和静态力均衡控制下的最优值;
微分项:其作用是对动态力纷争进行限制,通过调整其值可以对动态力纷争进行调节.
3.3 EHA力控制/EMA位置控制
EHA的惯量相对于EMA来讲要小很多,这将对力控制的动态性能影响较小. 在该力均衡控制策略中,对非相似余度作动系统也进行简单的PID控制.此处,EHA采用力控制,其控制器为简单的PID控制;同时EMA采用位置控制,其控制器为PD控制.在静态力均衡控制策略研究[17]中,EHA采用力控制时其控制器为简单的P控制,此处采用改进的PID控制,其原理如图 9所示.
在调整系统参数的过程中,发现其对位置阶跃输入的动态性能依然较差,通过分析可以发现,EHA电机输出力矩不足,同时系统中各种延时环节对此也有影响.为了提高此力均衡控制策略下非相似余度作动系统的性能,本文提出两种解决方案,其一是增加EHA比例和微分增益,以此来提高EHA的响应速度,但这将降低系统的稳定性,故此方案不可行; 另一个方法是根据EMA的速度信号补偿EHA电机控制输入信号,这是可行的方案,这是由于EMA的速度信号可以得到,并且噪声信号不多,原理如图 9中红色部分所示.
4 仿真对比分析
为了对非相似余度作动系统的设计提供有益的建议,本节将对各动态力均衡控制策略在各种不同的系统要求下进行综合对比,通过仿真对各动态力均衡控制策略在跟踪性能和抗扰动性能方面进行验证.
本文所研究的非相似余度作动系统的各通道都进行主动的位置控制,其原始控制器比较简单,其中EHA采用单闭环的比例控制方式;EMA采用双闭环控制方式,位置环比例控制,速度环比例控制.为了验证加入各动态力均衡控制策略对系统性能的影响,对其进行了综合仿真对比分析,系统仿真参数如表 1所示.
(N·m·rad-1·s-1) (V·s·rad-1)
仿真输入为t=0.5 s时,Xr=1 mm的阶跃输入信号(全行程的2%)对应跟踪阶段;t=3 s时,FL=10 kN的外负载力阶跃(50 kN的20%)对应抗负载扰动阶段.现将整个过程分为两个部分,分别为跟踪条件下的性能分析和抗负载扰动条件下的性能分析,结果如图 10和图 11所示.
由图 10和图 11可以得出如下结论:
1) 静态力均衡.所有的动态力均衡控制策略都可以满足非相似余度作动系统对于静态力纷争的要求,而且从图中可以发现其值相差很小.
2) 动态力均衡.动态力均衡控制策略2控制效果最好,其动态力纷争较小,同时拥有最快的收敛速度;动态力均衡控制策略1同样拥有较快的收敛速度,但其动态力纷争比动态力均衡控制策略2效果要差;动态力均衡控制策略3动态力纷争和收敛速度都不太理想.
3) 位置跟踪动态性能.动态力均衡控制策略1和动态力均衡控制策略2控制效果较好;而动态力均衡控制策略3控制效果稍差,但仍可以满足非相似余度作动系统的要求.动态力均衡控制策略3控制效果较差的原因主要是由于EHA在EMA运动之后才开始运动,存在一定的运动滞后,因此,其收敛速度较慢.
4.2 抗负载扰动性能分析
同样由图 10和图 11可以得出如下结论:
1) 静态力均衡.所有的动态力均衡控制策略都可以满足非相似余度作动系统对于静态力纷争的要求,动态力均衡控制策略2拥有最好的力均衡控制效果,同时动态力均衡控制策略3也可以较好地实现力均衡控制,但其静态误差最大;而动态力均衡控制策略1的静态力纷争最大,但其静态误差较小;
2) 动态力均衡.所有的动态力均衡控制策略都可以满足非相似余度作动系统的要求(力纷争小于10 kN),动态力均衡控制策略2控制效果最好.因此,尽管动态力纷争的动态过程超出了位置动态的要求范围,但动态力纷争的幅值还是低于非相似余度作动系统的10 kN要求.
3) 抗负载扰动性能.动态均衡控制策略1拥有最好的抗负载扰动性能,其为低频下非相似余度作动系统要求的2倍.动态均衡控制策略2和动态均衡控制策略3的抗负载扰动性能稍差.3种动态均衡控制策略相比没有动态均衡控制策略的系统性能都有提高.
另外,笔者发现无力均衡控制策略的非相似余度作动系统存在大概60 Hz的振荡频率,这是由非相似余度作动系统两通道的刚度和负载质量组成的弹簧质量环节所造成的.
5 结 论
由功率电传作动器EHA与EMA组成的非相似余度作动系统,具有彻底摆脱中央液压源限制,可实现随控布局,有助于降低飞行成本和减轻系统重量的优势,是未来多电飞机的发展趋势.为了减小系统动态力纷争,本文提出了3种动态力均衡控制策略,并对其进行了深入地分析和研究,可以得出以下结论:
1) 3种动态力均衡控制策略都可以实现减小动态力纷争的作用,同时控制器结构简单,为后面研究动态力纷争奠定了基础.
2) 对于动态力均衡控制策略1,EHA和EMA作动器都是位置控制,通过速度和加速度的前馈补偿强迫两通道输出相同的跟踪动态,其中EHA通道的功能流量补偿和EMA通道中速度前馈及转动惯量动态补偿在最终动态均衡效果中起到关键的作用.
3) 对于动态力均衡控制策略2,同样EHA和EMA通道都是位置控制,2个通道之间的力纷争信号经过PID控制器来补偿位置反馈信号,从而实现动态力均衡的效果.
4) 对于动态力均衡控制策略3,EMA进行位置控制,EHA进行力控制,并且跟随EMA的力输出,带有PID控制的力控制器和速度前馈来达到更高的动态性能,同时抵抗外负载速度反馈的影响,进而实现动态力均衡控制.
和参考加速度
作为输入,分别为非相似余度作动系统的EHA和EMA位置控制器设计了前馈补偿器.



图 6 EHA前馈补偿器设计原理图Fig. 6 Schematic of EHA pre-compensator


图 7 EMA前馈补偿器设计原理图Fig. 7 Schematic of EMA pre-compensator

图 8 动态力均衡控制策略2原理图Fig. 8 Design principle of dynamic force equalization Ⅱ

图 9 动态力均衡控制策略3原理图Fig. 9 Design principle of dynamic force equalization Ⅲ
EHA模型 EMA模型
参数 数值 参数 数值
作动筒杆径/mm 50 滚柱丝杠导程/mm 0.5
作动筒缸径/mm 90 转动惯量/(kg·m2) 0.01
行程/mm 80 行程/mm 85
活塞杆重量/kg 1.5 滚柱丝杠质量/kg 1.7 液压泵排量/(mL·r-1) 4.09 阻尼系数/ 0.01
电机绕组电阻/Ω 1.5 电机绕组电阻/Ω 1
电机绕组电感/H 0.01 电机绕组电感/H 0.01
反电势系数/(V·s·rad-1) 0.15 反电势系数/ 0.14 
图 10 非相似余度作动系统位移响应曲线Fig. 10 Displacement response curves of
dissimilar redundant actuator system (DRAS)

图 11 非相似余度作动系统力纷争响应曲线Fig. 11 Force fighting response curves of
dissimilar redundant actuator system (DRAS)
| [1] | 王占林, 陈斌.未来飞机液压系统的特点[J].中国工程科学,1999,1(3):5-10. Wang Z L,Chen B.Characters of future aircraft hydraulic system[J].Engineering Science,1999,1(3):5-10(in Chinese). |
| Cited By in Cnki (23) | |
| [2] | 于敦. 飞机电力作动系统发展方向,HY95007[R].北京:中国航空信息中心,1995. Yu D.Aircraft power actuating systems development direction,HY95007[R].Beijing:China Aviation Information Center,1995(in Chinese). |
| [3] | Botten S L, Whitley C R,King A D.Flight control actuation technology for next generation all-electric aircraft[J].Technology Review Journal:Millennium Issue,2000,Fall/Winter:55-68. |
| [4] | Bennett J W, Mecrow B C,Jack A G,et al.A prototype electrical actuator for aircraft flaps[J].IEEE Transactions on Industry Applications,2010,46(3):915-921. |
| Click to display the text | |
| [5] | More electric control surface actuation-A380 and beyond[J].Aircraft Technology Engineering and Maintenance,2004(10-11):28-33 |
| [6] | an den Bossche D.The A380 flight control electro-hydrostatic actuators achievements and lessons learnt[C]//25th International Congress of the Aeronautical Sciences.New York:Curran Associates Inc,2006,6:915-921. |
| [7] | Karam W, Mare J C.Force control of a roller-screw electro-mechanical actuator for dynamic loading of aerospace actuators[J].Aircraft Engineering and Aerospace Technology,2009,81(4):288-298. |
| Click to display the text | |
| [8] | Jacazio G, Gastaldi L.Equalization techniques for dual redundant electro hydraulic servo actuators for flight control systems[C]//ASME Symposium on Fluid Power and Motion Control.Bath: American Society of Mechanical Engineers,2008:543-549. |
| [9] | Cochoy O, Hanke S,Carl U B.Concepts for position and load control for hybrid actuation in primary flight controls[J].Aerospace Science and Technology,2007,11(3):194-201. |
| Click to display the text | |
| [10] | Cochoy O, Carl U B,Thielecke F.Integration and control of electromechanical and electrohydraulic actuators in a hybrid primary flight control architecture[C]//International Conference on Recent Advances in Aerospace Actuation Systems and Components.Toulouse:INSA,2007:1-8. |
| [11] | Mare J C, Moulaire P.The decoupling of position controlled electrohydraulic actuators mounted in tandem or in series[C]//Proceedings of the Seventh Scandinavian International Conference on Fluid Power.Linkoping:Linkoping Universitet Institute of Technology,2001:93-99. |
| [12] | 付永领,齐海涛, 王利剑,等.混合作动系统的工作模式研究[J].航空学报,2010,31(6):1177-1184. Fu Y L,Qi H T,Wang L J,et al.Research on operating modes in hybrid actuation systems[J].Acta Aeronautica et Astronautica Sinica,2010,31(6):1177-1184(in Chinese). |
| Cited By in Cnki (8) | |
| [13] | Qi H T, Mare J C,Fu Y L.Force equalization in hybrid actuation systems[C]//Proceedings of the Seventh International Conference on Fluid Power Transmission and Control.Hangzhou:World Publishing Corporation,2009:342-348. |
| [14] | Wang L J, Mare J C,Fu Y L.Force equalization for redundant active/active position control system involving dissimilar technology actuators[C]//8th JFPS International Symposium on Fluid Power,2011:136-143. |
| [15] | 付永领,庞尧, 刘和松,等.非相似余度作动系统设计及工作模式分析[J].北京航空航天大学学报,2012,38(4):432-437. Fu Y L,Pang Y,Liu H S,et al.Design and working mode analysis of dissimilar redundant actuator system[J].Journal of Beijing University of Aeronautics and Astronautics,2012,38(4):432-437(in Chinese). |
| Cited By in Cnki (2) | |
| [16] | Wang L J, Mare J C,Fu Y L.Investigation in the dynamic force equalization of dissimilar redundant actuation systems operating in active/active mode[C]//28th International Congress of the Aeronautical Sciences,2012:1-8. |
| Click to display the text | |
| [17] | 付永领, 范殿梁,李祝锋,等.非相似余度作动系统静态力均衡控制策略[J].北京航空航天大学学报,2014,40(11):1492-1499. Fu Y L,Fan D L,Li Z F,et al.Static force equalization for dissimilar redundant actuator system[J].Journal of Beijing University of Aeronautics and Astronautics,2014,40(11):1492-1499(in Chinese). |
| Cited By in Cnki |








