2. 中国人民解放军 63780 部队, 陵水 572427
2. The 63780 Unit of PLA, Lingshui 572427, China
串扰是成像光谱仪非理想成像特性中的一种,有光串扰、电串扰和读出电路导致的串扰,它广泛存在于现有的成像光谱仪之中,对不同的成像光谱仪,它所表现出的现象不同[1, 2, 3, 4, 5, 6, 7, 8, 9].MODIS-Terra存在电串扰现象,文献[1, 2, 3, 4]提出了MODIS的电串扰校正方法.Terra卫星搭载的推扫型多光谱成像仪ASTER(Advanced Spaceborne Thermal Emission and Reflection Radiometer)存在光串扰现象,它导致成像数据中出现鬼影,文献[7, 8, 9]提出了ASTER的光串扰校正算法及其改进算法.本文所研究的一种红外多光谱相机有两个短波红外波段B10和B11,由于两个谱段探测器位于同一基底上以及探测器读出电路等影响,两个谱段成像时相互之间有串扰,这种串扰会影响图像的质量.由于相机已无法改动,只能通过图像处理的方式来解决串扰问题.本文以B10普段的串扰图像为例研究. 1 串扰现象描述
在实验室靶标图像边界处,当B11谱段的输入发生阶跃变化时,会在B10谱段相应位置产生和边界形状相同的串扰条纹,条纹亮暗与阶跃信号的正负有关,条纹与阶跃信号相距约35个像元,宽度占5个像元左右.
如图 1和图 2所示,中间亮区域为实验室靶标(视为均匀面光源),两侧黑色区域为暗背景.可以看到,在B10谱段靶标左侧亮区域内出现一条暗线,该暗线是由于B11谱段探测器从暗区进入亮区时,探测器接收到一个上升的阶跃信号,该阶跃信号导致B10谱段对应位置产生一个负脉冲,从而导致输出DN(Digital Number)值低于正常值;在B10谱段靶标右侧暗区域内出现一条亮线,该亮线是由于B11谱段探测器从亮区进入暗区时,探测器接收到一个下降的阶跃信号,该阶跃信号导致B10谱段对应位置产生一个正脉冲,从而导致输出DN值高于正常值.
|
| 图 1 B10波段串扰图像 Fig. 1 Crosstalk image of B10 wave band |
|
| 图 2 B11波段串扰图像 Fig. 2 Crosstalk image of B11 wave band |
该红外多光谱相机的焦平面为一种PV型HgCdTe红外焦平面阵列,采用背照射式接收红外辐射信号,为N+-on-P型红外焦平面器件,能够探测1.55~1.75μm(B10)和2.08~2.35μm(B11)两个谱段,由HgCdTe探测器和读出电路组成.HgCdTe探测器像元成品字形排列,且完全对称,如图 3所示;读出电路采用电容反馈跨阻放大器(Capacitive feedback Transimpedance Amplifier,CTIA)结构,与探测器通过铟柱互联.
|
| 图 3 像元分布示意图 Fig. 3 Pixel distribution diagram |
研究发现串扰的主要来源有:HgCdTe探测器导致的串扰[10]和读出电路设计不当[11].HgCdTe探测器对串扰的影响为光串扰和电串扰.分别为探测器内部结构对光串扰的影响和探测器内部关键参数对电串扰的影响.光串扰指的是探测器内部某个光敏元处的光信号经过斜入射、反射、衍射以及波导效应等进入了相邻的光敏元.电串扰是指探测器某光敏元耗尽区的电荷扩散到相邻的光敏元,它和探测器的制作工艺密切相关.读出电路设计不当也会导致串扰现象的产生.
2.1 探测器内部结构对光串扰的影响红外焦平面器件对具体目标成像时,往往存在一定的入射角,入射光经过杜瓦宝石片窗口、真空层、GaAs衬底,进入外延层P区并激发出光生载流子,然后被相应像元PN结结区收集形成光电流.如图 4所示.从光路图可以看出主要存在3种光串扰方式:杜瓦窗口前后表面的多次反射、杜瓦窗口后表面与GaAs衬底前表面的多次反射、GaAs衬底前后表面的多次反射沿横向蔓延[12].
|
| 图 4 红外焦平面阵列斜入射光光路图 Fig. 4 Light path diagram of infrared focal plane devices with oblique incident beam |
如图 5所示,入射光经过GaAs衬底进入P区,大部分光子流在P区被吸收并激发出光生载流子;少部分光子流会透过P区在PN结结区以及N+表面进行吸收并激发出光生载流子,但是由于PN结结区厚度很薄,同时N+表面复合几率较高,PN结区域对光电流的贡献实则很少[13].P区光生载流子朝着不同方向进行扩散,一部分横向扩散至辐照像元PN结结区,被内建电场分开,通过外部电路形成光生电流;另外一部分横向扩散至另一谱段相邻像元,由于这一区域没有外部电路,光生载流子会不断积累,并继续向另一谱段相邻像元PN结结区进行扩散并收集,被其内建电场分开通过外部电路形成光电流,导致另一谱段相邻未被辐照像元存在电串扰;还有一少部分纵向扩散至同一谱段的相邻像元,被PN结结区收集形成电串扰,但这种光串扰较小且可以通过相对辐射校正来消除.
|
| 图 5 HgCdTe探测器PN结平视图 Fig. 5 Plan view of PN junction in HgCdTe detector |
研究发现:像元尺寸越大,电串扰越小;探测器温度升高,电串扰反而减小;衬底外延层越厚,电串扰越大;少子寿命越长,电串扰越大,且逐渐趋于稳定[12]. 2.3 读出电路对串扰的影响
焦平面读出电路是红外焦平面探测器组成的一部分,它不直接参加辐射信号的探测,但它参加探测信号的传输过程,满足探测信号的准确传输是读出电路设计的基本要求.读出电路设计不当也会导致串扰,文献[14]针对一种128像元×128像元双色焦平面读出电路提出了一种串扰抑制设计.由于该红外多光谱相机的两组读出电路共用模拟电源与模拟地,引发两通道的信号发生串扰. 3 串扰校正及评价 3.1 串扰模型建立
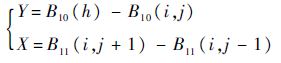
当B11波段实验室定标图像从暗变亮(对应上升沿)或从亮变暗(对应下降沿)时,对B10波段的图像产生负或正冲激,冲激的大小与上升或下降沿的斜率呈正相关,斜率越大,冲激越大,上升沿或下降沿的斜率均是从小变大、再从大变小的规律,在斜率最大处对应冲激值最大.图 6和图 7揭示了两个谱段间相互的串扰影响.可用一元线性函数来描述该关系:
(上升沿)
或
(下降沿)
其中:B10(h)为B10波段亮区的DN值;B10(l)为B10波段暗区的DN值;B10(i,j)为B10波段第i行第j列像元的DN值;B11(i,j+1)为B11波段第i行第j+1列像元的DN值;B11(i,j-1)为B11波段第i行第j-1列像元的DN值;X为B11波段上升或下降沿的斜率;Y为B10波段的对应像元处冲激大小;a和b可用通过一元线性回归获得.
以一幅实验室靶标图像为例给出B11波段图像上升沿/下降沿斜率X与B10波段图像负/正冲激Y之间的定量比例,如表 1所示.
|
| 图 6 B11上升沿对B10产生负冲激 Fig. 6 Ascending edge of B11 produced negative pulse of B10 |
|
| 图 7 B11下降沿对B10产生正冲激 Fig. 7 Descending edge of B11 produced positive pulse of B10 |
| 序号 | 上升沿对应负冲激 | 下降沿对应正冲激 | ||
| X | Y | X | Y | |
| 1 | 10 | 4.3 | 9 | 4.4 |
| 2 | 23 | 7.1 | 22 | 8.9 |
| 3 | 33 | 8.1 | 34 | 12.9 |
| 4 | 34 | 8.4 | 38 | 14.1 |
| 5 | 26 | 8.0 | 34 | 12.1 |
| 6 | 18 | 6.7 | 24 | 7.8 |
| 7 | 9 | 3.8 | 10 | 4.1 |
利用实验室定标图像,统计出B10波段与B11波段图像间的串扰影响规律,对统计数据进行一元线性回归拟合,如图 8所示;得出校正参数,如表 2所示.
|
| 图 8 B11对B10产生的影响 Fig. 8 Impact of B10 from B11 |
| B11对B10的影响 | a | b |
| B11上升沿斜率 | 0.216 | 2.178 |
| B11下降沿斜率 | 0.321 | 1.528 |
利用一元线性回归拟合得到的参数对靶标图像进行补偿.在B11波段图像上升沿位置,对应于B10波段图像负冲激处,校正公式为
在B11波段图像下降沿位置,对应于B10波段图像正冲激处,校正公式为
B10(i,j)cal为校正后B10波段图像的DN值;B10(i,j)raw为校正前B10波段图像的DN值.
校正结果如图 9、图 10所示.
通过对比图 9 (a)和图 9 (b)可以看出,方框内的暗的或亮的竖线被消除.通过对比图 10 (a)和图 10 (b)可以看出,方框内的负冲激或正冲激被消除.两组图像均证明了校正取得了较好效果.利用广义噪声法评价校正后图像的非均匀性[15](见表 3).
|
| 图 9 B10波段靶标图像校正前后对比 Fig. 9 Comparison of B10 target image before and after calibration |
|
| 图 10 B10波段靶标图像校正前后DN值对比 Fig. 10 Comparison of B10 target image DN value before and after calibration |
| B10 | 非均匀性/% | |
| 校正前 | 校正后 | |
| 负冲激处 | 1.42 | 1.18 |
| 正冲激处 | 1.74 | 0.91 |
利用广义噪声法对校正前后的非均匀性进行评价,B10负冲激处校正前非均匀性为1.42%,校正后非均匀性为1.18%;B10正冲激处,校正前非均匀性为1.74%,校正后非均匀性为0.91%均匀性有一定的提升. 4 结 论
1) 导致该红外多光谱相机的图像产生串扰现象的机理有:光串扰、电串扰以及读出电路设计导致的串扰.串扰是3种因素导致的复杂现象.
2) 该红外多光谱相机B10谱段图像的串扰现象,通过标记B11谱段图像上升或下降沿的位置来确定.B10谱段的图像产生负/正冲激值的大小与B11上升/下降沿的斜率呈一元函数关系,利用一元线性回归法拟合得到校正参数并校正图像.
| [1] | Sun J Q, Xiong X X, Madhavan S, et al.Terra MODIS band 27 electronic crosstalk effect and its removal[J].IEEE Transactions on Geoscience and Remote Sensing, 2014, 52(3): 1551-1561. |
| Click to display the text | |
| [2] | Sun J Q, Xiong X X, Li Y H, et al.Evaluation of radiometric improvements with electronic crosstalk correction for Terra MODIS band 27[J].IEEE Transactions on Geoscience and Remote Sensing, 2014, 52(10): 6497-6507. |
| Click to display the text | |
| [3] | Sun J Q, Madhavan S, Wenny B N, et al.Terra MODIS band 27 electronic crosstalk: Cause, impact, and mitigation[C]//Sensors, Systems, and Next-Generation Satellites XV.Bellingham, WA: SPIE, 2011, 81760Z: 1-11. |
| Click to display the text | |
| [4] | Oudrari H, Xiong S X, Che N Z, et al.Sensitivity study for sensor optical and electric cross-talk based on spectral measurements: An application to developmental sensors using heritage sensors such as MODIS[C]//Geoscience and Remote Sensing Symposium(IGRASS).Piscataway, NJ: IEEE Press, 2007: 2856-2859. |
| Click to display the text | |
| [5] | Youn H, Kam S, Han J C, et al.Optical crosstalk in CT detectors and its effects on CT images[C]//Medical Imaging 2014: Physics of Medical of Imaging.Bellingham, WA: SPIE, 2014, 90334V: 1-9. |
| Click to display the text | |
| [6] | Sun Y H, Zhang B, Yu M F.Crosstalk of HgCdTe LWIR n-on-p diode arrays[J].Journal of Semiconductors, 2009, 30(9): 094007-1-094007-4. |
| Click to display the text | |
| [7] | Iwasaki A, Fujisada H, Akao H, et al.Enhancement of spectral separation performance for ASTER/SWIR[C]//Infrared Spaceborne Remote Sensing IX.Bellingham, WA: SPIE, 2002: 42-50. |
| Click to display the text | |
| [8] | Tonooka H, Iwasaki A.Improvement of ASTER/SWIR crosstalk correction[C]//Sensors, Systems, and Next-Generation Satellites VII.Bellingham, WA: SPIE, 2004: 168-179. |
| Click to display the text | |
| [9] | Iwasaki A, Tonooka H.Validation of a crosstalk correction algorithm for ASTER/SWIR[J].IEEE Transactions on Geoscience and Remote Sensing, 2005, 43(12): 2747-2751. |
| Click to display the text | |
| [10] | 苏林, 黄其煜.CMOS图像传感器中的串扰与常用解决方案[J].传感器与微系统, 2008, 27(8): 65-68.Su L, Huang Q Y.Crosstalk in CMOS image sensor and its solutions[J].Transducer and Microsystem Technologies, 2008, 27(8): 65-68(in Chinese). |
| Cited By in Cnki (6) | |
| [11] | 蔡海蛟, 危峻, 李雪.线列探测器推扫成像中的锯齿拖影研究[J].光电技术应用, 2010, 31(2): 300-302. Cai H J, Wei J, Li X.Research on jagged lagging shadow in push-broom imaging with linear sensor array[J].Semiconductor Optoelectronics, 2010, 31(2): 300-302(in Chinese). |
| Cited By in Cnki | |
| [12] | 邱伟成, 王睿, 徐中杰, 等.PV型HgCdTe线阵探测器的光学串扰[J].强激光与粒子束, 2012, 24(10): 2326-2330. Qiu W C, Wang R, Xu Z J, et al.Optical crosstalk of HgCdTe PV linear array detector[J].High Power Laser and Particle Beams, 2012, 24(10): 2326-2330(in Chinese). |
| Cited By in Cnki (3) | |
| [13] | 邓宁, 田立林, 任敏.半导体器件基础[M].北京: 清华大学出版社, 2008: 530-535. Deng N, Tian L L, Ren M.Fundamentals of semiconductor devices[M].Beijing: Tsinghua University Press, 2008: 530-535(in Chinese). |
| [14] | Lu W, Ding R J, Liu X Y, et al.128×128 dual-color ROIC with electrical crosstalk resistant design[C]//5th International Symposium on Advanced Optical Manufacturing and Testing Technologies: Optoelectronic Materials and Devices for Detector, Imager, Display, and Energy Conversion Technology.Bellingham, WA: SPIE, 2010, 76585Z: 1-7. |
| [15] | 胡永富, 张宇烽.空间相机相对辐射定标精度分析[J].航天返回与遥感, 2007, 28(4): 54-57. Hu Y F, Zhang Y F.Analysis of relative radiometric calibration accuracy of space camera[J].Spacecraft Recovery & Remote Sensing, 2007, 28(4): 54-57(in Chinese). |
| Cited By in Cnki (15) |















