留言板

尊敬的读者、作者、审稿人, 关于本刊的投稿、审稿、编辑和出版的任何问题, 您可以本页添加留言。我们将尽快给您答复。谢谢您的支持!

姓名
邮箱
手机号码
标题
留言内容
验证码

高机动飞机机翼机动载荷控制方法

赵卓林 左林玄 钱卫 陈同银 瓮哲 王子安

赵卓林,左林玄,钱卫,等. 高机动飞机机翼机动载荷控制方法[J]. 北京航空航天大学学报,2026,52(2):482-489 doi: 10.13700/j.bh.1001-5965.2023.0811
引用本文: 赵卓林,左林玄,钱卫,等. 高机动飞机机翼机动载荷控制方法[J]. 北京航空航天大学学报,2026,52(2):482-489 doi: 10.13700/j.bh.1001-5965.2023.0811
ZHAO Z L,ZUO L X,QIAN W,et al. Wing maneuvering load control method of high maneuvering aircraft[J]. Journal of Beijing University of Aeronautics and Astronautics,2026,52(2):482-489 (in Chinese) doi: 10.13700/j.bh.1001-5965.2023.0811
Citation: ZHAO Z L,ZUO L X,QIAN W,et al. Wing maneuvering load control method of high maneuvering aircraft[J]. Journal of Beijing University of Aeronautics and Astronautics,2026,52(2):482-489 (in Chinese) doi: 10.13700/j.bh.1001-5965.2023.0811

高机动飞机机翼机动载荷控制方法

doi: 10.13700/j.bh.1001-5965.2023.0811
基金项目: 

国家自然科学基金(11402115)

详细信息
    通讯作者:

    E-mail:qianwei@dlut.edu.cn

  • 中图分类号: V215.1

Wing maneuvering load control method of high maneuvering aircraft

Funds: 

National Natural Science Foundation of China (11402115)

More Information
  • 摘要:

    高机动飞机的机动载荷是机体结构强度主要设计约束,对飞机的机体结构质量和飞行疲劳损伤情况影响较大。面向高机动飞机对更轻机体结构和更长飞行使用寿命的要求,提出以法向过载为反馈参数,通过操纵面动态偏转实施机翼机动载荷控制的方法,以常规布局高机动飞机的典型极限机动为研究对象,综合分析机翼操纵面偏转影响优选了载荷控制策略,并完成了不同门限启动控制策略的机翼机动载荷控制效果仿真分析。结果表明:以75%最大法向过载为启动门限,按选定的策略将操纵面动态偏转5°,即可达到将机翼弯矩峰值降低10%的控制效果,所提方法在降低高机动飞机机体承载能力要求和减轻高机动飞机机体疲劳损伤方面具有重要的应用潜力和前景。

     

  • 图 1  机动载荷仿真分析方法

    Figure 1.  Method for simulating and analyzing dynamic loads

    图 2  机翼载荷影响因素分析

    Figure 2.  Analysis of factors influencing wing loads

    图 3  机翼载荷控制分析方法

    Figure 3.  Method for analyzing wing load control

    图 4  飞机结构有限元模型

    Figure 4.  Finite element model of aircraft structure

    图 5  机体坐标系

    Figure 5.  Aircraft body coordinate system

    图 6  机翼局部坐标系

    Figure 6.  Wing local coordinate system

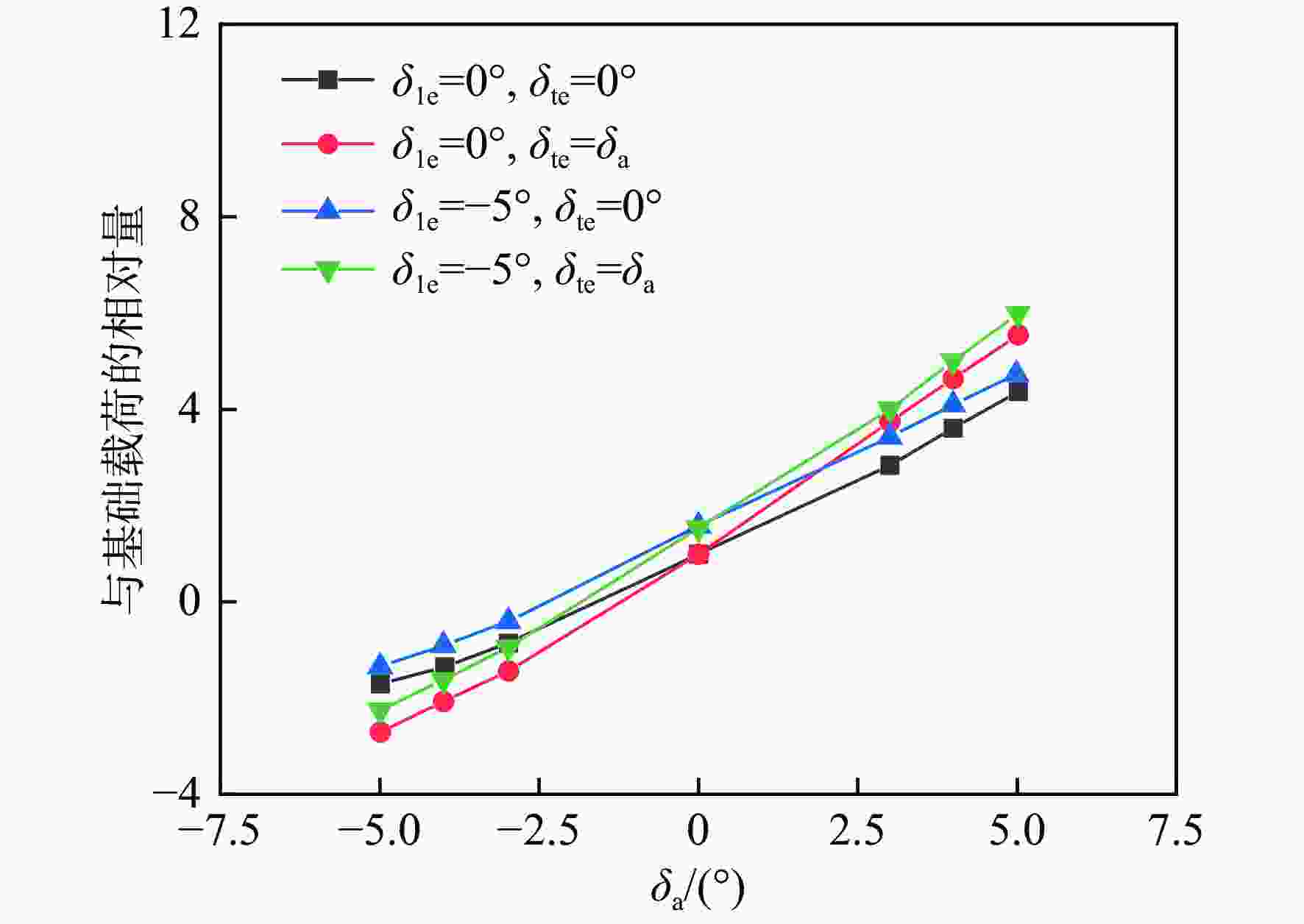
    图 7  机翼根部弯矩随操纵面角度的变化

    Figure 7.  Variation of wing root bending moment with control strategy

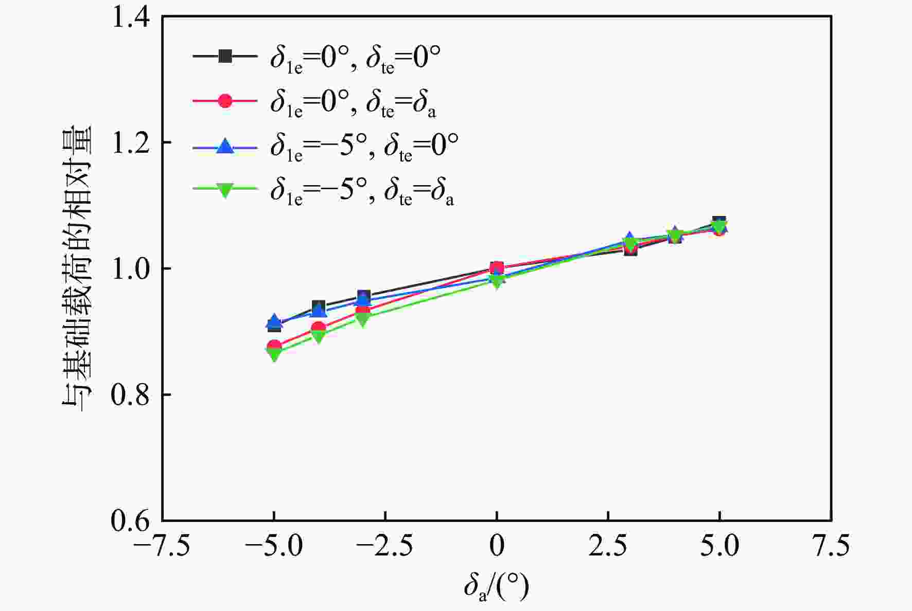
    图 8  机翼中部弯矩随操纵面角度的变化

    Figure 8.  Variation of bending moment in middle of wing with control strategy

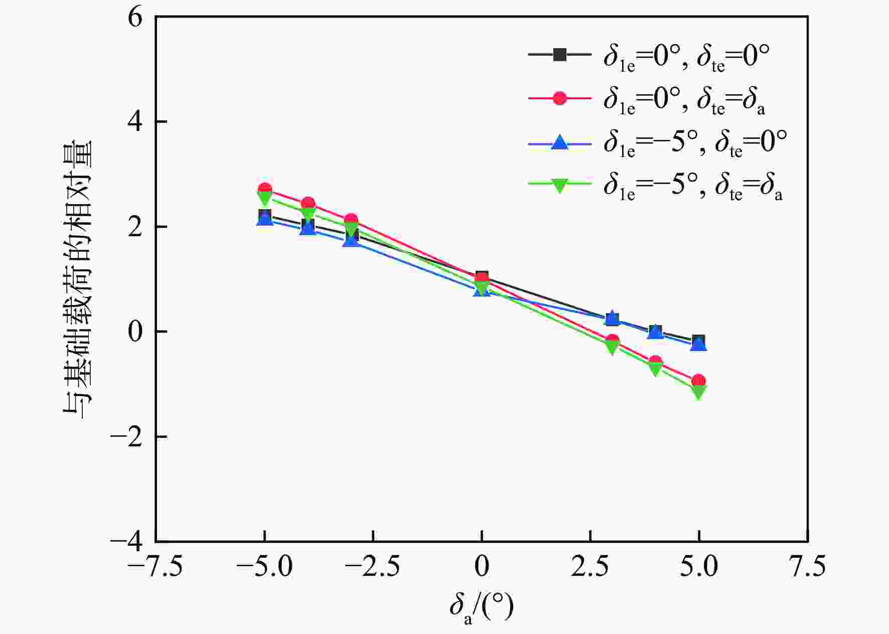
    图 9  右前缘襟翼铰链力矩随操纵面角度的变化

    Figure 9.  Variation of hinge moment of right leading edge flap with control strategy

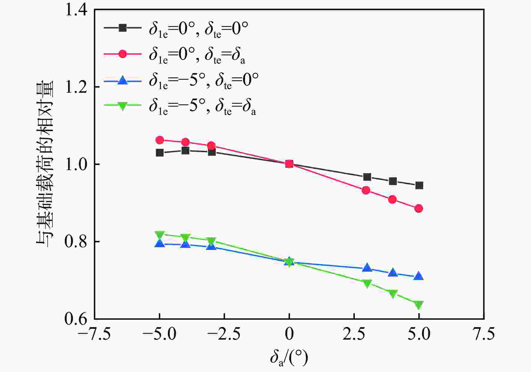
    图 10  左内侧襟副翼铰链力矩随操纵面角度的变化

    Figure 10.  Variation of hinge moment of left inner flap and aileron with control strategy

    图 11  右内侧襟副翼铰链力矩随操纵面角度的变化

    Figure 11.  Variation of hinge moment of right inner flap and aileron with control strategy

    图 12  左外侧副翼铰链力矩随操纵面角度的变化

    Figure 12.  Variation of hinge moment of left outboard aileron with control strategy

    图 13  右外侧副翼铰链力矩随操纵面角度的变化

    Figure 13.  Variation of hinge moment of right outboard aileron with control strategy

    图 14  机动载荷控制逻辑

    Figure 14.  Logic for controlling dynamic loads

    图 15  法向过载时间历程曲线

    Figure 15.  Normal acceleration time history curves

    图 16  滚转角速度时间历程曲线

    Figure 16.  Roll rate time history curves

    图 17  控制面偏转角度时间历程曲线

    Figure 17.  Deflection angle time history curves of control surface

    图 18  右机翼弯矩时间历程曲线

    Figure 18.  Bending moment time history curves of right wing root

    图 19  左机翼弯矩时间历程曲线

    Figure 19.  Bending moment time history curves of left wing root

    表  1  机动载荷计算工况

    Table  1.   Maneuvering load calculation condition

    序号 $ {\mathrm{\delta }}_{\mathrm{l}\mathrm{e}} $/(°) $ {\mathrm{\delta }}_{\mathrm{t}\mathrm{e}} $/(°) $ {\mathrm{\delta }}_{\mathrm{a}} $/(°)
    1 0 0 0
    2 0 0 −5~5
    3 0 −5~5 −5~5
    4 −5 0 0
    5 −5 0 −5~5
    6 −5 −5~5 −5~5
    下载: 导出CSV

    表  2  机翼载荷峰值控制效果与对平尾的影响

    Table  2.   Control effect of wing load peak and its influence on horizontal tail

    序号 工况 机翼载荷相对变化量/% 平尾载荷相对变化量/%
    1 无控制 0 0
    2 门限5g启动 −11.3 2.5
    3 门限6g启动 −10.7 1.8
    4 门限7g启动 −4.5 1.0
    下载: 导出CSV
  • [1] 段静波, 周洲, 王伟, 等. 大展弦比大柔性机翼载荷分布求解的一种方法[J]. 航空学报, 2016, 37(3): 799-809.

    DUAN J B, ZHOU Z, WANG W, et al. A method for aeroelastic load redistribution of very flexible wing with a high-aspect-ratio[J]. Acta Aeronautica et Astronautica Sinica, 2016, 37(3): 799-809(in Chinese).
    [2] 王伟, 段卓毅, 耿建中, 等. 基于CR理论的大柔性机翼几何非线性结构建模[J]. 航空学报, 2017, 38(S1): 721544.

    WANG W, DUAN Z Y, GENG J Z, et al. Geometrically nonlinear structural model for very flexible wing based on CR theory[J]. Acta Aeronautica et Astronautica Sinica, 2017, 38(S1): 721544(in Chinese ).
    [3] 陈桂彬, 杨超, 邹丛青. 气动弹性设计基础[M]. 2版. 北京: 北京航空航天大学出版社, 2010: 64-74.

    CHEN G B, YANG C, ZOU C Q. Fundamentals of aeroelastic design [M]. 2rd. Beijing: Beijing University of Aeronautics & Astronautics Press, 2010: 64-74(in Chinese).
    [4] 郭同彪, 白俊强, 孙智伟, 等. 考虑机翼几何非线性的气动弹性建模与分析[J]. 航空学报, 2017, 38(11): 121351.

    GUO T B, BAI J Q, SUN Z W, et al. Aeroelastic modeling and analysis of wings considering geometric nonlinearity[J]. Acta Aeronautica et Astronautica Sinica, 2017, 38(11): 121351(in Chinese).
    [5] 蒋余芬, 朱纪洪, 刘世前. 弹性机翼动力学建模与仿真[J]. 系统仿真学报, 2006, 18(S2): 5-7.

    JIANG Y F, ZHU J H, LIU S Q. Dynamics modeling and simulation for flexible wing[J]. Journal of System Simulation, 2006, 18(S2): 5-7(in Chinese).
    [6] 谭申刚, 万志强. 基于现代优化方法的气动弹性建模与设计技术[J]. 工程力学, 2008, 25(8): 235-240.

    TAN S G, WAN Z Q. Aeroelastic modeling and design technology based on modern optimization methods[J]. Engineering Mechanics, 2008, 25(8): 235-240(in Chinese).
    [7] 杨超, 许赟, 谢长川. 高超声速飞行器气动弹性力学研究综述[J]. 航空学报, 2010, 31(1): 1-11.

    YANG C, XU Y, XIE C C. Review of studies on aeroelasticity of hypersonic vehicles[J]. Acta Aeronautica et Astronautica Sinica, 2010, 31(1): 1-11(in Chinese).
    [8] 杜涛, 陈闽慷, 李凰立, 等. 高超声速气动加热关联方法的适应性分析[J]. 宇航学报, 2018, 39(9): 1039-1046.

    DU T, CHEN M K, LI H L, et al. Suitability analysis on correlation relation of aerothermodynamics entry environment for hypersonic flying vehicles[J]. Journal of Astronautics, 2018, 39(9): 1039-1046(in Chinese).
    [9] 解思适. 飞机设计手册 第9册: 载荷、强度和刚度[M]. 北京: 航空工业出版社, 2001.

    XIE S S. Aircraft design manual - Volume 9: loads, strength and stiffness[M]. Beijing: Aviation Industry Press, 2001(in Chinese).
    [10] 杨超, 王立波, 谢长川, 等. 大变形飞机配平与飞行载荷分析方法[J]. 中国科学: 技术科学, 2012, 42(10): 1137-1147. doi: 10.1360/ze2012-42-10-1137

    YANG C, WANG L B, XIE C C, et al. Aeroelastic trim and flight loads analysis of flexible aircraft with large deformations[J]. Scientia Sinica Technologica, 2012, 42(10): 1137-1147(in Chinese). doi: 10.1360/ze2012-42-10-1137
    [11] PERRY B, COLE S R, MILLER G D. Summary of an active flexible wing program[J]. Journal of Aircraft, 1995, 32(1): 10-15. doi: 10.2514/3.46677
    [12] WOODS-VEDELER J A, POTOTZKY A S, HOADLEY S T. Rolling maneuver load alleviation using active controls[J]. Journal of Aircraft, 1995, 32(1): 68-76. doi: 10.2514/3.46685
    [13] ALLEN M, LIZOTTE A, DIBLEY R, et al. Loads model development and analysis for the F/A-18 active aeroelastic wing airplane[C]//Proceedings of the AIAA Atmospheric Flight Mechanics Conference and Exhibit. Reston: AIAA, 2005.
    [14] 邹丛青. 气动弹性剪裁的机理和效益[J]. 复合材料学报, 1989, 6(4): 1-9.

    ZOU C Q. The mechanisms and benefits of aeroelastic tailoring[J]. Acta Materiae Compositae Sinica, 1989, 6(4): 1-9(in Chinese).
    [15] 吕新波, 高亚奎, 张宏, 等. 大型运输机机动载荷控制方法研究[C]//第二届中国航空学会青年科技论坛文集(第二集). 北京: 中国航空学会, 2006.

    LYU X B, GAO Y K, ZHANG H, et al. Benefits study of large transport maneuver-load control[C]//Proceedings of the Collected Works of the Second Youth Forum of Science and Technology of CSAA. Beijing: Chinese Society of Aeronautics and Astronautics, 2006(in Chinese).
    [16] 吕旸, 万小朋. 大型飞机机动载荷减缓控制系统设计与仿真[J]. 航空工程进展, 2011, 2(3): 344-348.

    LYU Y, WAN X P. Maneuver load alleviation control system design and simulation for a large aircraft[J]. Advances in Aeronautical Science and Engineering, 2011, 2(3): 344-348(in Chinese).
    [17] 马界祥. 运输机机动载荷减缓的机翼质量分析研究[J]. 飞机设计, 2010, 30(1): 38-42.

    MA J X. Wing structural weight analysis of transport aircraft with maneuvering load alleviation function[J]. Aircraft Design, 2010, 30(1): 38-42(in Chinese).
    [18] 秦航远, 吴志刚, 杨超, 等. 滚转机动载荷减缓风洞试验[J]. 北京航空航天大学学报, 2016, 42(9): 2008-2016.

    QIN H Y, WU Z G, YANG C, et al. Wind tunnel test of rolling maneuver load alleviation[J]. Journal of Beijing University of Aeronautics and Astronautics, 2016, 42(9): 2008-2016(in Chinese).
    [19] 陈磊, 吴志刚, 杨超, 等. 多控制面机翼阵风减缓主动控制与风洞试验验证[J]. 航空学报, 2009, 30(12): 2250-2256.

    CHEN L, WU Z G, YANG C, et al. Active control and wind tunnel test verification of multi-control surfaces wing for gust alleviation[J]. Acta Aeronautica et Astronautica Sinica, 2009, 30(12): 2250-2256(in Chinese).
    [20] 中国人民解放军总装备部. 军用飞机结构强度规范 第2部分: 飞行载荷: GJB 67.2A—2008[S]. 北京: 中国人民解放军总装备部, 2008.

    General Armaments Department of the People’s Libe . Military airplane structural strength specification. Part 2: Flight loads: GJB 67.2A—2008[S]Beijing: General Armaments Department of the People’s Libe, 2008(in Chinese).
    [21] 中国人民解放军总装备部. 无人机强度和刚度规范: GJB 5435.2—2005[S]. 北京: 中国人民解放军总装备部, 2005.

    General Armaments Department of the People's Libe . Specification for unmanned aerial vehicles strength and rigidity Part 2: Flight loads: GJB 5435.2—2005[S] Beijing: General Armaments Department of the People's Libe, 2005(in Chinese).
    [22] 王嘉. 几种典型机动动作的自动飞行仿真研究[D]. 西安: 西北工业大学, 2007: 6-10.

    WANG J. Study on automatic flight simulation of several typical maneuvers[D]. Xi’an: Northwestern Polytechnical University, 2007: 6-10(in Chinese).
    [23] 胡兆丰, 何植岱, 高浩. 飞行动力学—飞机的稳定性和操纵性[M]. 北京: 国防工业出版社, 1985: 21-29.

    HU Z F, HE Z D, GAO H. Flight dynamics-stability and maneuverability of the aircraft[M]. Beijing: National Defense Industry Press, 1985: 21-29(in Chinese).
    [24] GHASSEMIAN R. Evaluation of flight simulation software development tools[D]. Montréal: Concordia University, 2002.
    [25] MSC·Nastran (2008). Quick reference guide [Z]. California: MSC. Software, 2008.
    [26] 赵永辉. 气动弹性力学与控制[M]. 北京: 科学出版社, 2007.

    ZHAO Y H. Aeroelastic mechanics and control[M]. Beijing: Science Press, 2007(in Chinese).
  • 加载中
图(19) / 表(2)
计量
  • 文章访问数:  40
  • HTML全文浏览量:  7
  • PDF下载量:  2
  • 被引次数: 0
出版历程
  • 收稿日期:  2023-12-13
  • 录用日期:  2024-07-05
  • 网络出版日期:  2024-12-11
  • 整期出版日期:  2026-02-28

目录

    /

    返回文章
    返回
    常见问答