Spatial correlation of along-wind fluctuating wind loads on rectangular high-rise buildings
-
摘要:
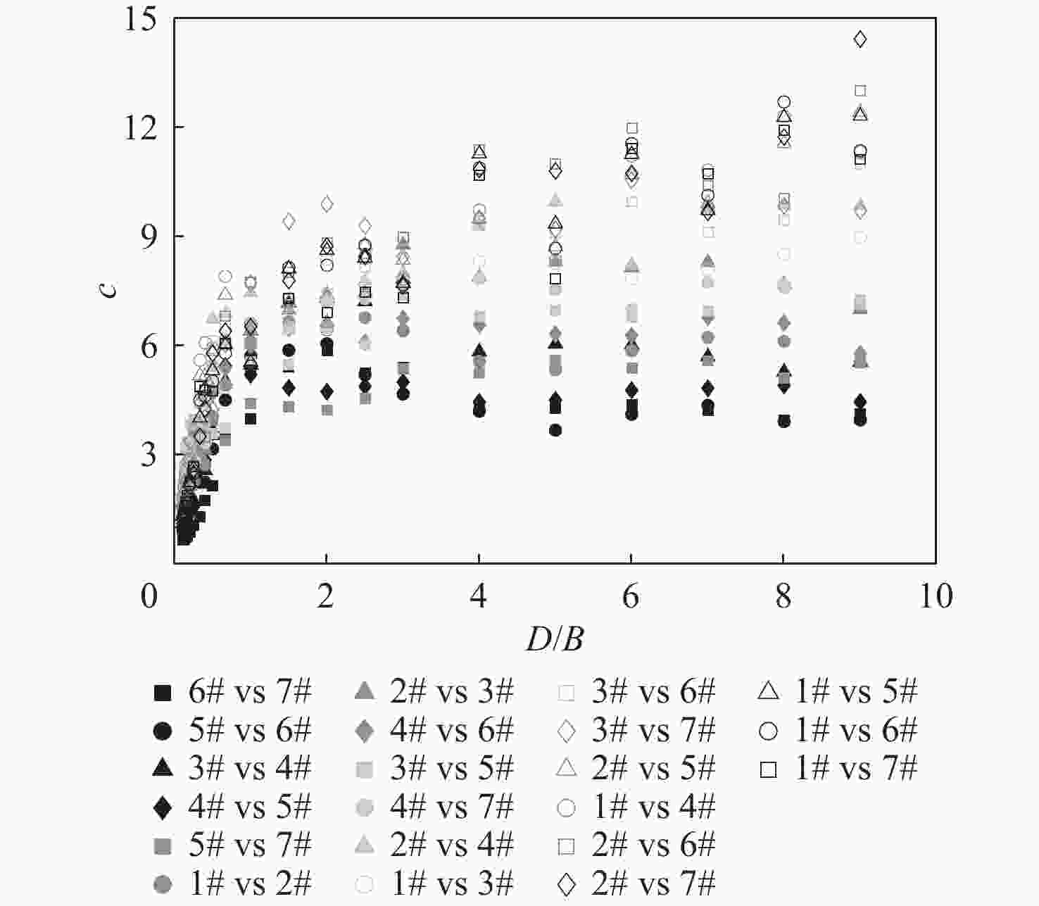
为探讨建筑深宽比和来流湍流特性对矩形高层建筑顺风向脉动风荷载空间相关性的影响,对深宽比为1/9~9的矩形高层建筑在4种风场中进行了同步测压风洞试验。基于试验结果,分析建筑深宽比、湍流强度和湍流积分尺度对顺风向脉动风荷载竖向相关系数和相干函数的影响;通过非线性最小二乘法,拟合得到了适用于深宽比为1/9~9的矩形高层建筑竖向相关性数学模型。结果表明:顺风向脉动风荷载相关系数同时受到建筑深宽比和测点层高差影响,相关系数随测点层高差增大呈指数衰减;顺风向脉动相干函数随频率增大呈指数衰减,且衰减速率与高差和平均风速的比值大致成正比;对于不同深宽比建筑,湍流积分尺度和湍流强度对顺风向脉动风荷载相关性的影响不同;本文针对不同风场提出的矩形高层建筑顺风向脉动风荷载相关系数和相干函数公式和试验结果吻合良好,可为建筑结构设计及荷载规范修订提供参考。
Abstract:To investigate the effects of side ratio and turbulent characteristics on the spatial correlation of along-wind fluctuating wind loads on rectangular tall buildings, synchronization pressure wind tunnel tests for rectangular tall buildings with side ratios ranging from 1/9~9 were carried out in four wind fields. Based on the experimental findings, the coherence function and vertical correlation coefficient of along-wind fluctuating wind loads were examined in relation to the effects of side ratio, turbulence intensity, and turbulence integral scale. The mathematical model of vertical correlation of rectangular high-rise buildings with a side ratio of 1/9~9 was obtained by the nonlinear least square method. The results show that the correlation coefficient of along-wind fluctuating wind load is affected by both the side ratio and separation distance, and decreases exponentially with the increase of separation distance. The along-wind fluctuating coherence function decays exponentially with the increase of frequency, and the decay rate of the coherence function is roughly positively related to the ratio of separation distance to average wind speed. The effects of turbulence integral scale and turbulence intensity on the correlation of along-wind fluctuating wind loads are different for buildings with different side ratios. It can serve as a guide for structural design and load code revision since the coherence functions and correlation coefficients of along-wind fluctuating wind loads on rectangular high-rise buildings suggested in this work correspond well with the experimental data.
-
表 1 试验模型参数
Table 1. Parameters of experiment models
工况 风场类型 深宽比 拼接方式(从左至右) 测压点个数 1 O1 1/9,9 段1,段3,段5,段7,段9,段11,段12,段10,段8,段6,段4,段2 616 2 O1,O2,S1,S2 1/8,8 段1,段3,段5,段7,段9,段11,段10,段8,段6,段4,段2 588 3 O1 1/7,7 段1,段3,段5,段7,段9,段10,段8,段6,段4,段2 560 4 O1 1/6,6 段1,段3,段5,段7,段10,段8,段6,段4,段2 532 5 O1,O2,S1,S2 1/5,5 段1,段3,段5,段7,段8,段6,段4,段2 504 6 O1 1/4,4 段1,段3,段5,段7,段6,段4,段2 420 7 O1,O2,S1,S2 1/3,3 段1,段3,段5,段6,段4,段2 336 8 O1 1/2.5,2.5 段1,段3,段5,段4,段2 294 9 O1,O2,S1,S2 1/2,2 段1,段3,段5,段2 252 10 O1 1/1.5,1.5 段1,段4,段2 210 11 O1,O2,S1,S2 1 段1,段2 168 表 2 典型顺风向相干函数经验公式
Table 2. Empirical formula of typical along-wind coherence function
顺风向相干函数公式 参数取法 $ \text{coh(}{{\textit{z}}}_{i},{{\textit{z}}}_{j},f)=\exp \left(\begin{aligned}-{c}_{{\textit{z}}}\dfrac{f\left| {{\textit{z}}}_{i}-{{\textit{z}}}_{j}\right| }{\overline{U}}\end{aligned}\right) $ $ {c}_{{\textit{z}}}=7, \overline{U}=({\overline{U}}_{i}+{\overline{U}}_{j})/2 $ $ \text{coh(}{{\textit{z}}}_{i},{{\textit{z}}}_{j})=\exp \left(\begin{aligned}-\dfrac{\left| {{\textit{z}}}_{i}-{{\textit{z}}}_{j}\right| }{{L}_{u{\textit{z}}}}\end{aligned}\right) $ $ {L}_{u{\textit{z}}}=60 $ $ \text{coh(}{{\textit{z}}}_{i},{{\textit{z}}}_{j})=\exp \left(-\dfrac{\left| {{\textit{z}}}_{i}-{{\textit{z}}}_{j}\right| }{{L}_{u{\textit{z}}}}\right) $ $ {L}_{u{\textit{z}}}=\sqrt{37\overline{{\textit{z}}}}, \overline{{\textit{z}}}=({{\textit{z}}}_{i}+{{\textit{z}}}_{j})/2 $ $ \text{coh(}{{\textit{z}}}_{i},{{\textit{z}}}_{j},f)=\left(1-\dfrac{{c}_{{\textit{z}}}{f}^{*}\left| {{\textit{z}}}_{i}-{{\textit{z}}}_{j}\right| }{2\overline{U}}\right)\exp \left(-{c}_{{\textit{z}}}\dfrac{{f}^{*}\left| {{\textit{z}}}_{i}-{{\textit{z}}}_{j}\right| }{\overline{U}}\right) $ $ {f}^{*}=\sqrt{{f}^{2}+\left(\dfrac{\overline{U}}{2 \text{π} L}\right)}^{2}, L=1.34{L}_{u} $ $ \text{coh(}{{\textit{z}}}_{i},{{\textit{z}}}_{j},f)=\exp \left(-{c}_{{\textit{z}}}\dfrac{f\left| {{\textit{z}}}_{i}-{{\textit{z}}}_{j}\right| }{\overline{U}}\right) $ $ {c}_{{\textit{z}}}=-2.3\dfrac{\left| {{\textit{z}}}_{i}-{{\textit{z}}}_{j}\right| }{\overline{{\textit{z}}}}+5.1 $ $ \text{coh(}{{\textit{z}}}_{i},{{\textit{z}}}_{j},f)=A\exp \left(-{c}_{{\textit{z}}}\dfrac{f\left| {{\textit{z}}}_{i}-{{\textit{z}}}_{j}\right| }{\overline{U}}\right) $ $ \begin{array}{l}A = {\left\{ 1.0 + 27.4{\left[\left(\dfrac{{\left| {{{\textit{z}}_i} - {{\textit{z}}_j}} \right|}}{{{H_r}}}\right)\bigg/{\left(\dfrac{{\bar {\textit{z}}}}{{{H_r}}}\right)^{1.5}}\right]^{1.64}}\right\} ^{ - 0.253}}\\{c_{\textit{z}}} = 4.22\exp \left( - 1.22{{\left| {{{\textit{z}}_i} - {{\textit{z}}_j}} \right|} / {{H_r}}}\right) + 3.57\exp \left( - 33.9{{\left| {{{\textit{z}}_i} - {{\textit{z}}_j}} \right|} / {{H_r}}}\right)\end{array} $
Hr为梯度风高度$ \text{coh(}{{\textit{z}}}_{i},{{\textit{z}}}_{j},f)=\left(1-\dfrac{\eta \beta (s){f}^{*}\left| {{\textit{z}}}_{i}-{{\textit{z}}}_{j}\right| }{\overline{U}}\right)\exp \left(-\beta (s)\dfrac{{f}^{*}\left| {{\textit{z}}}_{i}-{{\textit{z}}}_{j}\right| }{\overline{U}}\right) $ $ {f}^{*}=\sqrt{{f}^{2}+\left(\dfrac{\overline{U}}{2 \text{π} L}\right)}^{2}, L=1.34{L}_{u} $
$ s=\left| {{\textit{z}}}_{i}-{{\textit{z}}}_{j}\right| {B}^{\alpha /2}/{H}^{1+\alpha /2} $, α为风速剖面指数
β(s)=as2+bs+c, a=−66.26, b=27.39, c=2.354, η=1/3$ \text{coh(}{{\textit{z}}}_{i},{{\textit{z}}}_{j},f)=\exp \left(\begin{aligned}-{c}_{1}\dfrac{f\left| {{\textit{z}}}_{i}-{{\textit{z}}}_{j}\right| }{\overline{U}}+{c}_{2}\dfrac{\left| {{\textit{z}}}_{i}-{{\textit{z}}}_{j}\right| }{\overline{{\textit{z}}}}\end{aligned}\right) $ $ {c}_{1}=1.750,{c}_{2}=2.152 $ ${\rm{coh(}}k',\delta ,s) = [1 - \eta \delta \alpha (s)k']\exp [ - \alpha (s)\delta k'] $ $ k' = {{\sqrt {{f^2} + \left(\dfrac{{\overline U}}{{2 \text{π} L}}\right)} ^2}}\bigg/{{\overline U}},L = [{{\varGamma ({1 / 3})} / {\sqrt {\text{π}} }}({5 / 6})]{L_{ux}} $
$\delta = {{{\left| {{{\textit{z}}_i} - {{\textit{z}}_j}} \right|\bar {\textit{z}}} / {B({B / L})}}^{0.6}} $, $\alpha (s) = a{s^2} + bs + c $
a, b, c, η取值和建筑深宽比有关 -
[1] DAVENPORT A G. Gust loading factors[J]. Journal of the Structural Division, 1967, 93(3): 11-34. [2] SHIOTANI M, AVAI H. Lateral structures of gusts in high winds[C]//Proceedings of the International Conference on the Wind Effect on Buildings and Structures. Cambridge: Cambridge University Press, 1967: 535-555. [3] 中华人民共和国住房和城乡建设部. 建筑结构荷载规范: GB 50009—2012[S]. 北京: 中国建筑工业出版社, 2012.Ministry of Housing and Urban-Rural Development of the People’s Republic of China. Load code for the design of building structures: GB 50009—2012[S]. Beijing: China Architecture & Building Press, 2012(in Chinese). [4] KAREEM A. Synthesis of fluctuating along wind loads on buildings[J]. Journal of Engineering Mechanics, 1986, 112(1): 121-125. [5] KRENK S. Wind field coherence and dynamic wind forces[C]//Proceedings of the IUTAM Symposium on Advances in Nonlinear Stochastic Mechanics. Berlin: Springer, 1996: 269-278. [6] 张建胜, 武岳, 沈世钊. 不同脉动风相干函数对高层建筑风振响应的影响[J]. 振动工程学报, 2009, 22(2): 117-122.ZHANG J S, WU Y, SHEN S Z. Wind-induced response of high-rise buildings analyzed by different coherence functions of gust[J]. Journal of Vibration Engineering, 2009, 22(2): 117-122(in Chinese). [7] European Convention for Construction Steelwork. Recommendation for the calculation of wind effects on buildings and structures: ECCS Technical Committee T12[S]. Brussels: European Convention for Construction Steelwork, 1978. [8] 顾明, 张建国. 高层建筑顺风向脉动荷载相干性研究[J]. 土木工程学报, 2008, 41(11): 18-22.GU M, ZHANG J G. Coherence analysis of along-wind fluctuating loads on high-rise buildings[J]. China Civil Engineering Journal, 2008, 41(11): 18-22(in Chinese). [9] 黄东梅, 朱乐东. 超高层建筑层风力空间相关性数学模型: 综合分析法[J]. 土木工程学报, 2009, 42(8): 26-36.HUANG D M, ZHU L D. Mathematical model of spatial correlation of wind pressure coefficients for super-tall buildings: comprehensive analysis method[J]. China Civil Engineering Journal, 2009, 42(8): 26-36(in Chinese). [10] 黄东梅, 朱乐东. 超高层建筑层风力空间相干函数研究: 分析归纳法[J]. 土木工程学报, 2010, 43(9): 32-39.HUANG D M, ZHU L D. Study on spatial correlation functions of wind loads on a super-tall building: analysis and induction method[J]. China Civil Engineering Journal, 2010, 43(9): 32-39(in Chinese). [11] HUANG D M, ZHU L D, CHEN W, et al. Vertical coherence functions of wind forces and influences on wind-induced responses of a high-rise building with section varying along height[J]. Wind and Structures, 2015, 21(2): 119-158. [12] 曾加东, 李明水, 李少鹏. 矩形高层建筑顺风向脉动风荷载空间相关性[J]. 哈尔滨工业大学学报, 2017, 49(6): 150-155.ZENG J D, LI M S, LI S P. Spatial correlation analysis of fluctuating along-wind loads on high-rise buildings with rectangular section[J]. Journal of Harbin Institute of Technology, 2017, 49(6): 150-155(in Chinese). [13] 邹良浩, 李峰, 梁枢果, 等. 格构式塔架顺风向脉动风荷载空间相关性研究[J]. 湖南大学学报(自然科学版), 2019, 46(7): 96-103.ZOU L H, LI F, LIANG S G, et al. Study on spatial correlation of along-wind fluctuating wind load of lattice tower[J]. Journal of Hunan University (Natural Sciences), 2019, 46(7): 96-103(in Chinese). [14] LI F, ZOU L H, SONG J, et al. Investigation of the spatial coherence function of wind loads on lattice frame structures[J]. Journal of Wind Engineering and Industrial Aerodynamics, 2021, 215: 104675. [15] ZENG J D, LI M S, LI Z G, et al. Spatial correlation of along-wind fluctuating aerodynamic force acting on large aspect-ratio rectangular prisms[J]. Journal of Wind Engineering and Industrial Aerodynamics, 2022, 224: 104951. [16] HOLMES J D, OSONPHASOP C. Flow behind two-dimensional barriers on a roughened ground plane, and applications for atmospheric boundary-layer modelling[C]//Proceedings of the 8th Australasian Fluid Mechanics Conference. Newcastle: NSW, 1983. [17] HO T C E, SURRY D, MORRISH D, et al. The UWO contribution to the NIST aerodynamic database for wind loads on low buildings: Part 1. Archiving format and basic aerodynamic data[J]. Journal of Wind Engineering and Industrial Aerodynamics, 2005, 93(1): 1-30. [18] Engineering Sciences Data Unit. Characteristics of atmospheric turbulence near the ground. Part II: single point data for strong winds (neutral atmosphere): ESDU-85020[S]. London: Engineering Sciences Data Unit, 1985. [19] Engineering Sciences Data Unit. Strong winds in the atmospheric boundary layer. Part I: hourly-mean wind speeds: ESDU-82026[S]. London: Engineering Sciences Data Unit, 1982. [20] Engineering Sciences Data Unit. Characteristics of atmospheric turbulence near the ground. Part II: single point data for strong winds (neutral atmosphere): ESDU-74031[S]. London: Engineering Sciences Data Unit, 1974. [21] HUNT A. Wind-tunnel measurements of surface pressures on cubic building models at several scales[J]. Journal of Wind Engineering and Industrial Aerodynamics, 1982, 10(2): 137-163. [22] 袁家辉, 陈水福, 刘奕. 矩形高层建筑气动基底力矩系数研究[J]. 哈尔滨工业大学学报, 2023, 55(9): 54-62.YUAN J H, CHEN S F, LIU Y. Aerodynamic base moment coefficients of rectangular high-rise buildings[J]. Journal of Harbin Institute of Technology, 2023, 55(9): 54-62(in Chinese). [23] 刘奕. 板式高层建筑风荷载研究[D]. 杭州: 浙江大学, 2019: 28-45.LIU Y. Study on wind load of slab high-rise building[D]. Hangzhou: Zhejiang University, 2019: 28-45(in Chinese). [24] SIMIU E, SCANLAN R H, SACHS P, et al. Wind effects on structures: an introduction to wind engineering and wind forces in engineering[M]. New York: John Wiley & Sons, 1980. -


下载: