Experimental study on multidimensional aerodynamic characteristics of small rotor in tilt transition
-
摘要:
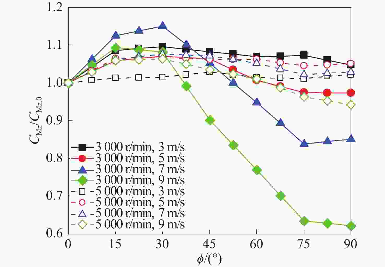
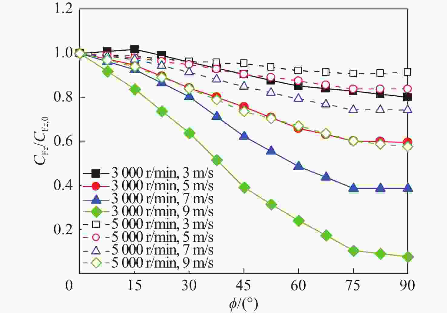
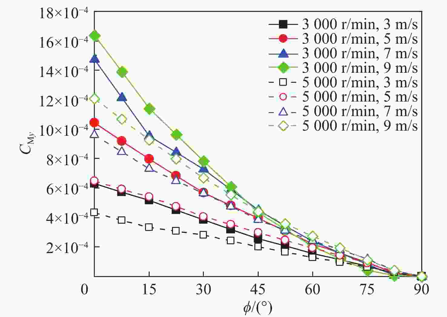
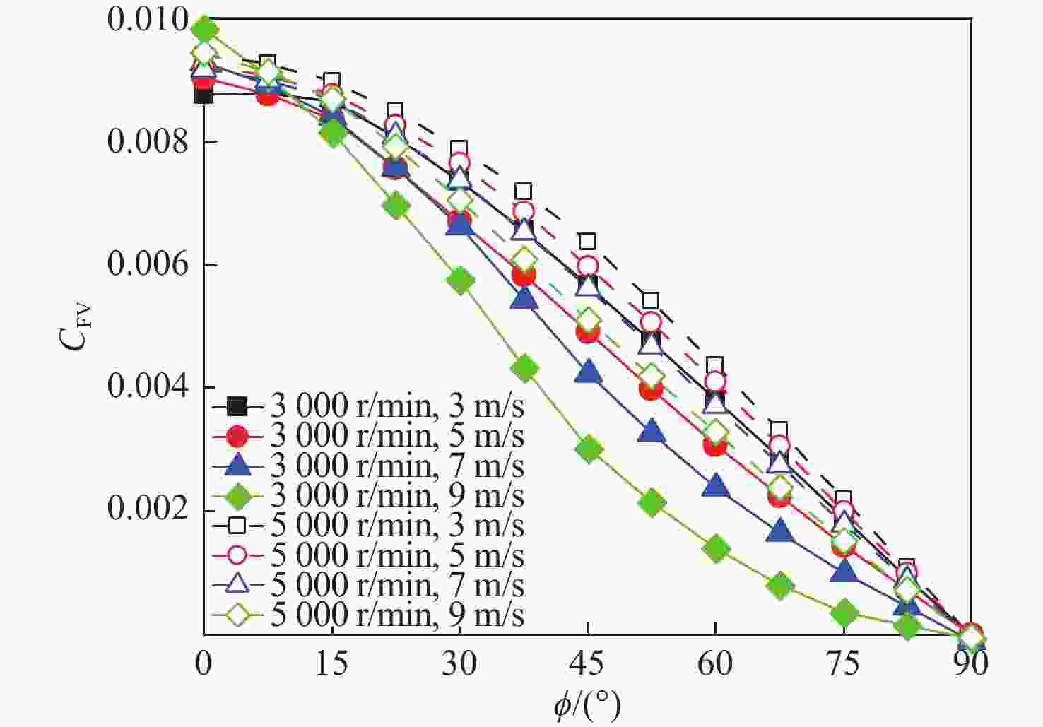
倾转过渡状态是小型倾转旋翼飞行器飞行模式转换的关键飞行阶段,为获取旋翼在倾转过渡时不同倾转姿态下的气动特征,以小型定距旋翼为研究对象,进行了0°~90°范围内各倾转角状态的定常气动试验研究。首先搭建了风扇阵列开口风墙系统,通过五孔探针和热线测量了出口气流品质,并验证了试验方法的可行性。通过高分辨率六分量力/力矩传感器测量旋翼多维气动数据,获取了旋翼在不同来流速度、转速和倾转角组合状态下的气动特征。结果表明:在0°~90°倾转角范围内,倾转角对轴向气动特征的影响与来流速度相关,当来流速度大于5 m/s时,同转速的旋翼轴向拉力随倾转角的增大而降低,轴向扭矩受来流速度的影响,低于轴向拉力。当来流速度高于7 m/s且转速低于
2500 r/min时,易出现局部负拉力现象。旋转平面内水平侧向力与俯仰力矩均随倾转角增大而降低,且倾转前段0°~45°倾转角内两者数值显著高于后半段。地面坐标系下,旋翼垂直升力系数在15°倾转角后均迅速降低,以5000 r/min转速倾转时水平速度对垂直升力系数的影响小于20%;旋翼水平拉力系数在0°~30°倾转区间差别较小,60°后水平拉力增长趋于平缓,其值受转速和来流速度影响较大。Abstract:For tiny tilt-rotor aircraft, the tilt transition mode is a crucial phase of flying during mode switching. To investigate the aerodynamic characteristics of the rotor under different tilt attitudes during the tilt transition process, the steady aerodynamic experiments were conducted in the tilt angle range of 0-90° for a small fixed-pitch rotor. Firstly, a fan-array open-wind-wall system was established to simulate the flow conditions. Using a hot wire and a five-hole probe, the airflow quality was assessed, and the test procedure was confirmed. Multi-dimensional aerodynamic data of the rotor were measured using a high-resolution six-component force/moment sensor, which enabled the acquisition of aerodynamic characteristics under various combinations of air flow speeds, rotational speeds, and tilt angles. The results indicate that the influence of tilt angle on axial aerodynamic characteristics is related to the air flow velocity in the tilt angle range of 0-90°. When the air flow velocity is greater than 5 m/s, the axial thrust decreases with the increase of tilt angle. The axial torque is less affected by the air flow velocity than the axial thrust. Local negative thrust phenomena are more likely to occur under conditions of air flow velocity greater than 7 m/s and rotational speeds below
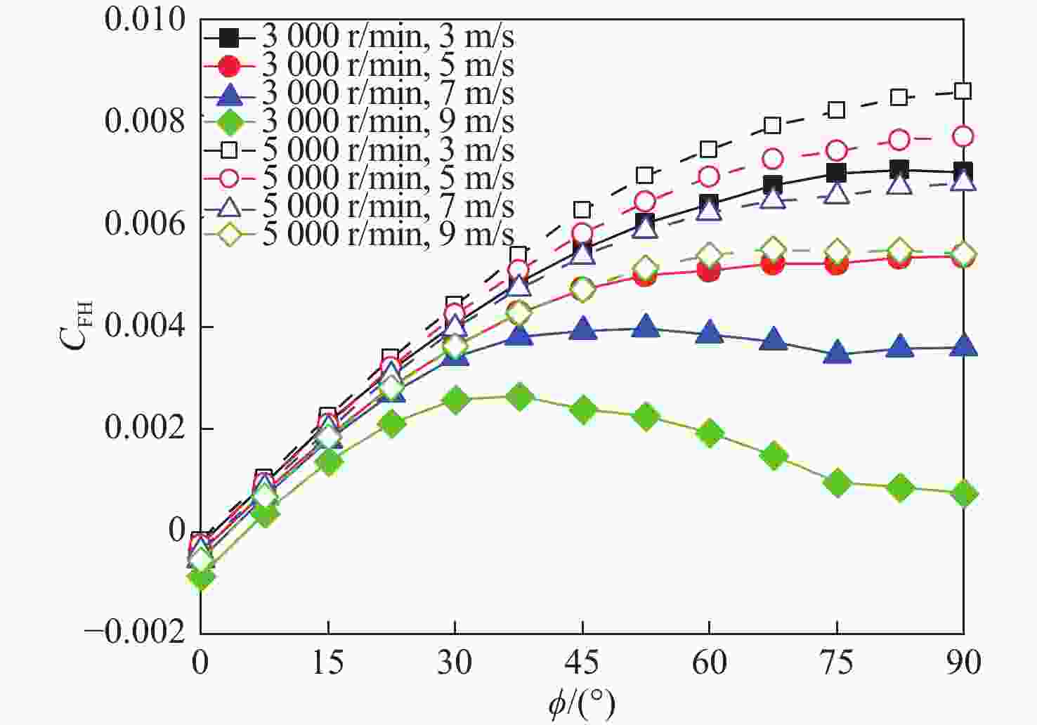
2500 r/min. The horizontal lateral force and pitching moment in the rotating plane decrease with increasing tilt angle, with values in the 0-45° tilt angle being significantly higher than those in the second half. In the ground coordinate system, the rotor's vertical lift coefficient decreases rapidly after 15° tilt angle, and the influence of horizontal velocity on the vertical lift coefficient is less than 20% under the condition of5000 r/min. The horizontal thrust coefficient remains relatively constant between 0° and 30° tilt, and beyond 60° tilt angle, the horizontal thrust increases gradually, with its value being strongly influenced by rotational speed and velocity.-
Key words:
- rotor /
- transition state /
- tilt angle /
- aerodynamic characteristics /
- wind-wall test
-
表 1 截面核心区速度偏差与湍流度统计
Table 1. Velocity and turbulence statistics of core region in cross-section
名义速度/
(m·s−1)平均速度/
(m·s−1)最大速度/
(m·s−1)最小速度/
(m·s−1)平均偏差
RMSE/%湍流度/% 3 3.11 3.32 2.93 5.81 2.51 5 5.01 5.34 4.82 4.63 1.62 7 7.05 7.31 6.81 1.32 1.14 9 9.19 9.60 9.03 1.53 0.85 表 2 低速风洞与风墙的气动拉力试验结果对比
Table 2. Comparison of aerodynamic thrust test results between low-speed wind tunnel and wind wall
来流速度/
(m·s−1)Ω/
(r·min−1)风洞拉力/
N风墙拉力/
N相对误差/% 3 2500 10.248 9.861 3.78 3 5000 56.432 55.179 2.22 5 2500 6.641 6.407 3.53 5 5000 50.581 49.645 1.85 9 2500 1.782 1.727 3.09 9 5000 35.564 35.205 1.90 表 3 试验工况表
Table 3. Experimental conditions table
工况 旋翼转角ϕ/(°) 来流速度/(m·s−1) 旋翼转速Ω/(r·min−1) 范围 0~90 3~9 1000 ~5000 间隔 7.5 2 500 -
[1] 程宇轩, 周洲, 王科雷. 分布式推进垂直起降固定翼的过渡走廊边界研究[J]. 西北工业大学学报, 2022, 40(6): 1195-1203. doi: 10.1051/jnwpu/20224061195CHENG Y X, ZHOU Z, WANG K L. Research on transition corridor boundary of distributed propulsion VTOL fixed wing[J]. Journal of Northwestern Polytechnical University, 2022, 40(6): 1195-1203(in Chinese). doi: 10.1051/jnwpu/20224061195 [2] 夏济宇, 周洲, 王正平, 等. 倾转动力无人机三维过渡走廊[J]. 北京航空航天大学学报, 2024, 50(3): 886-895.XIA J Y, ZHOU Z, WANG Z P, et al. Three-dimensional transition corridor of tilt-propulsion UAV[J]. Journal of Beijing University of Aeronautics and Astronautics, 2024, 50(3): 886-895(in Chinese). [3] 苏子康, 陈嘉, 李雪兵, 等. 四倾转旋翼无人机过渡飞行位姿协调控制[J/OL]. 北京航空航天大学学报, 2024: 1-20. (2024-01-18). https://link.cnki.net/doi/10.13700/j.bh.1001-5965.2023.0622.SU Z K, CHEN J, LI X B, et al. Coordinated control of transition flight position and attitude for quad tilt-rotor UAV[J/OL]. Journal of Beijing University of Aeronautics and Astronautics, 2024: 1-20. (2024-01-18). https://link.cnki.net/doi/10.13700/j.bh.1001-5965.2023.0622(in Chinese). [4] SEDDON J, NEWMAN S. Basic helicopter aerodynamics[M]. 3rd ed. New York: John Wiley&Sons, Ltd, 2011. [5] ACREE C W. Vertical climb testing of a full-scale proprotor on the tiltrotor test rig[C]//vFS Aeromechanics for Advanced Vertical Flight Technical Meeting. San Jose: CA, 2020. [6] BETZINA M D. Rotor performance of an isolated full-Scale XV-15 tiltrotor in helicopter mode[C]//American Helicopter Society Aerodynamics, Acoustics, and Test and Evaluation Technical Specialists Meeting. San Francisco: [s.n.], 2002. [7] KITAPLIOGLU C, BETZINA M, JOHNSON W. Blade-vortex interaction noise of an isolated full-scale XV-15 tilt-rotor[C]//American Helicopter Society 56th Annual Forum Proceedings. Virginia Beach: American Helicopter Society, 1996. [8] YAMAUCHI G K, BURLEY C L, MERCKER E, et al. Flow measurements of an isolated model tilt rotor[C]//Annual Forum Proceedings-American Helicopter Society. Montreal: American Helicopter Society, 1999, 55(1): 891-909. [9] YAMAUCHI G K, JOHNSON W, WADCOCK A J. Vortex wake geometry of a model tilt rotor in forward flight[C]//AHS International Meeting on Advanced Rotorcraft Technology and Life Saving Activities. Tochigi: American Helicopter Society International, 2002. [10] HARRIS F D. Hover performance of isolated proprotors and propellers- Experimental data: NASA/CR-2017-219486[R]. Moffett Field: NASA Ames Research Center, 2017. [11] ACREE C W. Calculation of JVX proprotor performance and comparisons with hover and high-speed test data[C]//AHS Specialist's Conference on Aeromechanics. San Francisco: [s.n.], 2008. [12] CHOI S W, KIM J M. Investigation into the aerodynamic performance of the tiltrotor unmanned aerial vehicle proprotor[J]. Journal of Aircraft, 2010, 47(3): 1083-1086. doi: 10.2514/1.47533 [13] BEAUMIER P, DECOURS J, LEFEBVRE T. Aerodynamic and aero-acoustic design of modern tilt-rotors: the onera experience[C]//26th ICAS Congress. Anchorage: [s.n.], 2008. [14] NARRAMORE J. Advanced technology airfoil development for the XV-15 tilt-rotor vehicle[C]//AIAA and NASA Ames VSTOL Conference. Reston: AIAA, 1981. [15] 张卫国, 唐敏, 武杰, 等. 倾转旋翼机风洞试验综述[J]. 航空学报, 2024, 45(9): 530114.ZHANG W G, TANG M, WU J, et al. Overview of wind tunnel test research on tiltrotor aircraft[J]. Acta Aeronautica et Astronautica Sinica, 2024, 45(9): 530114(in Chinese). [16] 李尚斌, 江露生, 林永峰. 倾转旋翼机悬停状态气动干扰分析[J]. 工程力学, 2024, 41(3): 232-240.LI S B, JIANG L S, LIN Y F. The analysis of aerodynamic interference of tilt rotor aircraft in hover[J]. Engineering Mechanics, 2024, 41(3): 232-240(in Chinese). [17] 陈平剑, 林永峰, 黄水林. 倾转旋翼机旋翼/机翼气动干扰的试验研究[J]. 直升机技术, 2008(3): 107-115.CHEN P J, LIN Y F, HUANG S L. Experimental study on rotor/wing aerodynamic interaction for tilt-rotor aircraft[J]. Helicopter Technique, 2008(3): 107-115(in Chinese). [18] 招启军, 倪同兵, 李鹏, 等. 倾转旋翼机流动机理及气动干扰特性试验[J]. 航空动力学报, 2018, 33(12): 2900-2912.ZHAO Q J, NI T B, LI P, et al. Experiment on flow mechanism and aerodynamic interaction characteristics of tilt-rotor aircraft[J]. Journal of Aerospace Power, 2018, 33(12): 2900-2912(in Chinese). [19] 李春华. 时间准确自由尾迹方法建模及倾转旋翼气动特性分析[D]. 南京: 南京航空航天大学, 2007.LI C H. Modeling on time-accurate free wake method and investigation on aerodynamic characteristics of rotor and tiltrotor[D]. Nanjing: Nanjing University of Aeronautics and Astronautics, 2007(in Chinese). [20] MOORE Z T, SILWAL L, VIJAYARAJ A, et al. Reynolds number effects on the interference factors for a counter-rotating coaxial rotor[C]//AIAA SCITECH 2024 Forum. Reston: AIAA, 2024. [21] WANG K L, ZHOU Z, ZHU X P, et al. Aerodynamic design of multi-propeller/wing integration at low Reynolds numbers[J]. Aerospace Science and Technology, 2019, 84: 1-17. doi: 10.1016/j.ast.2018.07.023 [22] 刘双喜, 林泽淮, 刘伟, 等. 基于INDI的倾转旋翼无人机过渡模式控制方案[J]. 航空学报, 2024, 45(17): 529685.LIU S X, LIN Z H, LIU W, et al. Transition mode control scheme of tilt rotor UAV based on INDI[J]. Acta Aeronautica et Astronautica Sinica, 2024, 45(17): 529685(in Chinese). [23] LIU C, LI B Q, WEI Z Q, et al. Effects of wake separation on aerodynamic interference between rotors in urban low-altitude UAV formation flight[J]. Aerospace, 2024, 11(11): 865. doi: 10.3390/aerospace11110865 -


下载: