Effect pattern of multiple factors on output performance of solar array for stratospheric airships
-
摘要:
太阳电池阵是平流层飞艇实现长期驻空的关键分系统之一。基于此,建立太阳电池阵曲面铺装模型,提出高精度的太阳电池阵输出性能计算方法,仿真分析纬度、日期、飞艇航向等多类因素对太阳电池阵输出性能的影响规律。仿真结果表明:在北半球,辐照条件较好的夏季,纬度对太阳电池阵输出性能的影响相对较小,秋冬两季,纬度对太阳电池阵输出性能的影响较大;日期对太阳电池阵输出峰值功率和日输出总电量均存在重要影响,且中高纬度地区影响更大;低纬度地区,航向对太阳电池阵输出峰值功率的影响很小,对日输出总电量存在一定影响,高纬度地区,航向对太阳电池阵输出峰值功率的影响与日期有关,夏季较小,冬季较大。研究结果为平流层飞艇能源系统设计和总体设计提供了参考。
Abstract:Solar array is a key subsystem for stratospheric airships to achieve long-endurance station-keeping. A curved surface paving model for solar arrays was established, and a high-precision calculation method for the output performance of solar arrays was proposed. The effect patterns of multiple factors, including latitude, date, and heading, on the output performance of solar arrays were simulated and analyzed. Simulation results show that: in the summer of the northern hemisphere with favorable irradiation, the effect of latitude on the output performance of solar arrays is relatively small, while the effect is much greater in autumn and winter. Date has an important effect on the peak output power and total daily output power of solar arrays, especially in regions at middle and high latitudes. In low-latitude regions, the heading has little effect on the peak output power of the solar array, but a certain effect on the total daily output power of the solar array, while in high-latitude regions, the heading’s effect varies with the date, being smaller in the summer and larger in the winter. The findings can provide references for renewable energy system design and the overall design of stratospheric airships.
-
Key words:
- stratospheric airship /
- solar array /
- output performance /
- latitude /
- date /
- heading
-
表 1 主要参数
Table 1. Main parameters
参数 数值 飞艇长度/m 70.0 太阳电池阵面积/m2 500 太阳电池组件宽度/m 0.4 飞艇最大直径/m 20.4 太阳电池光电转化效率 0.08 最大安装角/rad π/2 表 2 不同纬度太阳电池阵日输出总电量
Table 2. Total daily output power of solar array in different latitudes
典型日期 太阳电池阵日输出总电量/(kW·h) 15°N 30°N 45°N 60°N 75°N 85°N 6月21日 376.8 404.8 413.7 414.1 456.7 459.9 7月30日 375.6 388.4 379.0 355.5 378.3 382.0 9月23日 350.0 310.3 249.8 181.5 115.0 66.9 12月22日 280.1 201.3 125.8 51.9 0 0 表 3 不同日期太阳电池阵日输出总电量
Table 3. Total daily output power of solar array on different dates
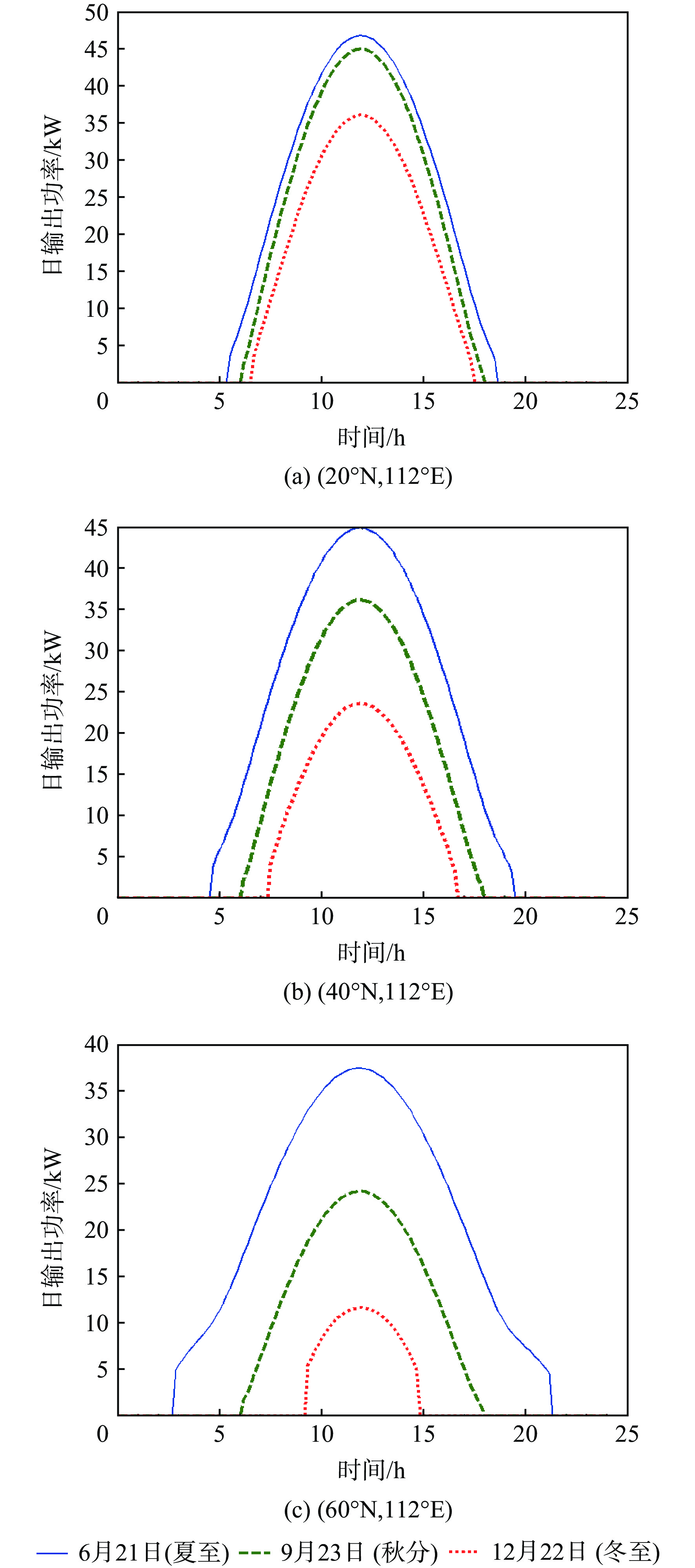
典型地区 太阳电池阵日输出总电量/(kW·h) 6月21日(夏至) 9月23日(秋分) 12月22日(冬至) (20°N,112°E) 388.6 339.3 253.9 (40°N,112°E) 412.5 271.9 159.5 (60°N,112°E) 414.1 249.8 51.9 表 4 不同航向太阳电池阵日输出总电量
Table 4. Total daily output power of solar array in different headings
区域与日期 太阳电池阵日输出总电量/(kW·h) 北向 东向 南向 西向 (20°N,112°E) 6月21日(夏至) 404.6 388.6 400.5 388.6 9月23日(秋分) 353.8 339.3 359.5 339.3 12月22日(冬至) 257.3 253.8 269.7 253.8 (40°N,112°E) 6月21日(夏至) 428.9 412.6 429.9 412.6 9月23日(秋分) 286.9 271.9 297.0 271.9 12月22日(冬至) 137.3 150.5 149.9 150.5 (60°N,112°E) 6月21日(夏至) 430.2 414.1 434.4 414.1 9月23日(秋分) 191.4 181.5 203.6 181.5 12月22日(冬至) 24.5 51.9 30.6 51.9 -
[1] ANDROULAKAKIS S P, JUDY R. Status and plans of high altitude airship (HAATM) program[C]//Proceedings of the AIAA Lighter-Than-Air Systems Technology Conference. Reston: AIAA, 2013. [2] D’OLIVEIRA F A, DE MELO F C L, DEVEZAS T C. High-altitude platforms-present situation and technology trends[J]. Journal of Aerospace Technology and Management, 2016, 8(3): 249-262. doi: 10.5028/jatm.v8i3.699 [3] 杨希祥, 朱炳杰, 邓小龙, 等. Stratobus平流层飞艇项目研究进展与仿真分析[J]. 航空学报, 2021, 42(9): 224579.YANG X X, ZHU B J, DENG X L, et al. Development status and simulation analysis of stratospheric airship Stratobus[J]. Acta Aeronautica et Astronautica Sinica, 2021, 42(9): 224579(in Chinese). [4] BRYA S M. Company tests high-altitude airship over New Mexico desert[EB/OL]. (2022-06-14)[2022-07-22]. https://www.newsnationnow.com/business/tech/company-tests-high-altitude-airship-over-new-mexico-desert/. [5] OZOROSKI T, MAS K, HAHN A. A PC-based design and analysis system for lighter-than-air unmanned vehicles[C]//Proceedings of the 2nd AIAA Ünmanned Unlimited Systems, Technologies, and Operations. Reston: AIAA, 2003. [6] COLOZZA A. Initial feasibility assessment of a high altitude long endurance airship[R]. Washington, D. C.: NASA Glenn Research Center, 2003. [7] 郑威, 宋琦, 李勇, 等. 平流层飞艇太阳电池阵发电功率计算及分析[J]. 宇航学报, 2010, 31(4): 1224-1230. doi: 10.3873/j.issn.1000-1328.2010.04.046ZHENG W, SONG Q, LI Y, et al. Computation and analysis of power generated by the solar cell array of a stratospheric airship[J]. Journal of Astronautics, 2010, 31(4): 1224-1230(in Chinese). doi: 10.3873/j.issn.1000-1328.2010.04.046 [8] ZHANG L C, LI J, JIANG Y, et al. Stratospheric airship endurance strategy analysis based on energy optimization[J]. Aerospace Science and Technology, 2020, 100: 105794. doi: 10.1016/j.ast.2020.105794 [9] 朱炳杰, 杨希祥, 麻震宇, 等. 平流层飞艇太阳电池系统产能分析[J]. 国防科技大学学报, 2019, 41(1): 13-18. doi: 10.11887/j.cn.201901003ZHU B J, YANG X X, MA Z Y, et al. Power analysis of stratospheric airship’s solar array system[J]. Journal of National University of Defense Technology, 2019, 41(1): 13-18(in Chinese). doi: 10.11887/j.cn.201901003 [10] 刘乾石, 徐国宁, 李兆杰, 等. 不规则太阳电池临近空间发电模型构建与分析[J]. 太阳能学报, 2022, 43(7): 73-79.LIU Q S, XU G N, LI Z J, et al. Research and analysis of irregular solar cells power generation model in near space[J]. Acta Energiae Solaris Sinica, 2022, 43(7): 73-79(in Chinese). [11] LI J, LV M Y, TAN D J, et al. Output performance analyses of solar array on stratospheric airship with thermal effect[J]. Applied Thermal Engineering, 2016, 104: 743-750. doi: 10.1016/j.applthermaleng.2016.05.122 [12] LIU Y, DU H F, XU Z Y, et al. Mission-based optimization of insulation layer for the solar array on the stratospheric airship[J]. Renewable Energy, 2022, 191: 318-329. [13] LV M Y, LI J, DU H F, et al. Solar array layout optimization for stratospheric airships using numerical method[J]. Energy Conversion and Management, 2017, 135: 160-169. doi: 10.1016/j.enconman.2016.12.080 [14] KARTHIK REDDY B S, POONDLA A. Performance analysis of solar powered unmanned aerial vehicle[J]. Renewable Energy, 2017, 104: 20-29. doi: 10.1016/j.renene.2016.12.008 [15] DANTSKER O D, THEILE M, CACCAMO M, et al. Integrated power simulation for a solar-powered, computationally-intensive unmanned aircraft[C]//Proceedings of the AIAA Propulsion and Energy Forum. Reston: AIAA, 2021. [16] RAJENDRAN P, SMITH H. Implications of longitude and latitude on the size of solar-powered UAV[J]. Energy Conversion and Management, 2015, 98: 107-114. doi: 10.1016/j.enconman.2015.03.110 [17] FOSTER R, GHASSEMI M, COTA A. Solar energy[M]. Boca Raton: CRC Press, 2010. [18] JUI S H. Solar energy engineering[M]. Upper Saddle River: Prentice-Hall Inc., 1986. [19] KERITH F, KERIDER J F. Numerical prediction of the performance of high altitude balloons[R]. Colorado: National Center for Atmospheric Research, 1974. [20] 王国安, 米鸿涛, 邓天宏, 等. 太阳高度角和日出日落时刻太阳方位角一年变化范围的计算[J]. 气象与环境科学, 2007, 30(增刊1): 161-164.WANG G A, MI H T, DENG T H, et al. Calculation of the change range of the Sun high angle and the azimuth of sunrise and sunset in one year[J]. Meteorological and Environmental Sciences, 2007, 30(Sup 1): 161-164(in Chinese). [21] 贺晓雷, 于贺军, 李建英, 等. 太阳方位角的公式求解及其应用[J]. 太阳能学报, 2008, 29(1): 69-73. doi: 10.3321/j.issn:0254-0096.2008.01.014HE X L, YU H J, LI J Y, et al. An engineering formula solution for the solar azimuth and its application[J]. Acta Energiae Solaris Sinica, 2008, 29(1): 69-73(in Chinese). doi: 10.3321/j.issn:0254-0096.2008.01.014 -


下载: