2. 中国航空工业集团公司 中国航空动力机械研究所, 株洲 412002
2. AVIC China Aviation Powerplant Research Institute, Zhuzhou 412002, China
在20世纪60年代中后期,燃烧室设计开始采用空气雾化喷嘴,以解决烟雾排放和出口温度场调试困难的全环燃烧室技术难题.GE公司开发的空气雾化喷嘴称为旋流杯,并在其公司的主要军用和民用发动机上大量应用,如CF6-80、CFM56、GE90、F101、F110、F404、F414及T700等[1, 2]. 与大型发动机相比,小型发动机(例如涡轴发动机),正常工作时供油量要少很多,低功率条件时供油量就更少,因此若小型发动机燃烧室采用空气雾化喷嘴,低功率条件下的雾化变差,点火起动困难.而在燃烧室的设计中,一个非常关键的问题就是点火起动问题,它直接关系到发动机能否在各不同工况下安全、可靠地工作[3]. 国内外学者对用于发动机旋流杯式空气雾化喷嘴的研究已有相当的基础,针对这种喷嘴的流场、喷雾场、燃烧性能等做了大量的基础研究[4, 5, 6, 7, 8, 9, 10, 11],但公开发表的文献中针对小型发动机燃烧室旋流杯的点火性能的研究并不多,数据相对缺乏. 文献[12]研究了旋流杯套筒翻边形状对于点火性能的影响,得出结论:扩张套筒出口形状旋流杯燃烧室的点火性能大大优于平滑出口套筒形状旋流杯燃烧室的点火性能.文献[13]则研究了文氏管喉道和套筒的结构变化对小型发动机回流燃烧室的点火性能的影响,得出结论:过大的文氏管喉道直径和短的套筒斜边长度组合会使喷雾粒径变大;文献[14]研究了复合式双旋流杯空气雾化喷嘴的点火特性,对预估点火特性做出了贡献,并发现采用复合式空气雾化喷嘴可以得到一个点火性能良好且同时保持其他燃烧性能良好的燃烧室.但文献中并没有讨论旋流杯的一些关键设计参数,如文献[2]提到的旋流数、文献[12]提到的旋流杯套筒出口形状和文献[13]提到的文氏管喉道对点火特性的影响.文献[2]中研究了两种不同旋流数的旋流杯对燃烧室点火性能的影响,但变量不单一,不能明确分析出旋流数变化对点火性能影响的直接原因. 本文将旋流杯的一级旋流数作为唯一变量,通过实验研究分析一级旋流数对于小型发动机回流燃烧室的点火性能的影响. 1 研究对象、实验系统和流程 1.1 研究对象
本文研究的旋流杯结构如图 1所示,旋流杯主要由离心喷嘴、一级斜切孔、文氏管、二级径向旋流器和套筒5个部件组成.本文研究的3个方案,其一级旋流数Sn分别为1.0、0.6和0.4.一级旋流数按照文献[3]所述计算,取文氏管喉道处为计算截面,分别设计了3个一级斜切孔旋流器.
![]() |
| 图 1 旋流杯结构图Fig. 1 Swirl cup structure diagram |
本文的一级旋流数的计算经过了三维数值模拟验证,设计方案达到了旋流数设计要求.本文采用单一变量法考查一级旋流数对点火性能影响,在设计中通过改变斜切孔的孔径Rsi、孔数n以及入射半径Re来达到预定的一级旋流数.图 2给出了表明这3个参数的一级旋流器结构图,其中Φe为入射直径,Φe=2Re.
![]() |
| 图 2 一级旋流数变化方案Fig. 2 Primary swirl number change programme |
除一级结构参数变化之外,旋流杯的其他参数完全一致:3个方案的文氏管喉道直径都为7 mm,二级旋流数为0.8,套筒扩张角为90°,采用喷嘴流量数Fn为9.7 kg/(h·MPa0.5)的空心油雾锥离心喷嘴,两级旋流器的旋转方向相反. 1.2 实验件与实验系统
为研究上述3种方案的旋流杯小型航空发动机燃烧室的点火性能,采用单头部矩形回流燃烧室进行研究.火焰筒头部高度为50 mm,单头部火焰筒有效面积为300 mm2.燃烧室火焰筒与机匣侧壁安装了石英玻璃,可以直接观察到是否着火.点火器储能6 J,火花频率5 Hz,点火电嘴位于火焰筒中心截面位置,与喷嘴正对,安装在主燃孔上游.电嘴表面与火焰筒的内表面齐平.
实验系统包括以下部分:气源、调节阀门、测试段、实验段、水冷套、排气段、供油系统、测试系统(K型热电偶两支、差压计若干、压力传感器若干)、采集系统以及部分实验台配套设备.整个系统与文献[13]类似,不同之处在于文献[13]用气瓶挤压供油,本研究采用平流泵供油.图 3为具体的实验系统图,其中p代表在图中相应位置处测试静压,T代表在图中相应位置处测试静温.另外,p*C为测试段总压,pC为测试段静压,p*3为中间段总压(即燃烧室进口总压),pf为燃油喷嘴前压力,p*4为燃烧室出口总压,T*4为燃烧室出口总温.
![]() |
| 图 3 实验系统图Fig. 3 Schematic diagram of experimental system |
空气质量流量按式(1)计算:

式中:
为空气质量流量,kg/s;ρ为空气密度(根据气体状态方程算得),kg/m3;Δp为测试段总压-静压差,MPa;CdA为测试段有效面积,大小为374 mm2,测量精度达到1.5%.
气流进入燃烧室前先经过扩压器,在扩压器出口处安装了总压杆头,用来测量燃烧室进口总压p*3.燃烧室出口位置安装总压耙,用来测量出口总压p*4.根据进出口总压测试,得到了燃烧室压降.另外在出口总压耙上安装了K型热电偶,在对采集数据的分析中,通过出口温度的变化可以判断点火是否成功.
实验系统的供油动力采用高精度平流泵,流量量程为0~500 mL/min,最大工作压力为2 MPa.平流泵之后安装了一个量程为0~10 kg/h的质量流量计,用于燃油流量的监测;在质量流量计后的油路上安装了一个工作压力为7 bar(1 bar=100 kPa)的两位三通的电磁阀,该电磁阀为一进两出结构形式,常开路为旁路,该电磁阀用于控制燃油进入燃烧室.具体操作如下:关闭电磁阀,调节平流泵至某流量,燃油通过旁路回流至油箱,待流量稳定时,开启电磁阀,燃油进入燃烧室内,为了使电磁阀两路燃油油压近似相等,在回流的旁路上加装了一个调节用针阀,事先将开度调节与预燃级喷嘴喷口面积近似的程度,并通过压力表进行油压监测.
燃油质量流量由喷嘴前的燃油压差计算得到,其计算公式为

式中: 在进口空气条件为常温常压,在火焰筒进出口压降0.5%~5%范围内分别对3个方案进行点火性能研究.实验时,调节空气质量流量至某一火焰筒压降,通过改变平流泵的容积流量调整燃油流量至一定值(需通过质量流量计判断流量稳定),在不同的油气比下,分别接通点火系统点火,通过采集系统的出口温度判断点火是否成功(实验时,通过燃烧室侧壁的石英玻璃窗口的观察也可直观判断点火是否成功).若点火成功,减少燃油量,再次进行点火实验直到点火不能成功,在着火边界处(最小能够点着火的贫油点火油气比)重复几次实验,最后在低于点火边界下的油气比下进行点火实验,以确定边界线下点火不能成功;若点火不成功,则增加燃油量点火直至点火成功,按上述步骤找到着火边界.完成一个火焰筒压降下的点火实验后,调节空气质量流量至另一个火焰筒压降,重复实验.最后把每个方案的最小点火油气比整理成随火焰筒进出口压降变化关系图,就可以得到该方案的贫油点火边界线.
2 实验结果与分析
2.1 实验结果
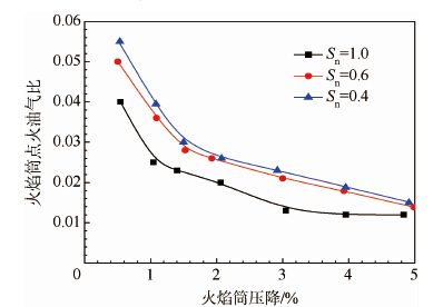
图 4 是根据3个不同一级旋流数的旋流杯方案点火实验结果作出的火焰筒贫油点火边界图.从图 4 可以看出,3个方案点火油气比随压降变化的趋势是一致的,随着火焰筒压降从0.5%增加到5%,3个方案的贫油点火油气比都呈下降趋势,点火区域逐渐增宽,点火性能得到改善.其中内旋流数为1的方案在压降为4%与5%的情况下贫油点火油气比相同.
在同一压降下,三个方案的点火油气比从低到高依次为Sn=1.0、0.6和0.4.不同压降下的排序都如此,一级旋流数大的方案贫油点火性能要好.其中,在3%压降下各方案的最小点火油气比依次为0.013、0.021和0.023.此时,用最小点火油气比衡量点火性能,则3个方案的贫油点火性能:Sn=1.0的方案要比Sn=0.6的方案好38.1%,比Sn=0.4的方案好43.5%.在高压降下,点火边界趋于接近;在低压降时,点火边界的差值有所增加.比较Sn=0.6与Sn=0.4的2个方案,贫油点火边界在1%~5%压降下点火边界都保持趋势一致,Sn=0.6的方案贫油点火性能略优于Sn=0.4的方案.但在0.5%压降时,这2个方案的点火边界差异变大,贫油点火油气比分别为0.050与0.055.
2.2 分析讨论
根据文献[3]可知单个旋流杯头部类型的燃烧室采用高能点火器点火燃烧过程可以分为3个步骤:①形成足够能量及足够尺寸的核心火团;②该核心火团向四周进行火焰传播,特别是沿着回流区边界向回流区内传播;③旋流杯下游回流区形成稳定火焰,并引燃整个主燃区.
本实验用燃烧室头部气量分配为17.49%,据此作出最小能点着火的头部当量比ΦS关于一级旋流数Sn的变化关系图,如图 5所示.从图 5可以看出,随着火焰筒压降的增加,每个方案的最小能点着火的头部当量比都逐步降低.这与图 4显示的结果相同,即火焰筒压降的增加改善了点火性能.文献[15]指出旋流杯的工作原理是:喷嘴供入燃油,在文氏管上形成油膜,油膜顺流至文氏管唇口处被两级涡流器的空气剪切实现雾化,两级涡流器中的空气与雾化的燃油混合成均匀的可燃混气,进入火焰筒燃烧区进行燃烧.由于压降的增加,一方面使得单路离心喷嘴在雾化压力提高的情况下改善了自身的雾化,另一方面使得气动剪切力增加也改善旋流杯的雾化.而雾化的改善有利于燃烧室点火的第一步,即核心火团的形成.因此,火焰筒压降的增加有利于改善点火性能.
图 5还显示在相同的压降下,随着旋流杯一级旋流数的增加,最小能点着火的头部当量比ΦS逐渐减小.这是因为一定范围内的旋流杯一级旋流数的增加使得文氏管唇口处的油膜被空气剪切得更加厉害,因而一定程度上也帮助改善了雾化,有利于核心火团的形成,改善点火性能.另一方面,一定范围内的一级旋流数的增加可能有利于改善套筒出口附近回流区,有利于核心火团向回流区传播形成稳定的火焰.
为了对比3个方案套筒附近回流区的情况,考察旋流杯的一级旋流数的增加是否有利于改善套筒出口附近的回流区,在3%的火焰筒压降下对3个方案进行了冷态流场的数值计算.使用ICEM软件划分网格,网格种类采用对于复杂边界的流场计算问题较为有效的非结构化网格.网格数量都约为380万,旋流杯出口附近进行加密,模拟计算在服务器上进行.各方案的进口条件均为常温常压,其空气流量也相同.进口采用质量进口,出口采用压力出口,固体边界采用绝热固定壁面.计算时采用稳态非耦合隐式算法求解,湍流模型采用标准k-ε模型.
图 6为3个方案火焰筒中心截面上主燃孔上游头部区域的轴向速度分布图.从图 6不难看出,一级旋流数的影响主要集中在文氏管内部到套筒出口这段区域.Sn=0.4的方案在文氏管内部没有负速度区域,回流区在文氏管外截止,下游流场的影响不会传入文氏管上游.而Sn=1.0的方案可以很明显看到文氏管内部直到喷嘴出口都存在负速度区域,下游流场会传播到喷嘴出口位置.这说明一级旋流数的增加确实有利于改善套筒出口附近回流区,它的增加使得头部回流区深入旋流杯内部的区域扩大,有利于核心火团往旋流杯内传播,点着从旋流杯内喷出的燃气混合物并形成稳定的火焰,从而改善了火焰筒的点火性能.
本文对不同一级旋流数的3个旋流杯空气雾化喷嘴进行了点火性能实验,通过数值模拟与实验结果的对比分析,得到的主要结论如下:
1) 旋流杯空气雾化喷嘴的一级旋流数对旋流杯出口空气流场具有较大的影响,一级旋流数大的旋流杯回流区的上止点更接近于喷嘴位置.
2) 旋流杯空气雾化喷嘴的一级旋流数对燃烧室的点火性能影响较大.一级旋流数大的方案,其燃烧室点火性能优于较小的方案.
f为燃油质量流量,kg/h;Δpf为喷嘴前后燃油压差,MPa.实验时燃油流量的测量误差为0.1%.
1.3 实验流程

图 4 实验系统图Fig. 4 Schematic diagram of experimental system 
图 5 最小点火头部当量比随一级旋流数的变化Fig. 5 Minimum ignition head equivalent ratio varying with 
图 6 数值模拟流场速度图Fig. 6 Flow field velocity diagram of numerical simulation
| [1] | 方昌德.世界航空发动机手册[M].北京:航空工业出版社, 1996. Fang C D.World aviation engine mannual[M].Beijing:Aviation Industry Press, 1996(in Chinese). |
| [2] | 彭云晖, 林宇震, 许全宏, 等.双旋流空气雾化喷嘴喷雾、流动和燃烧性能[J].航空学报, 2008, 29(1):1-14. Peng Y H, Lin Y Z, Xu Q H, et al.Atomization, aerodynamics and combustion performance of swirl cup[J].Acta Aeronautica et Astronautica Sinica, 2008, 29(1):1-14(in Chinese). |
| Cited By in Cnki (33) | Click to display the text | |
| [3] | 林宇震, 许全宏, 刘高恩.燃气轮机燃烧室[M].北京:国防工业出版社, 2008:107. Lin Y Z, Xu Q H, Liu G E.Gas turbine combustor[M].Beijing:National Defence Industry Press, 2008:107(in Chinese). |
| [4] | 徐华胜, 黄义勇, 王秀兰.喷嘴供油特性对双旋流器头部气动雾化效果的影响研究[J].燃气涡轮试验与研究, 2004, 17(2):14-17. Xu H S, Huang Y Y, Wang X L.Study on the effect of fuel jet characteristics on airblast atomization performance for device with two-stage swirler[J].Gas Turbine Experiment and Research, 2004, 17(2):14-17(in Chinese). |
| Cited By in Cnki (18) | Click to display the text | |
| [5] | Hsiao G, Mongia H C, Vij A.Swirl cup modeling part Ⅱ:inlet boundary conditions, AIAA-2003-1350[R].Reston:AIAA, 2003. |
| Click to display the text | |
| [6] | Hsiao G, Mongia H C.Swirl cup modeling part Ⅲ:grid independent solution with different turbulence models, AIAA-2003-1349[R].Reston:AIAA, 2003. |
| Click to display the text | |
| [7] | Cai J, Fu Y, Elkadi A, et al.Swirl cup modeling part Ⅳ:effect of confinement on flow characteristics, AIAA-2003-0486[R].Reston:AIAA, 2003. |
| Click to display the text | |
| [8] | Wang S, Yang V, Mongia H C, et al, Modeling of gas turbine swirl cup dynamics, part Ⅴ:Large eddy simulation of cold flow, AIAA-2003-0485[R].Reston:AIAA, 2003. |
| Click to display the text | |
| [9] | Stevens E J, Held T J, Mongia H C.Swirl cup modeling part Ⅷ:spray combustion in CFM-56 single cup flame tube, AIAA-2003-0319[R].Reston:AIAA, 2003. |
| Click to display the text | |
| [10] | Wang H Y, McDonell V G, Samuelsen G S.Influence of hardware design on the flow field structures and the patterns of droplet dispersion, Part I:mean quantities[J].Journal of Engineering for Gas Turbines and Power, 1995, 117(2):282-289. |
| Click to display the text | |
| [11] | Ateshkadi A, McDonell V G, Samuelsen G S.Effect of hardware geometry on gas and drop behavior in a radial mixer spray[J].Proceedings of the 1998 27th International Symposium on Combustion, 1998, 2:1985-1992. |
| Click to display the text | |
| [12] | 罗国良, 宋双文, 胡好生, 等.旋流杯空气雾化喷嘴套筒出口形状对小型燃烧室点火性能的影响[J].航空动力学报, 2001, 22(8):1708-1712. Luo G L, Song S W, Hu H S, et al.Influences of the swirl cup flares design on the small combustor ignition performance[J].Journal of Aerospace Power, 2011, 22(8):1708-1712(in Chinese). |
| Cited By in Cnki (5) | Click to display the text | |
| [13] | 康尧, 林宇震, 霍伟业, 等.双级旋流杯结构变化对点火特性的影响研究[J].推进技术, 2014, 35(5):675-679. Kang Y, Lin Y Z, Huo W Y, et al.Effect of hardware geometry of dual-stage swirl cup on ignition performance[J].Journal of Propulsion Technology, 2014, 35(5):675-679(in Chinese). |
| Cited By in Cnki (87) | Click to display the text | |
| [14] | 林宇震, 林培华, 许全宏, 等.复合式收扩套筒空气雾化喷嘴燃烧室点火研究[J].航空动力学报, 2007, 28(3):342-346. Lin Y Z, Lin P H, Xu Q H, et al.Research on ignition performance of a hybrid airblast atomizer combustor with convergent-divergent sleeve[J].Journal of Aerospace Power, 2007, 28(3):342-346(in Chinese). |
| Cited By in Cnki (8) | Click to display the text | |
| [15] | 黄勇, 林宇震, 樊未军, 等.燃烧与燃烧室[M].北京:北京航空航天大学出版社, 2006:264. Huang Y, Lin Y Z, Fan W J, et al.Combustion and Combustors[M].Beijing:Beihang University Press, 2006:264(in Chinese). |






