A non-resonant linear soft-switching DC-DC step-up conversion topology featuring current balancing for aerostat power systems
-
摘要:
临近空间浮空器在通信保障、地质勘探、科学实验等领域得到广泛应用,其电能变换设备因特殊的应用场景,要求具有高效、小型化和轻量化特征,又因浮空器电源中光伏电池的输出侧端口电压较低,直流母线电压较高,研制高效率、高功率密度和高电压增益的直流变换器对临近空间浮空器电源至关重要。在此技术背景下,基于可以实现高增益的箝位电容变换器和非谐振软开关技术,提出一种新型电流均衡非谐振线性(NRL)软开关直流升压变换拓扑。所提拓扑能够实现所有开关管的零电流(ZCS)开通和所有二极管的ZCS关断,同时能够消除因电容充放电导致的器件电流尖峰。通过仿真和硬件试验验证了所提拓扑的有效性和正确性,为临近空间浮空器电源中直流升压电能变换提供了一种新的拓扑选择。
-
关键词:
- 浮空器电源 /
- 直流升压变换器 /
- 非谐振线性软开关技术 /
- 高增益 /
- 拓扑
Abstract:Applications for near-space aerostats are numerous and include scientific experiments, geological exploration, and communication support. The power conversion equipment in these systems must have characteristics like high efficiency, miniaturization, and lightweight construction because of their particular operating environment. The significance of creating a DC-DC converter with high efficiency, high power density, and high voltage gain is highlighted by the low output voltage of the solar cell in the aerostat power system and the high voltage of the DC bus. Thus, using a high gain clamping capacitor converter and non-resonant soft-switching approaches, this work suggests a novel non-resonant linear (NRL) soft-switching DC-DC step-up converter with current balancing. The suggested converter can eliminate the device current spike brought on by charging and discharging capacitors by implementing zero-current-switching (ZCS) turn-on of switches and ZCS turn-off of diodes. Finally, the validity and correctness of the proposed converter are verified by simulation and experiment, which provides a novel topology choice for DC-DC step-up converter in near-space aerostat power systems.
-
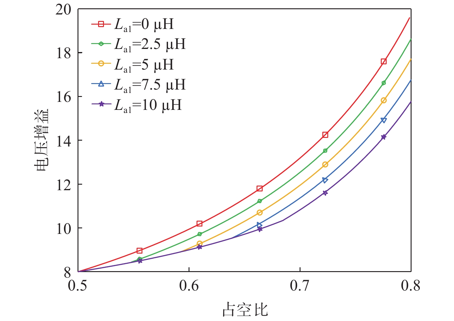
表 1 电流均衡NRL软开关直流升压变换拓扑的电气参数
Table 1. Electric parameters of NRL soft-switching DC-DC step-up converter featuring current balancing
参数 数值 输入电压Vin/V 30 输出电压Vo/V 400 输出功率Po/W 400 开关频率fs/kHz 200 负载RL/Ω 400 电容C1,C2,Co,Ce/μF 20 辅助电感La1,La2/μH 5 电感L1,L2/µH 500 表 2 不同软开关交错型直流升压变换器对比
Table 2. Comparison of different soft-switching interleaved boost-type converters
软开关直流升压变换器 实现软开关的
额外器件开关管S
开通方式开关管S
关断方式二极管D
开通方式二极管D
关断方式是否存在
谐振电流尖峰传统的谐振软开关交错型直流升压变换器[28] Lr1, Lr2, Cr1, Cr2, ZCS 硬关断 ZVS ZVS 是 具有辅助电感的软开关交错型直流升压变换器[29] Lr1, Lr2, Lr3, Lr4 ZVS 硬关断 硬开通 ZCS 是 具有耦合电感的软开关交错型直流升压变换器[30] Lp1, Ls1, Lk1, Lp2, Ls2, Lk2 ZVS 硬关断 ZCS ZCS 否 具有耦合电感的软开关交错型直流升压变换器[31] ZVS 硬关断 ZVS ZCS 所提电流均衡NRL软开关IB-CCS-Ⅱ直流升压变换器 La1, La2 ZCS 硬关断 硬开通 ZCS 否 -
[1] HIGASHIMATA A, ADACHI K, HASHIZUME T, et al. Design of a headway distance control system for ACC[J]. JSAE Review, 2001, 22(1): 15-22. doi: 10.1016/S0389-4304(00)00091-6 [2] 杨秉, 杨健, 李小将, 等. 临近空间飞艇运行环境及其影响[J]. 航天器环境工程, 2008, 25(6): 555-557,498-499. doi: 10.3969/j.issn.1673-1379.2008.06.013YANG B, YANG J, LI X J, et al. The operating environment of near-space and its effects on the airship[J]. Spacecraft Environment Engineering, 2008, 25(6): 555-557,498-499(in Chinese). doi: 10.3969/j.issn.1673-1379.2008.06.013 [3] BADDIPADIGA B P, STRATHMAN S, FERDOWSI M, et al. A high-voltage-gain DC-DC converter for powering a multi-mode monopropellant-electrospray propulsion system in satellites[C]//Proceedings of the IEEE Applied Power Electronics Conference and Exposition. Piscataway: IEEE Press, 2018: 1561-1565. [4] CHOU M C, LIAW C M. PMSM-driven satellite reaction wheel system with adjustable DC-link voltage[J]. IEEE Transactions on Aerospace and Electronic Systems, 2014, 50(2): 1359-1373. doi: 10.1109/TAES.2014.110694 [5] TONG Q, ZHANG D L. Research on a high output current DC/DC converter with wide input voltage range for space applications[C]//Proceedings of the International Conference on Integrated Circuits and Microsystems. Piscataway: IEEE Press, 2016: 205-209. [6] 焦宇晟, 郭形发, 杨帆. 小卫星用高可靠太阳电池阵功率调节技术[J]. 电力电子技术, 2020, 54(1): 79-81.JIAO Y S, GUO X F, YANG F. High reliable power conditioning technology of solar panel for small satellite[J]. Power Electronics, 2020, 54(1): 79-81(in Chinese). [7] ATHALYE P, MAKSIMOVIC D, ERICKSON R. High-performance front-end converter for avionics applications [aircraft power systems[J]. IEEE Transactions on Aerospace and Electronic Systems, 2003, 39(2): 462-470. doi: 10.1109/TAES.2003.1207258 [8] ZHU J J, QIAN Q S, LU S L, et al. A phase-shift triple full-bridge converter with three shared leading legs[J]. IEEE Journal of Emerging and Selected Topics in Power Electronics, 2018, 6(4): 1912-1920. doi: 10.1109/JESTPE.2017.2777964 [9] 章治国, 刘俊良, 郭强, 等. 基于脉冲频率调制的高增益隔离型软开关直流变换器[J]. 电工技术学报, 2019, 34(2): 296-305.ZHANG Z G, LIU J L, GUO Q, et al. A high step-up isolated soft-switching DC-DC converter with pulse frequency modulation[J]. Transactions of China Electrotechnical Society, 2019, 34(2): 296-305(in Chinese). [10] HE P W, KHALIGH A. Comprehensive analyses and comparison of 1 kW isolated DC-DC converters for bidirectional EV charging systems[J]. IEEE Transactions on Transportation Electrification, 2017, 3(1): 147-156. doi: 10.1109/TTE.2016.2630927 [11] REUSCH D, BISWAS S, ZHANG Y Z. System optimization of a high power density non-isolated intermediate bus converter for 48 V server applications[C]//Proceedings of the IEEE Applied Power Electronics Conference and Exposition. Piscataway: IEEE Press, 2018: 2191-2197. [12] PRUDENTE M, PFITSCHER L L, EMMENDOERFER G, et al. Voltage multiplier cells applied to non-isolated DC-DC converters[J]. IEEE Transactions on Power Electronics, 2008, 23(2): 871-887. doi: 10.1109/TPEL.2007.915762 [13] 张兴. 高等电力电子技术[M]. 北京: 机械工业出版社, 2011: 24-27.ZHANG X. Advanced power electronics[M]. Beijing: China Machine Press, 2011: 24-27(in Chinese). [14] FU M F, FEI C, YANG Y C, et al. A GaN-based DC-DC module for railway applications: design consideration and high-frequency digital control[J]. IEEE Transactions on Industrial Electronics, 2020, 67(2): 1638-1647. doi: 10.1109/TIE.2019.2896279 [15] FU M F, FEI C, YANG Y C, et al. Optimal design of planar magnetic components for a two-stage GaN-based DC-DC converter[J]. IEEE Transactions on Power Electronics, 2019, 34(4): 3329-3338. doi: 10.1109/TPEL.2018.2849741 [16] RADZUAN R, MOHD SALLEH M K, HAMZAH M K, et al. Development of thin film capacitors for power system applications by PVD technique[C]//Proceedings of the IEEE Symposium on Humanities, Science and Engineering Research. Piscataway: IEEE Press, 2012: 1097-1100. [17] XIE H Y, LI R. A novel switched-capacitor converter with high voltage gain[J]. IEEE Access, 2019, 7: 107831-107844. doi: 10.1109/ACCESS.2019.2931562 [18] SEEMAN M D, SANDERS S R. Analysis and optimization of switched-capacitor DC-DC converter[C]//Proceedings of the IEEE Workshops on Computers in Power Electronics. Piscataway: IEEE Press, 2006: 216-224. [19] HSIEH Y P, CHEN J F, LIANG T J, et al. Novel high step-up DC-DC converter with coupled-inductor and switched-capacitor techniques[J]. IEEE Transactions on Industrial Electronics, 2012, 59(2): 998-1007. doi: 10.1109/TIE.2011.2151828 [20] BEN-YAAKOV S. Behavioral average modeling and equivalent circuit simulation of switched capacitors converters[J]. IEEE Transactions on Power Electronics, 2012, 27(2): 632-636. doi: 10.1109/TPEL.2011.2171996 [21] EVZELMAN M, BEN-YAAKOV S. Average-current-based conduction losses model of switched capacitor converters[J]. IEEE Transactions on Power Electronics, 2013, 28(7): 3341-3352. doi: 10.1109/TPEL.2012.2226060 [22] ZENG Y B, LI H, WANG W C, et al. Cost-effective clamping capacitor boost converter with high voltage gain[J]. IET Power Electronics, 2021, 13(9): 1775-1786. doi: 10.1049/iet-pel.2019.1291 [23] ZENG Y B, LI H, WANG W C, et al. High-efficient high-voltage-gain capacitor clamped DC-DC converters and their construction method[J]. IEEE Transactions on Industrial Electronics, 2021, 68(5): 3992-4003. [24] XIE W H, LI S X, SMEDLEY K M, et al. A family of dual resonant switched-capacitor converter with passive regenerative snubber[J]. IEEE Transactions on Power Electronics, 2020, 35(5): 4891-4904. doi: 10.1109/TPEL.2019.2945796 [25] TRAN H N, CHOI S. A family of ZVT DC-DC converters with low-voltage ringing[J]. IEEE Transactions on Power Electronics, 2020, 35(1): 59-69. doi: 10.1109/TPEL.2019.2911040 [26] LIN B R, CHEN J J. Analysis and implementation of a soft switching converter with high-voltage conversion ratio[J]. IET Power Electronics, 2008, 1(3): 386-394. doi: 10.1049/iet-pel:20070315 [27] ZENG Y B, LI H, DU H T, et al. Non-resonant soft-switching technique with linear current on switching cycle time-scale for switched-capacitor DC-DC converters[J]. IET Power Electronics, 2022, 15(4): 287-305. doi: 10.1049/pel2.12230 [28] LI H, DU H T, ZENG Y B, et al. A modified interleaved capacitor clamped DC-DC converter with non-resonant soft switching[J]. IEEE Transactions on Power Electronics, 2022, 37(10): 12221-12236. doi: 10.1109/TPEL.2022.3163010 [29] LEI H D, HAO R X, YOU X J, et al. Nonisolated high step-up soft-switching DC-DC converter with interleaving and dickson switched-capacitor techniques[J]. IEEE Journal of Emerging and Selected Topics in Power Electronics, 2020, 8(3): 2007-2021. doi: 10.1109/JESTPE.2019.2958316 [30] MORADISIZKOOHI H, ELSAYAD N, MOHAMMED O A. Ultra-high step-up DC/DC converter based on dual-coupled-inductors with low voltage stress and input current ripple for renewable energy applications[C]//Proceedings of the IEEE Applied Power Electronics Conference and Exposition. Piscataway: IEEE Press, 2019: 2171-2176. [31] KOTHAPALLI K R, RAMTEKE M R, SURYAWANSHI H M, et al. Soft-switched ultrahigh gain DC-DC converter with voltage multiplier cell for DC microgrid[J]. IEEE Transactions on Industrial Electronics, 2021, 68(11): 11063-11075. doi: 10.1109/TIE.2020.3031453 -


下载: