水上飞机是指可以在水上起飞、降落和停泊的飞机.水上飞机曾被广泛用于反潜、运输、巡逻、侦察和海上救援等任务.20世纪50年代以后,由于战争需求的减弱以及陆上起降飞机的崛起,水上飞机的发展进入了衰落期[1].但是近年来随着通用航空的发展和新构型水上飞机的提出,水上飞机的发展进入了复苏阶段.
水面起飞特性是水上飞机区别于其他陆上起降飞机的主要特性之一,研究水上飞机起飞特性关键是预报起飞滑行阶段的水动阻力.模型试验是水上飞机研制过程中主要使用的阻力研究方法[2, 3, 4, 5],也是最准确的阻力预报手段,但试验花费高,不适合初始总体设计阶段使用.随着计算机技术的发展,计算流体力学(Computational Fluid Dynamcs,CFD)方法也已经应用于初始设计阶段的阻力计算[6, 7],但是要涉及到自由液面和动网格的处理,计算时间会很长,甚至难以接受.工程估算[8, 9, 10]工作量小,相对准确,可以用于初始设计阶段,但由于之前相当长一段时间内水上飞机发展的停滞,针对水上飞机水动阻力的理论研究很少,因此也没有专门针对船身式水上飞机水动阻力的工程估算公式.但是针对与船身式水上飞机机身外形相似的滑行艇滑行阻力的理论研究相对比较多,得到了一些比较成熟的半理论半经验方法,如姆雷法、查结法和舒福德-勃朗法等.这些方法可以在短时间内作阻力特性分析,所以经常在滑行艇初始设计阶段使用.本文基于查结法,通过气动修正,得到考虑气动布局影响的估算船身式水上飞机中高速静水滑行阻力的半理论半经验公式,应用此公式快速分析某船身式水上飞机的水动特性,并通过计算起飞滑跑距离验证公式的有效性.
1 水动阻力计算公式推导
查结法是由苏联流体动力中心提出的滑行艇阻力估算方法[11].船身式水上飞机在后体离水和接近离水的中高速滑行阶段运动状况与滑行艇滑行阶段相似,所以可以通过查结法来估算水上飞机中高速滑行阶段的姿态和静水阻力.但是水上飞机气动升力和俯仰力矩对姿态和阻力的影响不能忽略,尤其是高速阶段,水上飞机的升沉和俯仰受气动升力和俯仰力矩的影响更大,对阻力的影响也更大;同样螺旋桨拉力(发动机推力)导致的俯仰力矩或在竖直方向的分力较大时,对水上飞机姿态和阻力的影响也不能忽略.所以应用查结法计算水上飞机滑行阻力必须考虑气动布局的影响,即需要对查结法进行气动修正.
只考虑船身式水上飞机的纵向运动,当俯仰角α不大时,cosα≈1.则根据竖直方向的受力平衡可得

根据纵向的俯仰力矩平衡可得

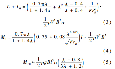
由文献[11]可得到经验系数修正后的L+L0、M1和MP0分别为

为相当平板浸湿长宽比;V为滑行速度,m/s;
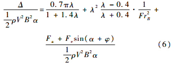
为宽度弗劳德数.联立式(1)~式(5),可得到考虑气动布局影响的,即考虑气动升力和俯仰力矩以及螺旋桨拉力影响的半理论半经验公式如下:

联立式(6)和式(7)即可计算一定速度下船身式水上飞机的俯仰角α和浸湿长宽比λ.
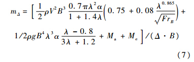
考虑底部斜升角β,进行β角修正,根据文献[11],修正后的浸湿长宽比λβ和俯仰角αβ如下:


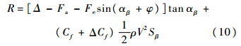
根据式(8)和式(9),可得气动修正后的水动阻力计算公式如下:

为摩擦阻力系数,
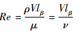
为雷诺数,lβ为考虑β修正的浸湿长度,μ为水动力黏性系数,ν为水运动黏性系数;ΔCf为摩擦阻力表面粗糙度修正系数,一般可取0.4×10-3.2 计算方法与流程
计算通过MATLAB软件编程实现[12],计算流程如下:
1) 通过CFD计算得到考虑地效的不同速度和迎角下的全机气动升力、阻力和俯仰力矩,建立气动数据库.
2) 以水上飞机排水量Δ、速度V、浸湿宽度B和重心至断阶的水平距离ξ为计算输入,首先得到宽度弗劳德数FrB和重心纵向位置系数mΔ.
3) 由式(6)~式(8)得到β角修正后的浸湿长宽比λβ和俯仰角αβ.
4) 根据式(10)计算水动阻力R.
3 某船身式水上飞机中高速滑行阶段水动特性分析
应用推导得到的水动阻力估算公式,进行某小型船身式无人水上飞机中高速滑行阶段水动特性分析,表 1是某船身式水上飞机的部分主要总体参数.
| 参数 | 数值 |
| 翼展/m | 3.2 |
| 机身长度/m | 2.3 |
| 断阶宽度/m | 0.3 |
| 断阶处横向斜升角/(°) | 20 |
滑行艇起滑过程,可分为3个阶段:排水航态,体积弗劳德数FrΔ<1,船体基本靠静浮力支持;过渡航态,1
船身式水上飞机的起飞过程划分可以参考滑行艇的划分方法,当FrΔ>3以后,水上飞机基本进入滑行状态,机体主要靠水动升力和气动升力支持,此时水上飞机的速度处于中高速范围,因此本文中的中高速是指FrΔ>3的速度.本节即进行FrΔ>3以后水上飞机水动力特性计算和分析,具体速度范围是V=5~13m/s,其中水上飞机抬前轮速度为13m/s,离水速度为15m/s.
3.1 俯仰角随体积弗劳德数变化规律
水上飞机水面滑行阶段俯仰角随体积弗劳德数变化曲线如图 1所示.
![]() |
| 图 1 俯仰角随体积弗劳德数变化曲线Fig. 1 Pitch angle varying with the volume Froude number |
速度为5m/s时,俯仰角达到最大5.1°,这与滑行艇过渡阶段出现尾倾现象一致.随着速度增加,俯仰角不断减小,主要原因是进入高速滑行阶段,机身尾部离水,断阶导致的分离区消失,分离引起的负升力消失,相当于断阶后的正升力增加,全机抬头力矩减小而产生低头运动;用于计算分析的水上飞机由于特殊性能需要采用高置螺旋桨布局,整个起飞过程都产生很大的低头力矩,速度不足够高或不加操纵时水动和气动力矩不能完全将飞机配平,而使飞机保持有一定的低头运动,所以全机俯仰角在不断减小.俯仰角降低逐渐变得缓慢,正是水动力和气动力产生的抬头力矩增加而导致的.
3.2 水动阻力随体积弗劳德数变化规律
水上飞机水面滑行阶段水动阻力随体积弗劳德数变化曲线如图 2所示.
![]() |
| 图 2 水动阻力随体积弗劳德数变化曲线Fig. 2 Pitch resistance varying with the volume Froude number |
滑行阶段的水动阻力包括摩擦阻力和剩余阻力,剩余阻力包括兴波阻力、飞溅阻力和黏压阻力.随着滑行速度的增加,各阻力在总阻力中所占的比例不同.阻力与速度的平方成比例,一般随速度增加而增加,不同构型的滑行艇水动阻力随速度(或FrΔ)变化趋势不同.本文计算的船身式无人水上飞机后机身离水后,滑行状态接近无断阶的尖舭型滑行艇,尖舭型滑行艇在FrΔ>3以后,阻力随FrΔ增加近似直线增加,在文献[11, 13]中都有分析.本文通过所推导半理论半经验公式得到的水动阻力是总阻力,在飞机抬前轮之前,随着滑行速度的增加,水动阻力增加,是因为计算的水上飞机因高置螺旋桨布局等原因导致俯仰角始终随速度增加而减小,使得前机身浸入水中面积增加;虽然全机水线在中高速阶段随速度增加而不断下降,使全机浸湿面积有减小趋势,但在升沉运动和俯仰运动的综合作用下全机浸湿面积随速度变化较小,因此摩擦阻力始终随速度增加较快,总阻力始终增加.
4 水面滑跑距离计算
根据估算得到的俯仰角和建立起来的气动数据库,可以得到相应速度状态下的气动阻力,并且估算得到了水动阻力,从而可以计算某船身式水上飞机水面起飞滑跑距离.
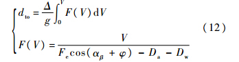
对于纵向运动,考虑水动阻力,可以得到适用于水上飞机起飞滑跑距离的计算方程[14, 15]:

由方程(11)可以得到:

![]() |
| 图 3 F(V)随速度变化曲线Fig. 3 F(V) varying with velocity change |
通过式(12)得到起飞滑跑距离为60.1m. 飞机实际试飞得到的起飞滑跑距离约为60m,与通过计算得到的起飞滑跑距离一致,从而间接证明了本文提出的考虑气动布局影响的计算船身式水上飞机中高速静水滑行阻力的方法是可行的,同时也为船身式水上飞机起飞滑跑距离计算提供了一种思路.
当然,本文计算滑行距离时,F(V)在低速阶段和抬前轮至离水阶段都直接使用直线代替实际曲线,会对滑行距离计算造成一定误差.但是低速阶段的滑行距离短,同时不同阶段的误差可能相互抵消,所以起飞滑跑距离计算值与试验值基本相同.
5 结 论
本文创新性地将滑行艇水动阻力计算方法经气动修正后应用到船身式水上飞机静水滑行阻力估算中,并进行了某船身式水上飞机水动阻力特性研究,所得结论如下:
1) 基于计算滑行艇滑行阻力的查结法,推导得到计算船身式水上飞机静水滑行阻力的半理论半经验公式,公式中考虑了水上飞机气动布局影响,适用于中高速滑行阶段.
2) 通过编写计算程序,计算了某船身式水上飞机中高速阶段水动特性,得到了俯仰角和水动阻力随体积弗劳德数变化曲线,俯仰角和水动阻力变化趋势可以理论解释,并与试验过程相符.
3) 根据中高速滑行阻力的计算结果,以及对F(V)适当的近似,得到了某船身式水上飞机起飞滑跑距离,计算结果与实际试飞得到的起飞滑跑距离相符,间接证明了本文提出的计算船身式水上飞机中高速静水滑行阻力的半理论半经验公式的有效性,也为水上飞机起飞滑跑距离计算提供了一种思路.
| [1] | 褚林塘,叶树林. 水上飞机文集[M].北京:航空工业出版社,2011:77-95,96-108. Zhu L T,Ye S L.Collected works of seaplane[M].Beijing:Aviation Industry Press,2011:77-95,96-108(in Chinese). |
| [2] | Truscott S,Parkinson J B,Ebert J W,et al.Hydrodynamic and aerodynamic tests of models of flying-boat hulls designed flow aerodynamic drag-NACA models 74,74-A,and 75,NACA-TN-668[R].Washington,D.C.:NACA,1938. |
| [3] | Parkinson J B,Olson R E,House R O.Hydrodynamic and aerodynamic tests of a family of models of seaplane floats with varying angles of dead rise-NACA models 57-A,57-B,and 57-C,NACA-TN-716[R].Washington,D.C.:NACA,1939. |
| [4] | Davidson K S M,Locke F W S.General tank tests on the hydrodynamic characteristics of four flying-boat hull models of differing length-beam ratio,NACA-ARR-4F15[R].Washington,D.C.:NACA,1944. |
| [5] | Parkinson J B,Olson R E,Dreley E C,et al.Aerodynamic and hydrodynamic tests of a family of models of flying-boat hulls derived from a streamline body:NACA model 84 series,NACA-ARR-3I15[R].Washington,D.C.:NACA,1943. |
| [6] | Qiu L J,Song W B.Efficient decoupled hydrodynamic and areodynamic analysis of amphibious aircraft water takeoff process[J].Joural of Aircraft,2013,50(5):1369-1379. |
| Click to display the text | |
| [7] | 倪崇本,朱传仁,缪国平,等.计及航行姿态变化的高速多体船阻力预报[J].水动力学研究与进展A辑,2011,26(1):101-107. Ni C B,Zhu C R,Miao G P,et al.The resistance prediction for high speed multi-hull vessels with consideration of hull gesture variation during voyage[J].Chinese Journal of Hydrodynamic,2011,26(1):101-107(in Chinese). |
| Cited By in Cnki (10) | |
| [8] | 董文才,吴晓光,夏飞,等.一种考虑动升力影响的高速艇迎浪纵向运动的数学模型[J].海军工程大学学报,2005,17(4): 32-37. Dong W C,Wu X G,Xia F,et al.Mathematical model on longitudinal motion of high speed craft in heading sea considering effect of hydrodynamic lift[J].Journal of Naval University of Engineering,2005,17(4):32-37(in Chinese). |
| Cited By in Cnki (25) | |
| [9] | Zhu Y G,Fan G L,Yi J Q.Modeling longitudinal aerodynamic and hydrodynamic effects of a flying boat in calm water[C]//Proceedings of the 2011 IEEE International Conference on Mechatronics and Automation.Piscataway,NJ:IEEE Press,2011:2039-2044. |
| Click to display the text | |
| [10] | 武庆威,高霄鹏,吴彬.水上飞机滑行阶段静水阻力的一种估算方法[J].航海工程,2013,42(3):154-157. Wu Q W,Gao X P,Wu B.A method to evaluate the resistance of seaplane sliding in still water[J].Ship & Ocean Engineering,2013,42(3):154-157(in Chinese). |
| Cited By in Cnki (1) | |
| [11] | 赵连恩,谢永和. 高性能船舶原理与设计[M].北京:国防工业出版社,2009:255,263-266. Zhao L E,Xie Y H.The principle and design of high performance ships[M].Beijing:National Defense Industry Press,2009:255,263-266(in Chinese). |
| [12] | 张乔斌,尹成彬,吴开峰.滑行艇阻力近似计算方法对比研究[J].中国舰船研究,2012,7(3):25-29. Zhang Q B,Yin C B,Wu K F.Comparison between “ЦАГИ” method and SIT method for resistance prediction of planning crafts[J].Chinese Journal of Ship Research,2012,7(3):25-29(in Chinese) |
| Cited By in Cnki (3) | |
| [13] | 李云波. 船舶阻力[M].哈尔滨:哈尔滨工程大学出版社,2005:120-123. Li Y B.Ship resistance[M].Harbin:Harbin Engineering University Press,2005:120-123(in Chinese). |
| [14] | 方振平,陈万春,张曙光.航空飞行器飞行动力学[M].北京:北京航空航天大学出版社,2005:71-72. Fang Z P,Chen W C,Zhang S G.Aviation aircraft flight dynamics[M].Beijing:Beihang University Press,2005:71-72(in Chinese). |
| [15] | 许震宇,成航,李沙.地效飞行器水面起飞滑跑距离估算方法[J].飞机设计,2011,31(5):12-14. Xu Z Y,Cheng H,Li S.The estimated method of the takeoff distance of a WIG on water[J].Aircrfat Design,2011,31(5):12-14(in Chinese). |
| Cited By in Cnki (1) |








