Volume 52 Issue 2
Feb.  2026
Turn off MathJax
Article Contents
ZHAO Z L,ZUO L X,QIAN W,et al. Wing maneuvering load control method of high maneuvering aircraft[J]. Journal of Beijing University of Aeronautics and Astronautics,2026,52(2):482-489 (in Chinese) doi: 10.13700/j.bh.1001-5965.2023.0811
Citation: ZHAO Z L,ZUO L X,QIAN W,et al. Wing maneuvering load control method of high maneuvering aircraft[J]. Journal of Beijing University of Aeronautics and Astronautics,2026,52(2):482-489 (in Chinese) doi: 10.13700/j.bh.1001-5965.2023.0811

Wing maneuvering load control method of high maneuvering aircraft

doi: 10.13700/j.bh.1001-5965.2023.0811
Funds:

National Natural Science Foundation of China (11402115)

More Information
  • Corresponding author: E-mail:qianwei@dlut.edu.cn
  • Received Date: 13 Dec 2023
  • Accepted Date: 05 Jul 2024
  • Available Online: 29 Jan 2026
  • Publish Date: 11 Dec 2024
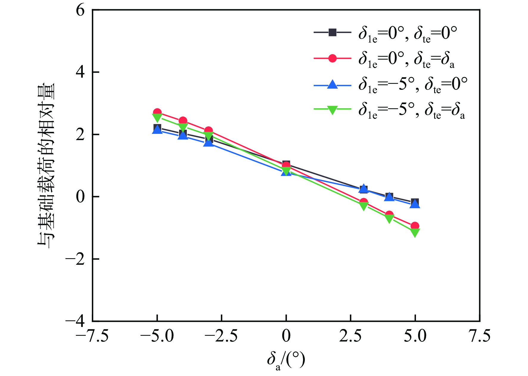
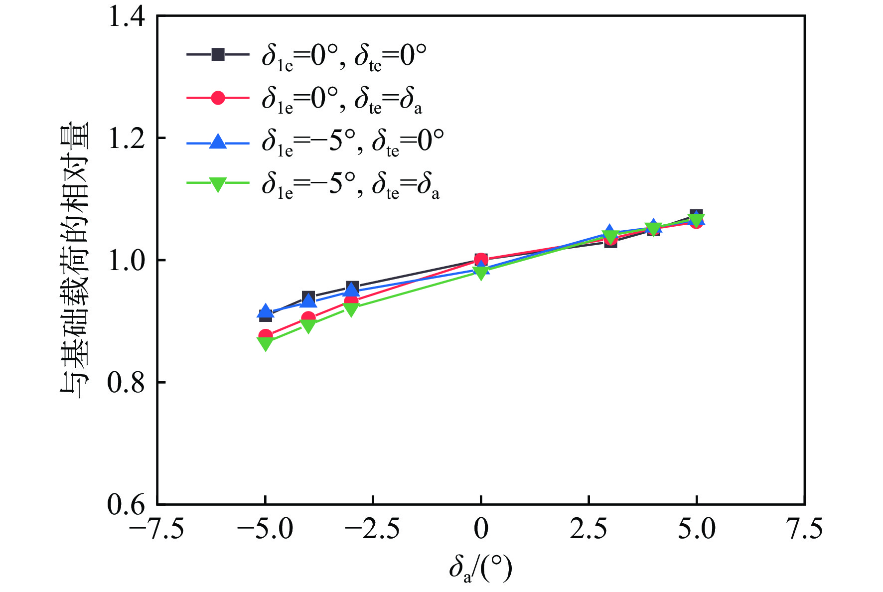
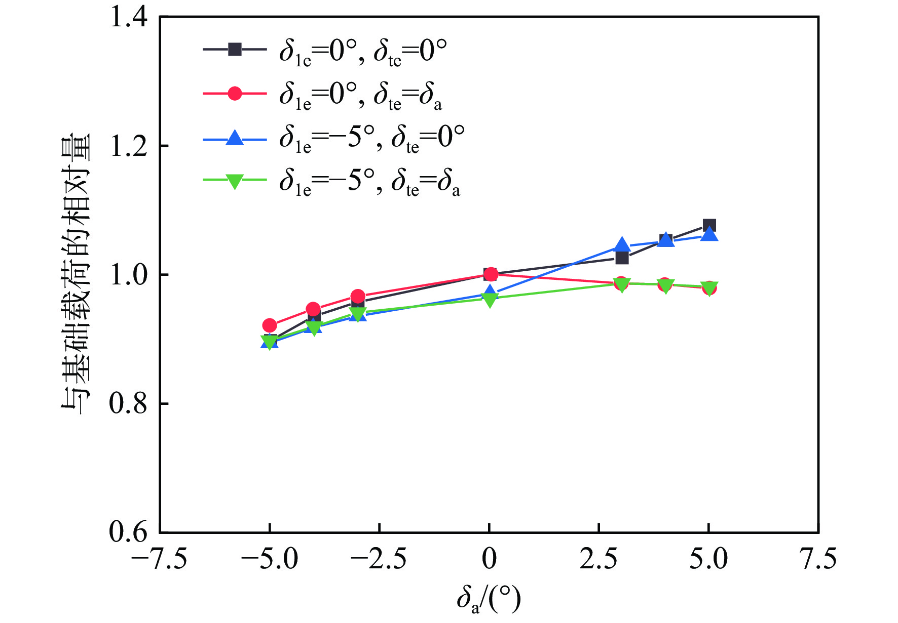
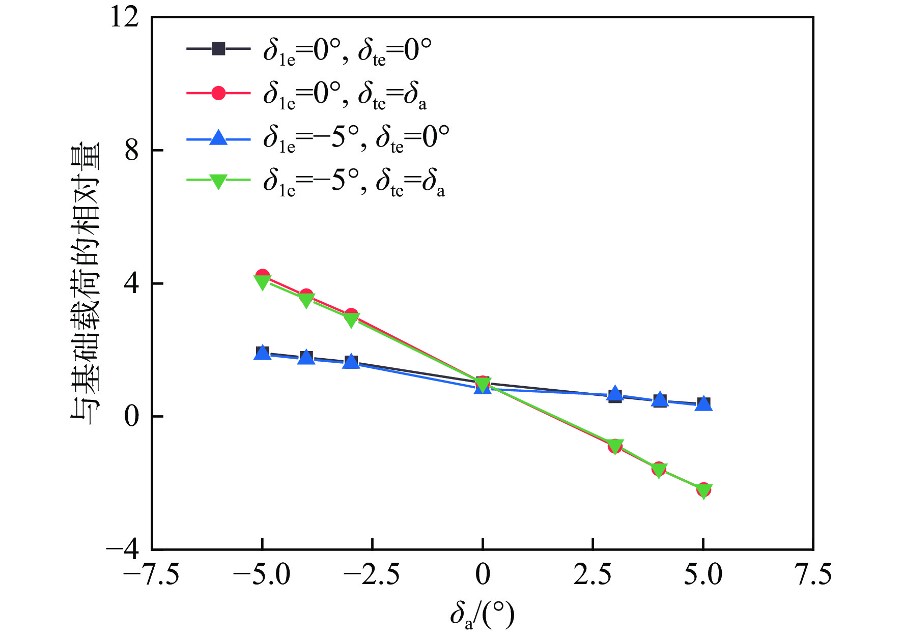
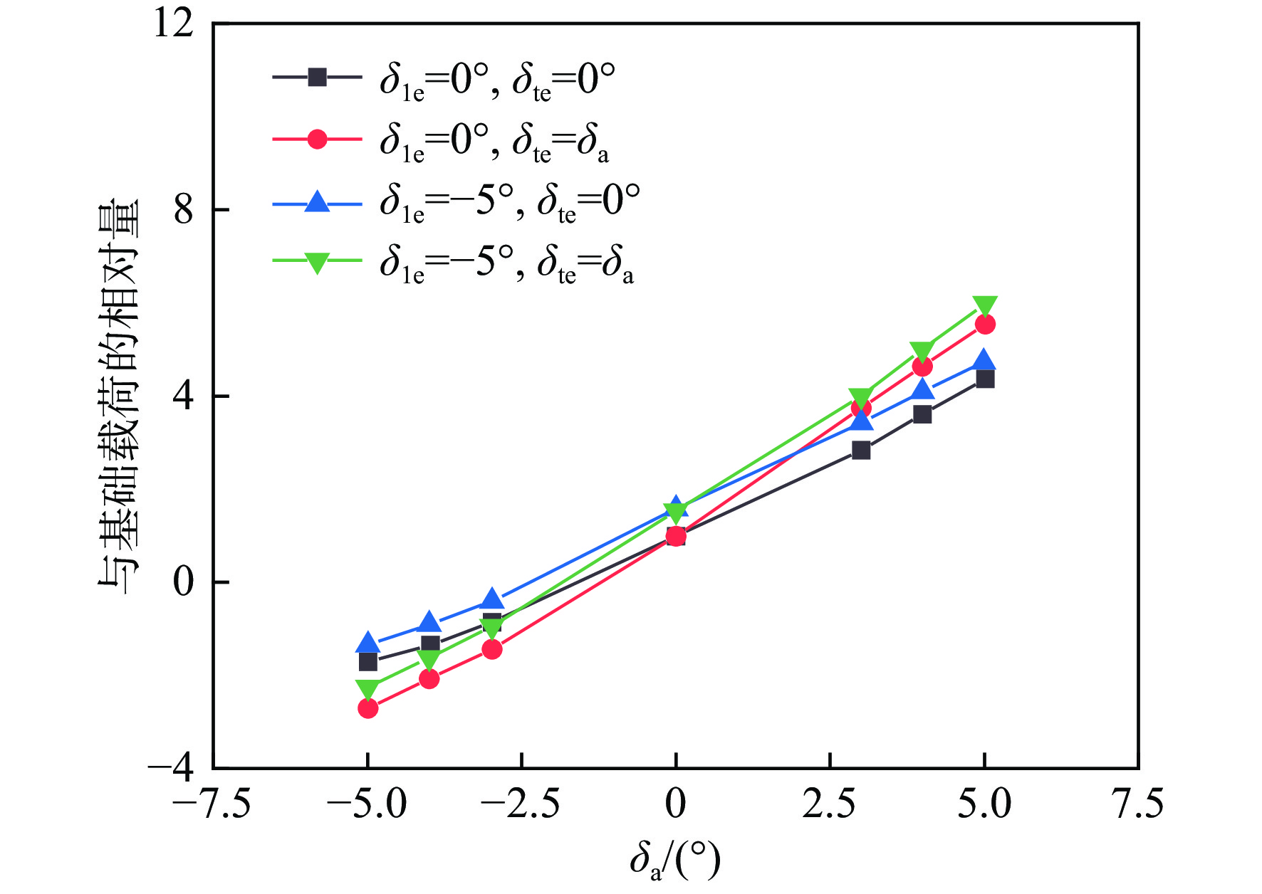
  • For high-maneuverability aircraft, maneuver loads constitute the primary design constraint for airframe structural strength, significantly impacting structural mass and fatigue damage accumulation. To address the requirements for lighter airframes and extended service life, a wing maneuver load control methodology was developed utilizing normal acceleration load factor as the feedback parameter and implementing active control surface deflection. Focusing on typical extreme maneuvers of conventional-configuration high-maneuverability aircraft, an optimal load control strategy was derived through systematic evaluation of wing control surface deflection effects, thereby establishing deflection parameters for subsequent simulations. Comparative analyses of wing maneuver load control effectiveness were conducted for multiple threshold-initiated strategies. Results demonstrate that initiating control at 75% of the maximum normal load factor and applying a 5° deflection command reduces peak wing bending moment by 10%. This approach shows significant potential in reducing structural load-bearing requirements and mitigating fatigue damage in high-maneuverability aircraft, supporting structural integrity enhancement.

     

  • loading
  • [1]
    段静波, 周洲, 王伟, 等. 大展弦比大柔性机翼载荷分布求解的一种方法[J]. 航空学报, 2016, 37(3): 799-809.

    DUAN J B, ZHOU Z, WANG W, et al. A method for aeroelastic load redistribution of very flexible wing with a high-aspect-ratio[J]. Acta Aeronautica et Astronautica Sinica, 2016, 37(3): 799-809(in Chinese).
    [2]
    王伟, 段卓毅, 耿建中, 等. 基于CR理论的大柔性机翼几何非线性结构建模[J]. 航空学报, 2017, 38(S1): 721544.

    WANG W, DUAN Z Y, GENG J Z, et al. Geometrically nonlinear structural model for very flexible wing based on CR theory[J]. Acta Aeronautica et Astronautica Sinica, 2017, 38(S1): 721544(in Chinese ).
    [3]
    陈桂彬, 杨超, 邹丛青. 气动弹性设计基础[M]. 2版. 北京: 北京航空航天大学出版社, 2010: 64-74.

    CHEN G B, YANG C, ZOU C Q. Fundamentals of aeroelastic design [M]. 2rd. Beijing: Beijing University of Aeronautics & Astronautics Press, 2010: 64-74(in Chinese).
    [4]
    郭同彪, 白俊强, 孙智伟, 等. 考虑机翼几何非线性的气动弹性建模与分析[J]. 航空学报, 2017, 38(11): 121351.

    GUO T B, BAI J Q, SUN Z W, et al. Aeroelastic modeling and analysis of wings considering geometric nonlinearity[J]. Acta Aeronautica et Astronautica Sinica, 2017, 38(11): 121351(in Chinese).
    [5]
    蒋余芬, 朱纪洪, 刘世前. 弹性机翼动力学建模与仿真[J]. 系统仿真学报, 2006, 18(S2): 5-7.

    JIANG Y F, ZHU J H, LIU S Q. Dynamics modeling and simulation for flexible wing[J]. Journal of System Simulation, 2006, 18(S2): 5-7(in Chinese).
    [6]
    谭申刚, 万志强. 基于现代优化方法的气动弹性建模与设计技术[J]. 工程力学, 2008, 25(8): 235-240.

    TAN S G, WAN Z Q. Aeroelastic modeling and design technology based on modern optimization methods[J]. Engineering Mechanics, 2008, 25(8): 235-240(in Chinese).
    [7]
    杨超, 许赟, 谢长川. 高超声速飞行器气动弹性力学研究综述[J]. 航空学报, 2010, 31(1): 1-11.

    YANG C, XU Y, XIE C C. Review of studies on aeroelasticity of hypersonic vehicles[J]. Acta Aeronautica et Astronautica Sinica, 2010, 31(1): 1-11(in Chinese).
    [8]
    杜涛, 陈闽慷, 李凰立, 等. 高超声速气动加热关联方法的适应性分析[J]. 宇航学报, 2018, 39(9): 1039-1046.

    DU T, CHEN M K, LI H L, et al. Suitability analysis on correlation relation of aerothermodynamics entry environment for hypersonic flying vehicles[J]. Journal of Astronautics, 2018, 39(9): 1039-1046(in Chinese).
    [9]
    解思适. 飞机设计手册 第9册: 载荷、强度和刚度[M]. 北京: 航空工业出版社, 2001.

    XIE S S. Aircraft design manual - Volume 9: loads, strength and stiffness[M]. Beijing: Aviation Industry Press, 2001(in Chinese).
    [10]
    杨超, 王立波, 谢长川, 等. 大变形飞机配平与飞行载荷分析方法[J]. 中国科学: 技术科学, 2012, 42(10): 1137-1147. doi: 10.1360/ze2012-42-10-1137

    YANG C, WANG L B, XIE C C, et al. Aeroelastic trim and flight loads analysis of flexible aircraft with large deformations[J]. Scientia Sinica Technologica, 2012, 42(10): 1137-1147(in Chinese). doi: 10.1360/ze2012-42-10-1137
    [11]
    PERRY B, COLE S R, MILLER G D. Summary of an active flexible wing program[J]. Journal of Aircraft, 1995, 32(1): 10-15. doi: 10.2514/3.46677
    [12]
    WOODS-VEDELER J A, POTOTZKY A S, HOADLEY S T. Rolling maneuver load alleviation using active controls[J]. Journal of Aircraft, 1995, 32(1): 68-76. doi: 10.2514/3.46685
    [13]
    ALLEN M, LIZOTTE A, DIBLEY R, et al. Loads model development and analysis for the F/A-18 active aeroelastic wing airplane[C]//Proceedings of the AIAA Atmospheric Flight Mechanics Conference and Exhibit. Reston: AIAA, 2005.
    [14]
    邹丛青. 气动弹性剪裁的机理和效益[J]. 复合材料学报, 1989, 6(4): 1-9.

    ZOU C Q. The mechanisms and benefits of aeroelastic tailoring[J]. Acta Materiae Compositae Sinica, 1989, 6(4): 1-9(in Chinese).
    [15]
    吕新波, 高亚奎, 张宏, 等. 大型运输机机动载荷控制方法研究[C]//第二届中国航空学会青年科技论坛文集(第二集). 北京: 中国航空学会, 2006.

    LYU X B, GAO Y K, ZHANG H, et al. Benefits study of large transport maneuver-load control[C]//Proceedings of the Collected Works of the Second Youth Forum of Science and Technology of CSAA. Beijing: Chinese Society of Aeronautics and Astronautics, 2006(in Chinese).
    [16]
    吕旸, 万小朋. 大型飞机机动载荷减缓控制系统设计与仿真[J]. 航空工程进展, 2011, 2(3): 344-348.

    LYU Y, WAN X P. Maneuver load alleviation control system design and simulation for a large aircraft[J]. Advances in Aeronautical Science and Engineering, 2011, 2(3): 344-348(in Chinese).
    [17]
    马界祥. 运输机机动载荷减缓的机翼质量分析研究[J]. 飞机设计, 2010, 30(1): 38-42.

    MA J X. Wing structural weight analysis of transport aircraft with maneuvering load alleviation function[J]. Aircraft Design, 2010, 30(1): 38-42(in Chinese).
    [18]
    秦航远, 吴志刚, 杨超, 等. 滚转机动载荷减缓风洞试验[J]. 北京航空航天大学学报, 2016, 42(9): 2008-2016.

    QIN H Y, WU Z G, YANG C, et al. Wind tunnel test of rolling maneuver load alleviation[J]. Journal of Beijing University of Aeronautics and Astronautics, 2016, 42(9): 2008-2016(in Chinese).
    [19]
    陈磊, 吴志刚, 杨超, 等. 多控制面机翼阵风减缓主动控制与风洞试验验证[J]. 航空学报, 2009, 30(12): 2250-2256.

    CHEN L, WU Z G, YANG C, et al. Active control and wind tunnel test verification of multi-control surfaces wing for gust alleviation[J]. Acta Aeronautica et Astronautica Sinica, 2009, 30(12): 2250-2256(in Chinese).
    [20]
    中国人民解放军总装备部. 军用飞机结构强度规范 第2部分: 飞行载荷: GJB 67.2A—2008[S]. 北京: 中国人民解放军总装备部, 2008.

    General Armaments Department of the People’s Libe . Military airplane structural strength specification. Part 2: Flight loads: GJB 67.2A—2008[S]Beijing: General Armaments Department of the People’s Libe, 2008(in Chinese).
    [21]
    中国人民解放军总装备部. 无人机强度和刚度规范: GJB 5435.2—2005[S]. 北京: 中国人民解放军总装备部, 2005.

    General Armaments Department of the People's Libe . Specification for unmanned aerial vehicles strength and rigidity Part 2: Flight loads: GJB 5435.2—2005[S] Beijing: General Armaments Department of the People's Libe, 2005(in Chinese).
    [22]
    王嘉. 几种典型机动动作的自动飞行仿真研究[D]. 西安: 西北工业大学, 2007: 6-10.

    WANG J. Study on automatic flight simulation of several typical maneuvers[D]. Xi’an: Northwestern Polytechnical University, 2007: 6-10(in Chinese).
    [23]
    胡兆丰, 何植岱, 高浩. 飞行动力学—飞机的稳定性和操纵性[M]. 北京: 国防工业出版社, 1985: 21-29.

    HU Z F, HE Z D, GAO H. Flight dynamics-stability and maneuverability of the aircraft[M]. Beijing: National Defense Industry Press, 1985: 21-29(in Chinese).
    [24]
    GHASSEMIAN R. Evaluation of flight simulation software development tools[D]. Montréal: Concordia University, 2002.
    [25]
    MSC·Nastran (2008). Quick reference guide [Z]. California: MSC. Software, 2008.
    [26]
    赵永辉. 气动弹性力学与控制[M]. 北京: 科学出版社, 2007.

    ZHAO Y H. Aeroelastic mechanics and control[M]. Beijing: Science Press, 2007(in Chinese).
  • 加载中

Catalog

    通讯作者: 陈斌, bchen63@163.com
    • 1. 

      沈阳化工大学材料科学与工程学院 沈阳 110142

    1. 本站搜索
    2. 百度学术搜索
    3. 万方数据库搜索
    4. CNKI搜索

    Figures(19)  / Tables(2)

    Article Metrics

    Article views(33) PDF downloads(1) Cited by()
    Proportional views
    Related

    /

    DownLoad:  Full-Size Img  PowerPoint
    Return
    Return