A resource optimization allocation algorithm for radar networked system for stealth target tracking
-
摘要:
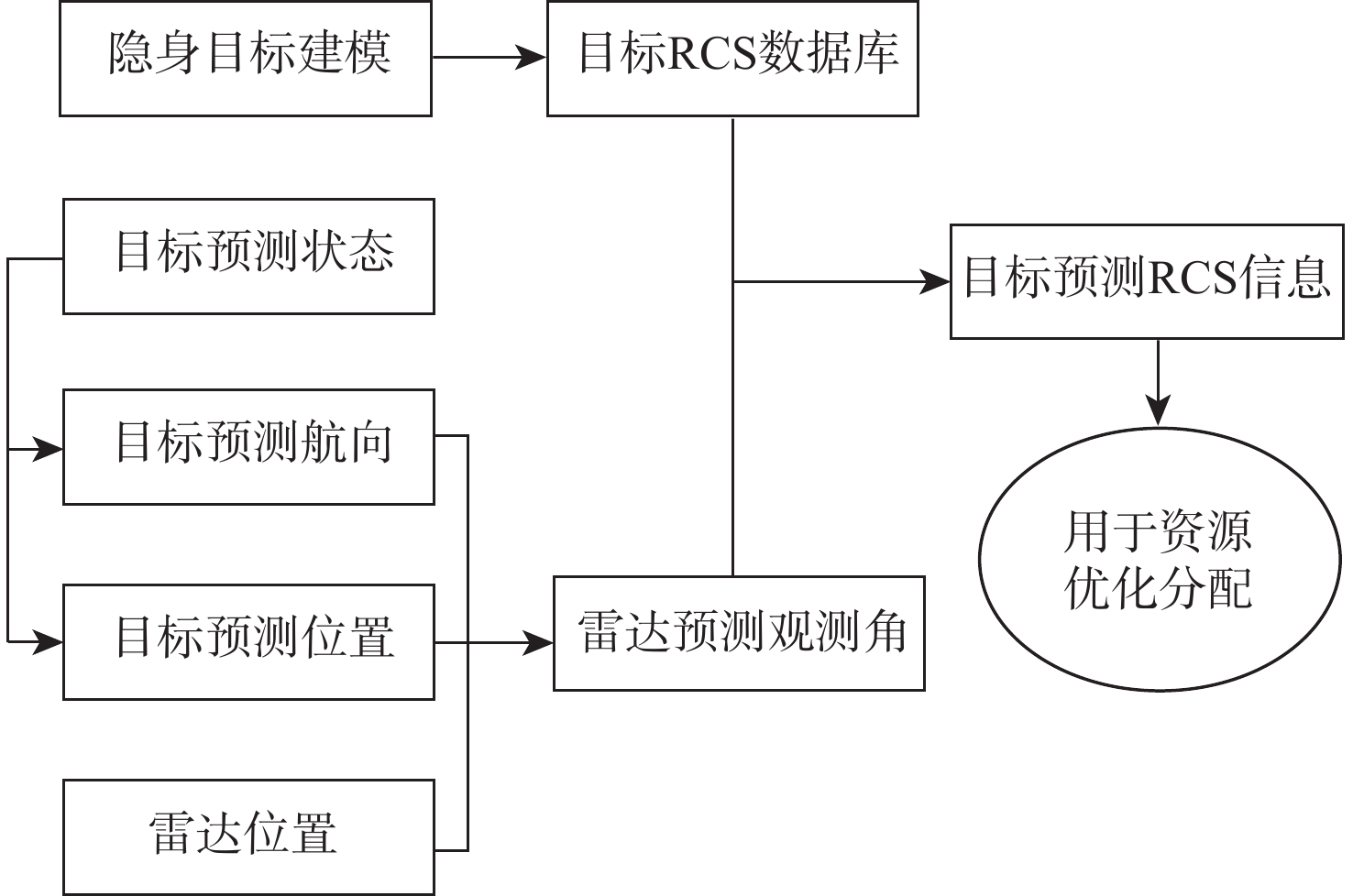
传统集中式多输入多输出(MIMO)雷达组网探测过程中,通常利用雷达散射截面(RCS)统计模型进行资源优化。但隐身目标RCS具有动态起伏特性,这会导致目标跟踪精度下降甚至是目标丢失。针对此问题,提出一种面向隐身目标跟踪的集中式MIMO雷达组网系统波束及功率资源优化分配算法。利用协方差交叉(CI)融合滤波算法对目标状态进行估计,推导CI融合准则下的预测贝叶斯克拉美罗下界(BCRLB);基于目标RCS与雷达预测观测角度相关的特性对目标RCS进行预测,并以各个目标BCRLB加权和为目标函数,建立RCS预测模型下的波束及功率优化算法;设计一种基于贡献度的快速求解算法对模型进行求解。仿真结果表明:在隐身目标RCS动态起伏场景下,相比于RCS统计模型策略,所提算法能有效利用目标RCS信息实现更优的资源分配,进而提升隐身目标跟踪精度。
-
关键词:
- 集中式MIMO雷达组网 /
- 预测贝叶斯克拉美罗下界 /
- 雷达散射截面预测 /
- 快速求解算法 /
- 波束及功率分配 /
- 多目标跟踪
Abstract:Resources are typically optimized using the radar cross section (RCS) statistical model in the detection process of conventional collocated multiple-input multiple-output (MIMO) radar networks. However, the RCS of stealth targets changes dynamically, which can lead to the degradation of target tracking accuracy or even target loss. To address this problem, a collocated MIMO radar networked system resource optimization allocation algorithm for stealth target tracking is proposed. Firstly, the target state is estimated using the covariance intersection (CI) fusion filtering algorithm, and the predicted Bayesian Cramér-Rao lower bound (BCRLB) under the CI fusion criterion is derived. After that, the target RCS is predicted based on the property that the target RCS is related to the radar predicted observation angle, and the objective function is consisted of the weighted sum of individual target BCRLB. Consequently, a beam and power optimization algorithm under the RCS predicted model is established. Subsequently, a contribution-based fast solution algorithm is proposed to solve the model. In comparison to the RCS statistical model strategy, simulation results demonstrate that the proposed algorithm can efficiently use the target RCS information to achieve a better resource allocation, which can increase the accuracy of stealth target tracking, under the stealth target RCS dynamically changing scenario.
-
表 1 雷达发射参数
Table 1. Transmitting parameters of radar
信号有效
带宽$\beta $/MHz信号有效
时宽T/ms波长$\lambda $/
m最小发射
功率${P_{\max }}$最大发射
功率${P_{\min }}$总发射
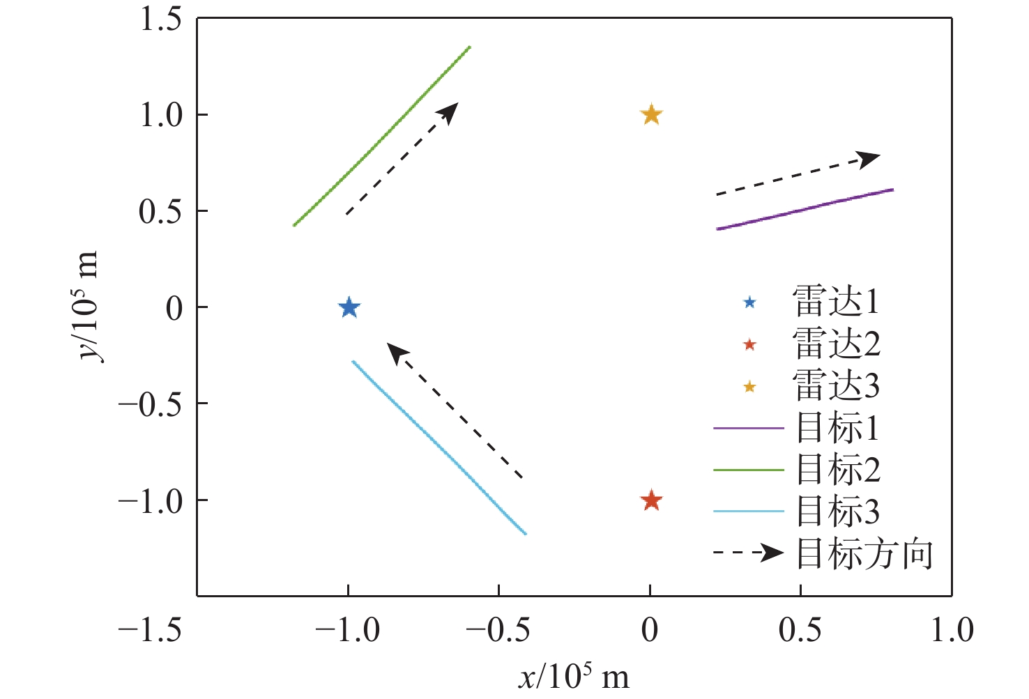
功率${P_{{\text{total}}}}$1 1 0.3 0.2${P_{{\text{total}}}}$ 0.8${P_{{\text{total}}}}$ Ptotal 表 2 目标初始运动参数
Table 2. Parameters of targets motion at initial time
目标 初始位置/km 初始速度/(m·s−1) 1 (20, 40) (100, 30) 2 (−120, 120) (100, 140) 3 (−120, −120) (−100, 140) -
[1] 时晨光, 董璟, 周建江, 等. 飞行器射频隐身技术研究综述[J]. 系统工程与电子技术, 2021, 43(6): 1452-1467.SHI C G, DONG J, ZHOU J J, et al. Overview of aircraft radio frequency stealth technology[J]. Systems Engineering and Electronics, 2021, 43(6): 1452-1467(in Chinese). [2] 王伟伦, 王仲雷. 预警雷达反隐身技术顶层设计[J]. 西北工业大学学报, 2014, 32(6): 956-961.WANG W L, WANG Z L. Top down plan on anti-stealth techniques of fixed early warning radar[J]. Journal of Northwestern Polytechnical University, 2014, 32(6): 956-961(in Chinese). [3] 师俊朋, 胡国平, 李涛. 基于改进灰色关联算法的雷达反隐身能力评估[J]. 哈尔滨工业大学学报, 2015, 47(3): 116-121.SHI J P, HU G P, LI T. Evaluation of anti-stealth ability of radar on improved grey correlation algorithm[J]. Journal of Harbin Institute of Technology, 2015, 47(3): 116-121(in Chinese). [4] 师俊朋, 胡国平, 王馨. 基于证据融合的雷达反隐身性能评估方法[J]. 北京航空航天大学学报, 2015, 41(6): 1095-1101.SHI J P, HU G P, WANG X. Evaluation method for radar anti-stealth performance based on evidence fusion[J]. Journal of Beijing University of Aeronautics and Astronautics, 2015, 41(6): 1095-1101(in Chinese). [5] 桑建华. 飞行器隐身技术[M]. 北京: 航空工业出版社, 2013: 14-15.SANG J H. Low-observable technologies of aircraft[M]. Beijing: Aviation Industry Press, 2013: 14-15(in Chinese). [6] NATHANSON F E. Radar design principles[M]. New York: Mcgraw-Hill Book Company, 1969: 148-152. [7] 时晨光, 王奕杰, 代向荣, 等. 面向目标跟踪的机载组网雷达辐射参数与航迹规划联合优化算法[J]. 雷达学报, 2022, 11(5): 778-793.SHI C G, WANG Y J, DAI X R, et al. Joint transmit resources and trajectory planning for target tracking in airborne radar networks[J]. Journal of Radars, 2022, 11(5): 778-793(in Chinese). [8] 袁野. 面向认知跟踪的无线分布式雷达资源闭环调度方法研究[D]. 成都: 电子科技大学, 2022.YUAN Y. Research on closed-form resource allocation for wireless distributed radars with cognitive tracking[D]. Chengdu: University of Electronic Science and Technology of China, 2022. [9] GODRICH H, PETROPULU A P, POOR H V. Sensor selection in distributed multiple-radar architectures for localization: a knapsack problem formulation[J]. IEEE Transactions on Signal Processing, 2012, 60(1): 247-260. doi: 10.1109/TSP.2011.2170170 [10] 严俊坤, 刘宏伟, 戴奉周, 等. 基于非线性机会约束规划的多基雷达系统稳健功率分配算法[J]. 电子与信息学报, 2014, 36(3): 509-515.YAN J K, LIU H W, DAI F Z, et al. Nonlinear chance constrained programming based robust power allocation algorithm for multistatic radar systems[J]. Journal of Electronics & Information Technology, 2014, 36(3): 509-515(in Chinese). [11] XIE M C, YI W, KIRUBARAJAN T, et al. Joint node selection and power allocation strategy for multitarget tracking in decentralized radar networks[J]. IEEE Transactions on Signal Processing, 2018, 66(3): 729-743. doi: 10.1109/TSP.2017.2777394 [12] YI W, YUAN Y, HOSEINNEZHAD R, et al. Resource scheduling for distributed multi-target tracking in netted colocated MIMO radar systems[J]. IEEE Transactions on Signal Processing, 2020, 68: 1602-1617. doi: 10.1109/TSP.2020.2976587 [13] YUAN Y, YI W, HOSEINNEZHAD R, et al. Robust power allocation for resource-aware multi-target tracking with colocated MIMO radars[J]. IEEE Transactions on Signal Processing, 2020, 69: 443-458. [14] SHI C G, WANG Y J, SALOUS S, et al. Joint transmit resource management and waveform selection strategy for target tracking in distributed phased array radar network[J]. IEEE Transactions on Aerospace and Electronic Systems, 2022, 58(4): 2762-2778. doi: 10.1109/TAES.2021.3138869 [15] DAI J H, YAN J K, LV J D, et al. Composed resource optimization for multitarget tracking in active and passive radar network[J]. IEEE Transactions on Geoscience and Remote Sensing, 2022, 60: 5119215. [16] 黄培康, 殷红成, 许小剑. 雷达目标特性[M]. 2 版. 北京: 电子工业出版社, 2009.HUANG P K, YIN H C, XU X J. Radar target features[M]. 2rd. Beijing: Electronics Industry Press, 2009. [17] 袁俊超, 张小宽, 杜涛, 等. 战术机动对隐身飞机检测概率的影响研究[J]. 微波学报, 2017, 33(2): 83-88.YUAN J C, ZHANG X K, DU T, et al. Study about the effect of tactical maneuver on stealth aircraft detection[J]. Journal of Microwaves, 2017, 33(2): 83-88(in Chinese). [18] INASAWA Y, SAITO M, NAITO I, et al. Numerical calculation and experimental validation of RCS analysis for radome-enclosed scatterer by using PMCHWT-formulation[C]//Proceedings of the URSI General Assembly and Scientific Symposium. Piscataway: IEEE Press, 2011: 1-4. [19] YAN J K, PU W Q, ZHOU S H, et al. Optimal resource allocation for asynchronous multiple targets tracking in heterogeneous radar networks[J]. IEEE Transactions on Signal Processing, 2020, 68: 4055-4068. doi: 10.1109/TSP.2020.3007313 [20] YUAN Y, YI W, KIRUBARAJAN T, et al. Scaled accuracy based power allocation for multi-target tracking with colocated MIMO radars[J]. Signal Processing, 2019, 158: 227-240. doi: 10.1016/j.sigpro.2019.01.014 [21] LI J, STOICA P. MIMO radar with colocated antennas[J]. IEEE Signal Processing Magazine, 2007, 24(5): 106-114. doi: 10.1109/MSP.2007.904812 [22] 齐铖, 谢军伟, 张浩为, 等. 基于目标检测的混合分布式PA-MIMO雷达系统阵元优化部署[J]. 雷达学报, 2023, 12(3): 576-589.QI C, XIE J W, ZHANG H W, et al. Hybrid distributed PA-MIMO radar system model for improved target detection performance[J]. Journal of Radars, 2023, 12(3): 576-589(in Chinese). [23] LI Z J, XIE J W, ZHANG H W, et al. Joint target assignment and power allocation in the netted C-MIMO radar when tracking multi-targets in the presence of self-defense blanket jamming[J]. Defence Technology, 2023, 24: 414-427. doi: 10.1016/j.dt.2023.03.005 [24] YAN J K, JIU B, LIU H W, et al. Prior knowledge-based simultaneous multibeam power allocation algorithm for cognitive multiple targets tracking in clutter[J]. IEEE Transactions on Signal Processing, 2015, 63(2): 512-527. doi: 10.1109/TSP.2014.2371774 [25] 蒋春启, 郑娜娥, 左宗, 等. 突出重点目标跟踪的分布式MIMO雷达阵元选取[J]. 系统工程与电子技术, 2021, 43(10): 2860-2868.JIANG C Q, ZHENG N E, ZUO Z, et al. Antenna selection of distributed MIMO radar on target tracking with key target highlighted[J]. Systems Engineering and Electronics, 2021, 43(10): 2860-2868(in Chinese). [26] XIE M C, YI W, KONG L J, et al. Receive-beam resource allocation for multiple target tracking with distributed MIMO radars[J]. IEEE Transactions on Aerospace and Electronic Systems, 2018, 54(5): 2421-2436. doi: 10.1109/TAES.2018.2818579 [27] NGUYEN N H, DOGANCAY K, DAVIS L M. Adaptive waveform selection for multistatic target tracking[J]. IEEE Transactions on Aerospace and Electronic Systems, 2015, 51(1): 688-701. doi: 10.1109/TAES.2014.130723 [28] 段毅, 谭贤四, 曲智国, 等. 基于临空目标RCS预测的相控阵雷达资源自适应分配方法[J]. 电子与信息学报, 2022, 44(12): 4151-4158.DUAN Y, TAN X S, QU Z G, et al. Adaptive resource management method for phased array radar based on RCS prediction of hypersonic gliding vehicle[J]. Journal of Electronics & Information Technology, 2022, 44(12): 4151-4158(in Chinese). [29] NIEHSEN W. Information fusion based on fast covariance intersection filtering[C]//Proceedings of the 5th International Conference on Information Fusion. Piscataway: IEEE Press, 2002: 901-904. [30] YAN J K, LIU H W, JIU B, et al. Simultaneous multibeam resource allocation scheme for multiple target tracking[J]. IEEE Transactions on Signal Processing, 2015, 63(12): 3110-3122. doi: 10.1109/TSP.2015.2417504 [31] YAN J K, LIU H W, PU W Q, et al. Joint beam selection and power allocation for multiple target tracking in netted colocated MIMO radar system[J]. IEEE Transactions on Signal Processing, 2016, 64(24): 6417-6427. doi: 10.1109/TSP.2016.2607147 -


下载: