经过漫长的自然选择与环境适应过程,自然界的生物形成了近乎完美的身体结构,也发展出了相应的高效运动方式,尤其是鱼类利用流体获得动力的能力更是令人叹为观止[1, 2, 3].鱼类在推进效率、机动性和稳定性等方面技能卓越.其游动尾迹少、高度适应复杂水环境并利用周围流体降低能耗的特点,对改进现有水下潜器的推进性能和研制稳定、高效、隐蔽、机动的新型水下航行器有重要的启发作用[4, 5, 6].
按照鱼体结构和推进机制的不同,鱼类游动推进模式可以分为身体/尾鳍推进模式(Body and/or Caudal Fin,BCF)和中央鳍/对鳍模式(Median and/or Paired Fin,MPF)2类[5].BCF推进模式主要由鱼体或尾鳍的波动产生推进力,胸鳍多起到辅助推进或掌控平衡与方向的作用[7].MPF推进模式,以胸鳍或腹鳍为推进力主要来源,通过改变鳍的波形、波动幅度、频率以及两侧鳍上运动波的相差来控制推进力及转弯力矩[8].相比尾鳍推进模式,胸鳍摆动推进模式鱼类具有良好的机动性、稳定性和较小的环境扰动等优点[8, 9, 10, 11].而基于此推进原理的仿生机器鱼已经能够实现近乎零半径转弯及后退等高机动性能,此类仿生机器鱼的研究已经得到了各国科研工作者的重视[12, 13, 14].
胸鳍摆动推进模式机器鱼具有扁平的机体,因此具备良好的稳定性.通过控制机器鱼的尾舵单元,实现机器鱼的上浮和下潜运动.本文中,以实现胸鳍摆动推进模式机器鱼的定深控制为主要目的,同时对不同深度下的机器鱼俯仰角度变化进行了分析.机器鱼处于水下环境时,其运动控制涉及到流体动力学问题.因此机器鱼成为一个非线性的复杂控制对象.研究人员难以建立数学模型对机器鱼进行精确控制.而模糊控制可以有效实现人的控制策略和经验,并且不需要确定被动对象的数学模型即可实现较好的控制.模糊控制方法已经被比较广泛地用于机器鱼的运动控制,并获得了较好的运动性能[15, 16, 17, 18].因此本文基于模糊控制理论,建立模糊控制器,用于对机器鱼的俯仰姿态进行控制,同时建立专家PID控制器,用于根据深度误差生成期望的俯仰角度信号.2种控制器构成双闭环控制系统,用于实现机器鱼的定深控制.在北京航空航天大学机器人所的实验泳池进行了相关定深实验.实验结果表明,机器鱼能够较快地稳定在目标深度上,由此验证了本文提出的定深控制方法的有效性.
1 机器鱼机械结构与控制系统 1.1 机械结构
机器鱼三维骨架结构如图 1(a)所示,主要包括3个部分:中间机体、胸鳍单元和尾部单元.机器鱼骨架附着蒙皮后如图 1(b)所示,机器鱼具有扁平外形结构,可以在水平方向上增加与水流的接触面积,使机器鱼具备较好的俯仰稳定性.两侧胸鳍单元由主动变形机构和被动变形骨架构成.仿生胸鳍的主动变形机构为两自由度空间并联机构,由两组舵机驱动.被动变形骨架根据鲼形目鱼类的胸鳍生物学构造进行设计,主要包括前缘鳍条、中间弦向肋条和后缘鳍条.前缘鳍条沿翼尖方向逐渐变窄,以增加仿生胸鳍的展向被动变形能力.后缘鳍条柔性小于前缘鳍条,以增加仿生胸鳍的弦向变形能力.中间弦向肋条截面采用NACA0012标准翼型,具有较强的刚度,起连接前后缘鳍条和支撑蒙皮的作用,同时增加胸鳍的弦向刚度,以模仿鲼形目鱼类胸鳍的钙化区域.
舵机直接驱动尾部鳍条的上下摆动构成机器鱼尾部单元的运动,通过尾部单元的摆动运动可使机器鱼产生一定的俯仰力矩,用于实现机器鱼的深度控制.机器鱼鱼体截面也采用了NACA0012标准翼型截面,以实现机器鱼外形的平滑过渡,减小机器鱼机体阻力,如图 1(a)中所指的支撑肋条.
![]() |
| 图 1 仿生样机Fig. 1 Bionic prototype |
控制系统硬件部分主要由主控制器、通信系统、传感器信号采集系统和供电系统4个部分组成,如图 2所示.机器鱼具有2种工作模式:遥控控制方式、定深游动方式.在遥控工作模式下,无线接收器可接收遥控器发来的信号,经主控制器处理后得到胸鳍摆动频率、幅度、相差、尾舵控制信息,控制机器鱼游动.在定深模式下,主控制器和上位机通过无线串口模块进行通信,获得目标深度指令,主控制器通过采集传感器信号,并利用定深控制算法,输出PWM波控制6组舵机,实现胸鳍单元和尾部单元的摆动,通过控制尾部单元的摆动角度,实现机器鱼的俯仰运动,进而实现机器鱼的定深控制.
![]() |
| 图 2 机器鱼控制系统硬件结构Fig. 2 Hardware architecture of control system for robotic fish |
在本文中,机器鱼的俯仰角度信息主要由荷兰Xsens公司的MTI微型AHRS系统获得,MTI微 型AHRS内部采用三维陀螺仪快速跟踪被测对象的姿态,同时利用加速度传感器和磁强计进行姿态校核,具有较高的精度,测量俯仰角度的动态精度为0.5°,能够满足实验中测量机器鱼运动过程中俯仰角度的要求.同时机器鱼的深度信息通过投入式液位传感器获取,量程为0~2m,精度为0.2%,满足测量深度要求.2 机器鱼定深控制 2.1 定深控制器设计
定深控制的目标是实现机器鱼在游动过程中能够根据任务要求到达并稳定在目标深度,并能根据控制要求改变游动深度.胸鳍摆动推进模式机器鱼主要通过尾部单元中舵机的摆动角度改变俯仰姿态,进而改变游动深度.
目前,机器鱼定深控制大多数采用深度误差为输入,舵机角度为输出的PID控制方法[19],这种控制方法能够较好地实现机器鱼的深度控制,但是不能保证机器鱼到达目标深度后的俯仰稳定性.具体说明:机器鱼到达目标深度后,如果此时俯仰角度较大(对于胸鳍摆动推进模式机器鱼来说,这种情况比较常见),但深度误差能够满足稳态游动的条件,此时尾部摆动角度输出为0,如果不通过俯仰角度的反馈检测,就不能够保证机器鱼稳态游动的俯仰稳定性,故以深度误差为输入,尾部摆动角度输出的PID控制方法不能够保证机器鱼稳态游动的俯仰稳定性.因此需要加入对机器鱼俯仰角度的检测,以便形成另一个控制闭环,用于保证机器鱼稳定游动的俯仰稳定性.
基于以上分析,构建机器鱼双闭环定深控制系统如图 3所示.其中,基于专家PID的控制器构成控制外环,用于根据深度误差生成期望的俯仰角度信号.模糊控制器构成控制内环,用于根据给定俯仰角度实时调整机器鱼的俯仰姿态.同时能够减小环境扰动对机器鱼到达目标深度后稳态游动的影响.
![]() |
| hd(t)—期望深度;hc(t)—深度;θd(t)—期望俯仰角度;θc(t)—俯仰角度;β—尾舵摆动角度.图 3 双闭环定深控制系统Fig. 3 Double closed-loop depth control system |
设当前采样时刻机器鱼的实际深度为hc(k),期望深度为hd(k),则深度误差为ek=hd(k)-hc(k).前两个时刻的深度误差分别表示为e(k-1),e(k-2),由此定义:Δe(k)=e(k)-e(k-1),Δe(k-1)=e(k-1)-e(k-2).根据深度误差及其变化,按以下5种情况设计专家PID控制器:
1) 当e(k)≥H1时,表明误差绝对值非常大,控制器输出极值(最大或最小),控制机器鱼以最快的速度调整深度,此时专家PID控制器的输出为

2) 当e(k)Δe(k)>0时,表明误差绝对值在逐渐增大.若e(k)≥H2,则误差较大,控制器给出较强的控制作用,即


若e(k)<H2,说明虽然误差绝对值在逐渐增大,但误差本身较小,控制器可实施普通的控制作用,即

3) 当e(k)Δe(k)<0且Δe(k)Δe(k-1)>0或e(k)=0时,说明此时深度误差在不断减小或已处于平衡状态,控制器保持输出不变.

4) 当e(k)Δe(k)<0且Δe(k)Δe(k-1)<0时,说明此时深度误差处于极值状态.若具有较大的误差绝对值,即e(k)≥H2,则控制器实施较强的控制作用,即

若为较小的误差绝对值,即e(k)<H2,则控制器实施较弱的控制作用,即

5) 当e(k)≤ξ时,说明误差绝对值非常小,控制器的输出为0,机器鱼处于俯仰稳定控制阶段.
以上各式中,k为控制周期序号;ek(k)为误差e的第k个极值;θd(k)为第k次控制器的输出,θd(k-1)为第k-1次控制器的输出;K1(K1>1)为增益放大系数;K2(0
2.1.2模糊控制器设计
胸鳍摆动推进模式机器鱼稳态游动时,控制尾部单元摆动一定角度便可以利用流体的反作用力施加给自身一定的俯仰力矩,从而改变原有的俯仰姿态,实现机器鱼的上浮或下潜运动.下面对模糊控制器的设计进行详细说明.
模糊控制器的结构如图 4所示.控制器的输入为期望俯仰角θd与当前俯仰角θc的偏差e及偏差变化ec,输出为尾舵摆动角度β.在某一时刻t,e=θd(t)-θc(t),ect=et-et-1.规定机器鱼抬头时的俯仰角为正,反之为负;尾部单元向上摆动时摆角为正,反之为负.根据实验室已做的机器鱼上浮下潜及俯仰控制实验,设定模糊控制器输入变量的变化范围为:-π/6≤eθ≤π/6,-π/36≤ecθ≤π/36,-π/9≤β≤π/9.输入变量E,Ec及输出变量U的论域均定义为[-4,4],即{-4,-3,-2,-1,0,1,2,3,4}.在这里,量化因子Kθ1=4/(π/6)=24/π,Kθ2=4/(π/36)=144/π,比例因子Kθ3=π/9/4=π/36.
![]() |
| 图 4 模糊控制器结构Fig. 4 Structure of fuzzy controller |
经过模糊化后,俯仰角度偏差E、偏差变化率Ec和控制量U均被分为5档,分别与语言变量NB(负大)、NS(负小)、Z(零)、PS(正小)、PB(正大)相对应,且隶属度函数均采用三角函数,如图 5所示.设
的集合.在模糊规则评估阶段,根据大量实验得出的经验,归纳出25条模糊控制规则,见表 1.在归纳过程中,If-Then规则被采用,形式如下:

是集合中
的第i个元素:
>是集合
中的第j个元素,bij是经过模糊推理后集合U⌒中的一个元素.
![]() |
| 图 5 各语言变量的隶属度函数Fig. 5 Membership function for linguistic variables |
| U | 偏差变化Ec | ||||
| NB | NS | Z | PS | PB | |
| NS | NB | NB | NS | Z | Z |
| Z | NS | NS | Z | PS | PS |
| PS | Z | Z | PS | PB | PB |
| PB | Z | PS | PB | PB | PB |
在反模糊化阶段,采用中心值平均法求得对应的输出量为

最后,在实际控制机器鱼俯仰运动时,还需要乘以相应的比例因子Kθ3,最后得到尾部单元的摆动角度β.
2.2 定深控制参数设计
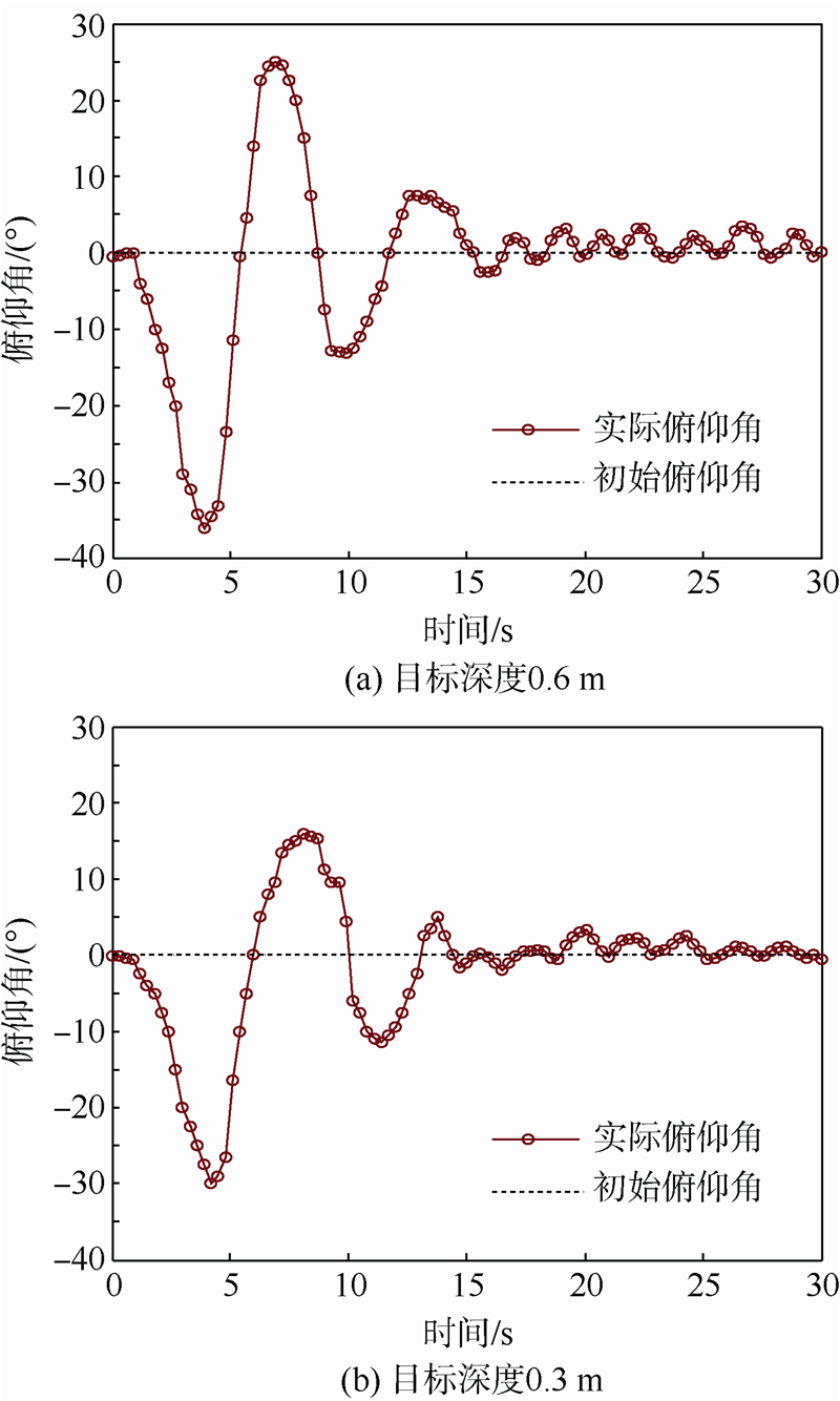
在进行机器鱼的定深实验时,为了排除航向扰动对定深控制的影响,设定机器鱼不进行航向控制,两侧胸鳍以相同运动参数摆动,摆动频率为0.5Hz,摆动幅度为20°,两侧胸鳍的鳍条相差均为20°,机器鱼通过调节尾部单元的摆动角度控制游动深度.为便于对比,进行了两组实验,目标深度分别为0.3m和0.6m.设定每组实验的初始深度为0.1m,采样时间为0.3s.具体的定深控制参数见表 2.
图 6和图 7分别为机器鱼定深控制实验时深度和俯仰角度随时间的变化曲线,由目标深度曲线(图 6)可以看出,在双闭环控制系统作用下,机器鱼能以较快的速度稳定在目标深度上,稳态误差约为±0.008m,即使初始深度与目标深度较大时(目标深度为0.6m),机器鱼仍能以较快的速度稳定在目标深度上.由俯仰角度变化曲线(图 7),当目标深度与实际深度存在偏差时,在双闭环控制系统作用下,机器鱼能快速调整自身俯仰角度以调节游动深度.当游动深度趋于稳定时,机器鱼俯仰角度也趋于稳定,稳态误差约为±3°.由于胸鳍摆动推进模式机器鱼通过胸鳍摆动产生推力的同时还会产生周期变化的升力,因此机器鱼在稳态运动过程中,俯仰角度会在一个小范围内波动.
![]() |
| 图 6 机器鱼深度随时间变化曲线Fig. 6 Relationship between depth and time for robotic fish |
![]() |
| 图 7 机器鱼俯仰角度随时间变化曲线Fig. 7 Relationship between pitching angle and time for robotic fish |
同时发现目标深度越大,俯仰角度初始变化范围越大,这是因为目标深度较大时,根据专家PID控制器的设计准则,此时控制器的输出为最大值,因此机器鱼初始时的俯仰角度变化会有一个较大的波动范围. 4 结 论
本文利用专家PID和模糊控制方法实现了机器鱼的深度控制.
1) 胸鳍摆动推进模式机器鱼在双闭环定深控制系统作用下可以比较准确地稳定在目标深度.
2) 通过尾舵的俯仰控制能够改善机器鱼到达目标深度后稳态游动时的俯仰稳定性,稳态游动过程中的俯仰角度误差约为±3°,能够较好地实现深度和俯仰稳定控制.
3) 通过实验发现,目标深度不同时,机器鱼的俯仰角度变化范围随着目标深度的增加而增大.说明在本文建立的定深控制系统下,机器鱼能够在初始运动时尽快接近目标深度,以减少达到稳定游动状态的时间.
下一步工作将针对机器鱼的航向控制进行研究,胸鳍摆动推进模式机器鱼的游动方向通过两侧胸鳍的协同运动来实现.通过嵌入到机体中的MTI微型AHRS系统实时检测机器鱼的航向角度变化,并利用本文中的定深控制方法,实现机器鱼的航向控制.未来的工作也会结合深度和航向控制,并加入避障传感器、水下摄像头,使胸鳍摆动推进模式机器鱼能够具备一定的自主游动能力.
| [1] | Domenici P,Blake R.The kinematics and performance of fish fast-start swimming[J].Journal of Experimental Biology,1997,200(8):1165-1178. |
| Click to display the text | |
| [2] | Taylor G.Analysis of the swimming of long and narrow animals[J].Proceedings of the Royal Society of London,Series A,Mathematical and Physical Sciences,1952,214(1117):158-183. |
| Click to display the text | |
| [3] | Dickinson M H,Farley C T,Full R J,et al.How animals move: an integrative view[J].Science,2000,288(5463):100-106. |
| Click to display the text | |
| [4] | Triantafyllou M S,Triantafyllou G S,Yue D K P.Hydrodynamics of fishlike swimming[J].Annual Review of Fluid Mechanics,2000,32(1):33-53. |
| Click to display the text | |
| [5] | Sfakiotakis M,Lane D M,Davies J B C.Review of fish swimming modes for aquatic locomotion[J].IEEE Journal of Oceanic Engineering,1999,24(2):237-252. |
| Click to display the text | |
| [6] | Triantafyllou M S,Hover F S,Techet A H,et al.Review of hydrodynamic scaling laws in aquatic locomotion and fishlike swimming[J].Applied Mechanics Reviews,2005,58(4):226-237. |
| Click to display the text | |
| [7] | Anderson J M,Kerrebrock P A.The vorticity control unmanned undersea vehicle(VCUUV)-an autonomous vehicle employing fish swimming propulsion and maneuvering[C]//Proceedings of 10th International Symposium on Unmanned Untethered Submersible Technology.Piscataway,NJ:IEEE Press,1997:189-195. |
| [8] | Rosenberger L J.Pectoral fin locomotion in batoid fishes:undulation versus oscillation[J].Journal of Experimental Biology,2001,204(2):379-394. |
| Click to display the text | |
| [9] | Suzuki H,Kato N,Suzumori K.Load characteristics of mechanical pectoral fin[J].Experiments in Fluids,2008,44(5):759-771. |
| Click to display the text | |
| [10] | Fontanella J E,Fish F E,Barchi E I,et al.Two-and three-dimensional geometries of batoids in relation to locomotor mode[J].Journal of Experimental Marine Biology and Ecology,2013,446:273-281. |
| Click to display the text | |
| [11] | Liu X,Iwasaki T,Fish F.Dynamic modeling and gait analysis of batoid swimming[C]//Proceedings of the 2013 American Control Conference.Piscataway,NJ:IEEE Press,2013:566-571. |
| [12] | 王田苗,杨兴帮,梁建宏.中央鳍/对鳍推进模式的仿生自主水下机器人发展现状综述[J].机器人,2013,35(3):352-362. Wang T M,Yang X B,Liang J H.A survey on bionic autonomous underwater vehicles propelled by median and/or paired fin mode[J].Robot,2013,35(3):352-362(in Chinese). |
| Cited By in Cnki (3) | |
| [13] | Yang S B,Qiu J,Han X Y.Kinematics modeling and experiments of pectoral oscillation propulsion robotic fish[J].Journal of Bionic Engineering,2009,6(2):174-179. |
| Click to display the text | |
| [14] | Cai Y,Bi S,Low K H,et al.Posture analysis and application of a bionic pectoral foil[C]//Proceedings of the 2011 IEEE International Conference on Robotics and Biomimetics.Piscataway,NJ:IEEE Press,2011:1783-1788. |
| Click to display the text | |
| [15] | Lee P J,Lee M S,Wang R C.A fuzzy control based robotic fish with multiple actuators[J].International Journal of Fuzzy Systems,2012,14(1):45-53. |
| Click to display the text | |
| [16] | Lee P J,Yen C H,Chan C L,et al.Implementation of a fuzzy control based intelligent robot fish[J].International Journal of Fuzzy Systems,2009,11(4):287-297. |
| Click to display the text | |
| [17] | Na S Y,Shin D,Kim J Y,et al.Fuzzy information and engineering[M].Berlin:Springer,2007:337-344. |
| [18] | Niu C,Zhang L,Bi S,et al.Development and depth control of a robotic fish mimicking cownose ray[C]//Proceedings of the 2012 IEEE International Conference on Robotics and Biomimetics.Piscataway,NJ:IEEE Press,2012:814-818. |
| [19] | 周超,曹志强,王硕,等.仿生机器鱼俯仰与深度控制方法[J].自动化学报,2008,34(9):1215-1218. Zhou C,Cao Z Q,Wang S,et al.Study on the pitching and depth control of biomimetic robot fish[J].Acta Automatica Sinica,2008,34(9):1215-1218(in Chinese). |
| Cited By in Cnki (10) |










