2. 北京航空航天大学 机械工程及自动化学院, 北京 100191
2. School of Mechanical Engineering and Automation, Beijing University of Aeronautics and Astronautics, Beijing 100191, China
近20年来,相控阵超声检测技术以其声束灵活可控、检测分辨率和灵敏度高以及检测速度快等显著优势,逐渐在超声检测领域占据了一席之地[1, 2, 3, 4].2004年,英国Bristol大学的Holmes等[5, 6]提出了一种基于全聚焦方法(Total Focusing Method,TFM)的相控阵超声虚拟聚焦检测技术,该技术借助计算机强大的运算处理能力,对相控阵超声换能器中各个阵元独立接收的超声回波信号(简称全矩阵数据)进行相位延时、加权合成等数据处理,以模拟声波在成像区域各位置点的虚拟聚焦,从而实现成像检测和缺陷判别.
近些年,国外无损检测研究机构对相控阵超声虚拟聚焦检测技术的研究开展了大量工作[7, 8, 9, 10, 11],主要集中在基于全矩阵数据的虚拟聚焦算法实现方面.提出的全聚焦方法[5],可获得比常规相控阵超声检测方法更大的检测范围和更高的检测分辨力;提出的向量全聚焦方法(Vector Total Focusing Method,VTFM)[11],可准确检出直径小于半波长的孔型缺陷,对槽型缺陷的角度方向也可准确识别.同时,该技术去除了操作人员繁琐的参数设置和检测工艺制定过程,具有更加显著的应用和发展前途.
然而,当采用全聚焦方法对复杂形状界面试样进行成像检测时,由于被测试样界面形状复杂,导致某些阵元发射的超声波会在试样界面处发生波型转换甚至需要多次反射/折射才能传播至被测区域中各聚焦点,明显增大了分析被测试样中超声传播路径的难度,必须准确计算出试样中的超声传播时间,才能获得正确的检测结果.为了解决试样型面对检测结果的影响,提出了一种“动态孔径聚焦方法”,所谓孔径(aperture)是指相控阵换能器中相邻的几个阵元晶片.该方法就是根据实际检测对象制定一定实施法则来动态调整成像区域中每个聚焦点幅值叠加时所选取的孔径.本文将以L型构件圆弧区域为检测对象,开展基于动态孔径虚拟聚焦方法的相控阵超声成像检测研究.
1 动态孔径聚焦方法实现 1.1 全矩阵数据采集全矩阵数据是相控阵超声虚拟聚焦检测技术的基础.全矩阵数据采集(Full Matrix Capture,FMC)是指通过控制相控阵超声换能器中各阵元晶片依次激励超声波,每次激励时,换能器中全部阵元独立接收超声回波信号的数据采集过程,所获得的原始超声检测信号是非常丰富的.对于常规相控阵超声检测技术中声束任意偏转及聚焦所获得的超声回波信号均可通过对全矩阵数据实施特定的数据处理算法而生成.
如图 1所示,设相控阵换能器由N个阵元晶片组成,全矩阵数据的采集过程可描述为:首先,使第1个阵元激励超声波,各阵元分别接收回波信号,则所获得的回波数据可定义为S1,r(M)(r=1,2,…,N),共获得N组数据,其中M代表每组超声回波数据的采样点数;然后,依次使各阵元分别作为激励源,使各阵元分别接收回波信号.设某阵元w为激励阵元,某阵元r为接收阵元,则所获得的超声回波数据可定义为Sw,r(M).因此,当所有阵元分别独立作为激励阵元,所有阵元分别接收超声回波数据时,全矩阵数据可定义为Sw,r(M)(w=1,2,…,N;r=1,2,…,N),共获得一个N×N×M 的三维数组.
![]() |
| 图 1 全矩阵数据采集示意图Fig. 1 Schematic diagram of full matrix capture |
全聚焦方法就是基于全矩阵数据采用特定数据处理算法进行虚拟聚焦计算的过程,通过一次数据计算即可同时获得成像区域中任意位置的幅值信息,从而实现缺陷的图像表征.
如图 2所示,被测试样位于直角坐标系Oxz中,相控阵换能器置于被测区域上表面,其中心位置位于坐标原点O上.首先,采集一组全矩阵数据Sw,r(t)(w=1,2,…,N;r=1,2,…,N),则被测区域中某聚焦点(x,z)的幅值I(x,z)表示为
![]() |
| 图 2 全聚焦方法示意图Fig. 2 Schematic diagram of total focusing method |


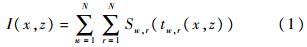
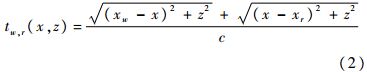
式中:tw,r(x,z)代表声波从第w号阵元激发的超声波传播到目标聚焦点(x,z),再被r号阵元接收所花费的时间,可由式(2)计算获得;Sw,r(tw,r(x,z))代表第w号阵元激发、第r号阵元接收的超声回波信号中表征目标聚焦点(x,z)的幅值信息;I(x,z)代表换能器中全部阵元发射和接收的超声回波信号在该目标聚焦点(x,z)的幅值叠加.
然后,通过对成像区域进行网格划分,确定每个聚焦点的位置,再采用式(1)和式(2)计算成像区域中各聚焦点的幅值,即可根据幅值信息实现图像表征.成像时图中各点的能量采用dB的标度方式,并以最大反射幅值做归一化处理.
1.3 动态孔径聚焦方法当采用全聚焦方法对复杂型面构件进行相控阵超声检测时,采用了相控阵换能器全部阵元发射和接收的全矩阵数据,由于被测试样几何型面复杂,在换能器和试样之间需要耦合层,则相控阵换能器中某些阵元激发的超声波会在被测试样界面处发生波型转换或者需要一次以上的反射/折射才能传播至目标聚焦点,导致声波在试样中的传播路径十分复杂,如果不能准确计算出各阵元发射声波到达各聚焦点的传播时间,将难以获得正确的检测结果.因此,采用全聚焦方法进行成像检测时,往往仅考虑声波在界面处为固定波型转换[11](如纵-纵波或纵-横波),以简化考虑发射声波的传播过程,但该方法会造成被测区域中各聚焦点幅值叠加时所选阵元晶片数量存在较大差异.
针对上述问题,在全聚焦方法的基础上提出一种“动态孔径聚焦方法”,该方法根据实际被测对象设计聚焦检测方案来动态选取每个虚拟聚焦点幅值叠加时的阵元孔径(即相邻的几个阵元晶片),以简化考虑发射声波在试样中的传播过程,并尽量采用小角度入射以减小声波在界面处的能量损失.此时全聚焦方法的式(1)被改写为

式中:s(x,z)和e(x,z)分别代表所选取孔径中起始和终止阵元的序号,是与聚焦点位置(x,z)有关的函数.定义K为孔径中阵元晶片的数量,K=e(x,z)-s(x,z)+1,其为固定值.在全聚焦算法中s(x,z)=1,e(x,z)=N,而此处这些值的选取是根据实际检测对象来设定的,被测区域中不同的聚焦点会有不同的s(x,z)和e(x,z).式(3)中其他参数的含义与式(1)同.
2 L型构件的虚拟聚焦检测 2.1 方案设计以大曲率L型构件为检测对象,相控阵换能器各阵元发射的超声波需要通过L型构件两端的平界面或中间的圆弧界面才能传播至被测圆弧区域中各聚焦点,因此极易在界面处发生纵-横波波型转换,同时超声波在试样界面和底面之间会发生多次反射/折射,可见超声波在L型构件中的传播过程十分复杂.
为了避免L型构件型面的影响,设计动态孔径聚焦检测方案.当某一阵元发射/接收的超声波能尽量垂直地通过被测试样界面并传播至试样内部聚焦点时,所产生的能量损失较小,从该阵元晶片到聚焦点的传播路径可认为是最佳路径.根据这个原则,首先确定声波从聚焦点垂直经过被测试样界面时所对应的阵元晶片位置,然后与该阵元位置相邻的几个阵元晶片即可选取为该聚焦点的孔径,采用该方法可依次确定出被测区域中每个聚焦点的孔径.其中,在选取孔径中阵元晶片数量时,为了使更多能量的声波入射到试样中,要保证所选取孔径中各阵元晶片发射纵波在不发生波型转换的情况下以尽量小的入射角进入试样内部,即阵元发射声波均以纵-纵波形式传播至聚焦点,并在此基础上取尽量多的阵元晶片用于该聚焦点的幅值叠加,以提高检测的信噪比.在实际构件检测时,也可选取几种阵元晶片数量进行检测实验,以实际检测结果来确定最终所选择阵元晶片数量.
如图 3所示,相控阵换能器中心位于L型构件圆弧圆心垂直上方高度为H的位置,以某一聚焦点P(x,z)为例,声波从聚焦点P垂直经过L型构件圆弧界面所对应的阵元晶片为A,则阵元A左右相邻的K个阵元即为聚焦点P的孔径,因此,式(3)中的起始和终止阵元函数s(x,z)和e(x,z)可定义为
![]() |
| 图 3 L型构件的动态孔径聚焦检测示意图Fig. 3 Schematic diagram of dynamic aperture focusing inspection for L-shaped component |

式中:N为相控阵换能器的阵元个数;d为阵元间距;K为选取孔径中的阵元数量;[]为四舍五入取整符号;同时,所计算的结果应满足1≤s(x,z)≤e(x,z)≤N.
2.2 声波传播时间计算针对L型构件的型面特征,提出一种基于Snell定律的声波传播时间计算方法.声学中Snell定律的公式可表达为

式中:c1为第1层介质的纵波或横波声速;c2为第2 层介质的纵波或横波声速.
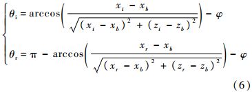
如图 4所示,定义L型构件圆弧半径为R,试样厚度为T,放置相控阵换能器使其中心到L型构件圆弧圆心的垂直距离为H.当声波从第i个阵元晶片(xi,zi)到达界面上的折射点(xb,zb),再传播到拟聚焦点P(xr,zr)时,其入射角θi和折射角θr可定义为
![]() |
| 图 4 L型构件的声波传播时间计算示意图Fig. 4 Calculation schematic diagram of wave propagation time for L-shaped component |

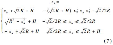
式中:xi=(i-N/2-0.5)·d(i=1,2,…,N);zi=0.L型构件耦合层和工件层间的界面可划分平面L1、圆弧面L2和平面L3 3部分,其中zb的表达式和xb的取值范围可表示为

另外,φ表示折射点位置(xb,zb)上的法线与x轴正向的夹角,可表示为

将式(6)~式(8)代入式(5)中,即可获得界面L1、L2、L3的3个多项式方程,仅有xb一个未知量,求解3个方程,即获得xb的根,代入表达式(7)便得到zb的值,此时(xb,zb)共有3个值.
然后,分别计算从发射阵元(xi,zi)通过3个折射点(xb,zb)到达聚焦点(xr,zr)的传播时间,再根据声波总是沿最速路径传播的Fermat原理,找到3个声波传播时间中最短的值,即为所求的传播时间,所对应的(xb,zb)即为折射点位置坐标.同时,该方法可推广到复杂形状构件的声波传播计算.
3 仿真验证时域有限差分法(Finite-Difference Time Domain,FDTD)作为一种数值计算方法,目前被广泛用于模拟弹性波传播.采用FDTD方法[12, 13, 14, 15]模拟一组声波在L型构件中传播的全矩阵数据,用来验证所计算的声波传播时间是否正确,所提出的动态孔径聚焦方法是否可行,为实际的检测实验提供理论依据和技术支持.
建立如图 3所示的仿真模型,取L型构件圆弧圆心与换能器的垂直距离H=7.2 mm,圆弧半径R=5 mm,工件厚度T=30 mm.工件的纵波声速cL=5 900 m/s,横波声速cS=3 080 m/s,密度ρ0=7 900 kg/m3,耦合层楔块的纵波声速为2 330 m/s.在L型试样圆弧中心15 mm的深度位置设置一个直径2 mm的圆孔缺陷.相控阵换能器的阵元个数N=32,中心频率f=5 MHz,阵元间距d=0.6 mm,阵元宽度a=0.5 mm.设置仿真计算的空间间隔为100 μm,时间间隔为5 ns,激励信号为加汉宁窗、5个周期、5 MHz的正弦信号.依次激励32个阵元,获得一组各个阵元独立接收的全矩阵数据Sw,r(t)(w=1,2,…,32;r=1,2,…,32).
基于仿真的全矩阵数据,分别采用仅考虑纵-纵波波型转换的全聚焦方法和第2.1节所提出的动态孔径聚焦方法对L型构件圆弧区域进行成像检测.首先,采用圆弧角度方向0.1°、半径方向0.1 mm的步进划分网格,获得圆弧区域中每个聚焦点的位置坐标.然后,根据2.1节所描述的阵元晶片数量选取原则,分别取孔径的阵元数量K=4,6,8,10,并将每个聚焦点的位置坐标(x,z)代入式(4)中,即可确定每个聚焦点所选取阵元孔径的起始和终止阵元序号.再采用2.2节声波传播时间计算方法获得每个阵元到达聚焦点的传播时间.最后,分别基于全聚焦(式(1))和动态孔径聚焦(式(3))方法计算出圆弧区域各聚焦点的幅值信息,获得成像结果.成像时图像中各点幅值采用dB为单位以图中各点的最大幅值进行对数计算获得.
通过实验对比,当动态孔径聚焦方法中K=8时,成像结果的信噪比最佳.图 5(a)所示为全聚焦方法在纵-纵波模式下检测结果,由于L型形状的影响导致近表面区域的信噪比很差,缺陷识别较为困难.动态孔径聚焦方法在K=8时的检测结果如图 5(b)所示,图中可清晰分辨出试样的缺陷和底面,很好地避免了试样几何形状的影响.但试样上表面轮廓形状不清晰,这是由于L型构件圆弧半径R仅为5 mm,则部分声波会沿着试样上表面传播,导致声波在楔块与试样界面处的传播十分复杂.结果表明,采用该动态孔径聚焦检测方案、换能器和楔块参数及声波传播时间计算方法,可实现对L型构件圆弧区域的检测.
![]() |
| 图 5 仿真数据的检测结果Fig. 5 Detection result for simulation data |
设计并定制2个L型铝合金试样,试样尺寸及参数与第3节仿真实验相同,采用动态孔径聚焦方法实现对圆弧区域的检测.L型铝合金试样如图 6(a)所示,位于圆弧30°、15 mm深度位置有一圆形通孔缺陷,选取与第3节仿真中相同的换能器和楔块参数,全聚焦方法纵-纵波模式下和K=8时动态孔径聚焦方法的检测结果如图 6(b)和图 6(c)所示,两图均可分辨出位于圆弧30°位置的缺陷以及试样界面和底面,可粗略测得试样厚度为30 mm,缺陷埋深为15 mm,但采用动态孔径聚焦方法检测结果的信噪比明显提高,能更好地实现L型试样的检测.
![]() |
| 图 6 缺陷位于圆弧30°位置试样的100检测结果Fig. 6 Detection result of specimen with defect located in the position of 30 degree arc |
另外,界面二次回波出现在底面回波下方较近位置,这是由于L型界面圆弧半径仅为5 mm,而试样的纵波声速为2 700 m/s,楔块的纵波声速为2 337 m/s,因此二次界面回波出现在5.78 mm(5 mm/2 337 m/s×2 700 m/s=5.78 mm)的位置.
采用相同检测参数对包含两个圆孔缺陷(位于圆弧±20°、15 mm深度)的L型试样进行检测,试样实物图如图 7(a)所示,全聚焦方法纵-纵波模式下和动态孔径聚焦方法在K=8时的检测结果如图 7(b)和图 7(c)所示.两图中均可检测出界面、底面以及两个缺陷,测量两个缺陷分别位于±20°的位置,但是采用动态孔径聚焦方法所获得检测结果其信噪比明显优于全聚焦方法,取得了更好的检测结果.
![]() |
| 图 7 缺陷位于圆弧±20°位置试样的检测结果Fig. 7 Detection result of specimen with defects located in the position of -20 and 20 degree arc |
1) 针对L型构件的型面特征,提出了基于Snell定律的声波传播时间计算方法,且该方法可推广到复杂形状构件的声波传播计算.
2) 通过有限差分数值仿真方法模拟声波在L型构件中传播的全矩阵数据,实现了对所提出的声波传播时间计算方法和动态孔径聚焦方法的验证.
3) 对L型铝合金试样进行了实际检测实验,取得了良好的检测结果,表明所提出的动态孔径虚拟聚焦方法能更好地实现对L型构件等复杂形状试样的超声检测.
| [1] | Lethiecq M, Pejot C, Berson M, et al.An ultrasonic array-based system for real-time inspection of carbon-epoxy composite plates[J].NDT and E International, 1994, 27(6):311-315. |
| Click to display the text | |
| [2] | Smith R A, Bending J M, Jones L D, et al.Rapid ultrasonic inspection of ageing aircraft[J].Insight-Non-Destructive Testing and Condition Monitoring, 2003, 45(3):174-177. |
| Click to display the text | |
| [3] | Lupien V, Cancre F.Ultrasonic phased array inspection of titanium billets[C]//Review of Progress in Quantitative Nondestructive Evaluation:Volume 20.Ames:AIP Publishing, 2001, 557(1):919-926. |
| [4] | 施克仁, 郭寓岷.相控阵超声成像检测[M].北京:高等教育出版社, 2010:15-16. Shi K R, Guo Y M.Phased array ultrasonic imaging and testing[M].Beijing:Higher Education Press, 2010:15-16(in Chinese). |
| [5] | Holmes C, Drinkwater B W, Wilcox P D.The post-processing of ultrasonic array data using the total focusing method[J].Insight-Non-Destructive Testing and Condition Monitoring, 2004, 46(11):677-680. |
| Click to display the text | |
| [6] | Holmes C, Drinkwater B W, Wilcox P D.Post-processing of the full matrix of ultrasonic transmit-receive array data for non-destructive evaluation[J].NDT and E International, 2005, 38(8):701-711. |
| Click to display the text | |
| [7] | Velichko A, Wilcox P D.An analytical comparison of ultrasonic array imaging algorithms[J].Journal of the Acoustical Society of America, 2010, 127(4):2377-2384. |
| Click to display the text | |
| [8] | Drinkwater B W, Wilcox P D.Ultrasonic arrays for non-destructive evaluation:A review[J].NDT and E International, 2006, 39(7):525-541. |
| Click to display the text | |
| [9] | Moreau L, Hunter A J, Drinkwater B W, et al.Efficient data capture and post-processing for real-time imaging using an ultrasonic array[C]//Review of Progress in Quantitative Nondestructive Evaluation:Volume 29.Ames:AIP Publishing, 2010, 1211(1):839-846. |
| [10] | Wilcox P D, Holmes C, Drinkwater B W.Advanced reflector characterization with ultrasonic phased arrays in NDE applications[J].Ultrasonics, Ferroelectrics and Frequency Control, IEEE Transactions on, 2007, 54(8):1541-1550. |
| Click to display the text | |
| [11] | Zhang J, Drinkwater B W, Wilcox P D, et al.Defect detection using ultrasonic arrays:The multi-mode total focusing method[J].NDT and E International, 2010, 43(2):123-133. |
| Click to display the text | |
| [12] | 徐娜, 李洋, 周正干, 等.FDTD方法的改进及在超声波声场计算中的应用[J].北京航空航天大学学报, 2013, 39(1):78-82. Xu N, Li Y, Zhou Z G, et al.Improvement of finite difference time domain method and its application to the calculation of ultrasonic sound fields[J].Journal of Beijing University of Aeronautics and Astronautics, 2013, 39(1):78-82(in Chinese). |
| Cited By in Cnki | |
| [13] | Xu N, Zhou Z G.Numerical simulation and experiment for inspection of corner shaped components using ultrasonic phased array[J].NDT and E International, 2014, 63(4):28-34. |
| Click to display the text | |
| [14] | Satyanarayan L, Mohan K V, Krishnamurthy C V, et al.Finite difference time domain simulation of ultrasonic phased array sector scan for imaging cracks in large pipes, elbows, and tee sections[J].Research in Nondestructive Evaluation, 2008, 19(2):61-86. |
| Click to display the text | |
| [15] | Satyanarayan L, Sridhar C, Krishnamurthy C V, et al.Simulation of ultrasonic phased array technique for imaging and sizing of defects using longitudinal waves[J].International Journal of Pressure Vessels and Piping, 2007, 84(12):716-729. |
| Click to display the text |










