-
摘要:
外形隐身是决定飞行器隐身性能的首要因素,军用飞行器在开展外形设计时需综合考虑气动性能和隐身性能,优化设计时需考虑气动学科和隐身学科的特点。基于Multi-start算法对翼型、布局外形隐身的设计空间特性进行分析,研究结果表明,外形隐身设计是复杂的多峰问题。针对优化问题的多峰性,在经典全局多峰粒子群优化算法的基础上引入局部搜索策略,提出适应值-距离比环形粒子群优化(FER-R3PSO)算法,采用标准函数算例对所提算法的搜索效果进行验证。在此基础上,将全局多峰算法与梯度优化方法结合,提出全局/梯度耦合的气动隐身设计方法,采用飞翼布局气动/隐身优化问题对所提方法的优化效果进行验证。优化结果表明:相对于梯度优化,所提方法能够以较少的计算代价获得气动、隐身特性更加优秀的外形。
Abstract:Shape stealth is the primary factor determining the stealth performance of an aircraft. In the shape design of modern military aircraft, both aerodynamic performance and stealth performance need to be comprehensively considered. Aerodynamic stealth optimization is a complex multimodal problem. Given the high computational cost of global optimization and the tendency of gradient optimization to fall into local optima, an optimal design method combining global multimodal optimization for airfoils and gradient optimization for layouts is proposed. To address the insufficient local search capability of the classical multimodal particle swarm optimization algorithm, the fitness-euclidean distance ratio ring topology local-best particle swarm optimization (FER-R3PSO) algorithm is introduced by combining the ring topology particle swarm optimization algorithm with the fitness-euclidean distance particle swarm optimization algorithm, which enhances the local search capability of the classical multimodal particle swarm optimization algorithm. To combine the multimodal search algorithm with surrogate models and reduce the computational burden of using the multimodal algorithm in engineering applications, a surrogate model point addition strategy and a peak extraction method suitable for the multimodal search algorithm are proposed. Function tests, airfoil stealth optimization, and standard aerodynamic examples are used to verify the effectiveness of the multimodal algorithm. The global/gradient coupling design for the flying wing layout is proposed, and aerodynamic stealth optimization based on the adjoint method is carried out using the three-dimensional shape obtained through global multimodal algorithm optimization of the airfoil assembly as the initial stage. The optimization results show that, compared to gradient optimization, the proposed method can achieve a shape with superior aerodynamic and stealth characteristics at a lower computational cost.
-
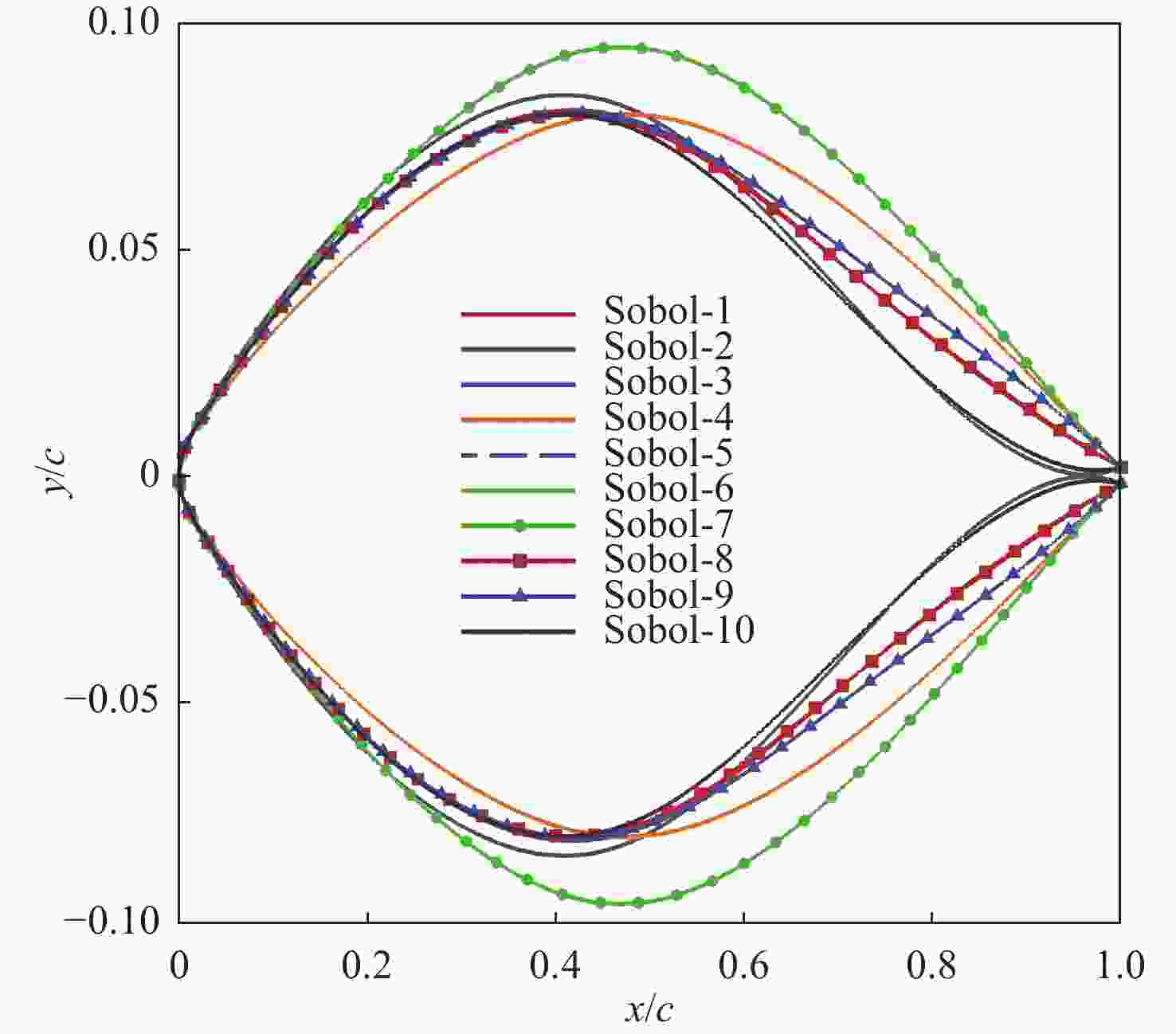
表 1 Multi-start梯度优化结果
Table 1. Multi-start gradient optimization results
结果编号 10lg(${\sigma _{{\mathrm{ave}}}} $)/m2 tmax NACA65016 13.410 0.0016 Sobol-1 −20.454 0.1618 Sobol-2 −20.715 0.1686 Sobol-3 −21.004 0.1607 Sobol-4 −20.892 0.1601 Sobol-5 −21.004 0.1607 Sobol-6 −20.828 0.1899 Sobol-7 −20.828 0.1899 Sobol-8 −20.635 0.1600 Sobol-9 −21.005 0.1606 Sobol-10 −19.383 0.1600 注:相同颜色认为属于同一峰值。 表 2 Multi-start初始外形RCS和优化外形RCS
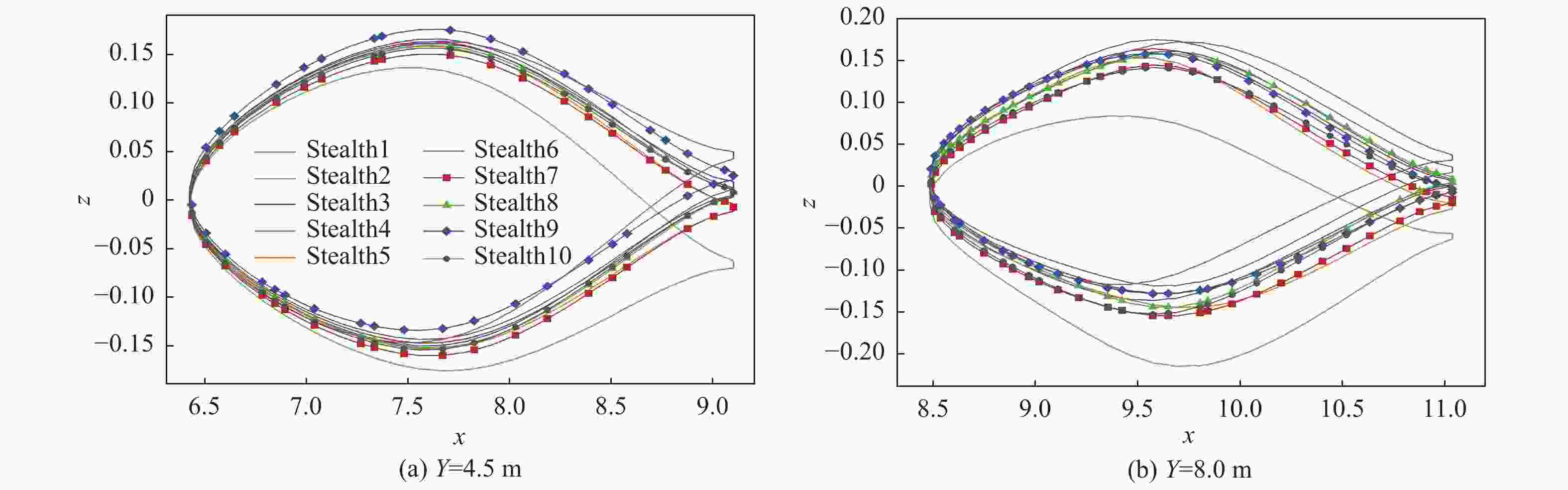
Table 2. RCS of multi-start initial and optimized geometries
编号 初始${\sigma _{{\mathrm{ave}}}} $/m2 优化${\sigma _{{\mathrm{ave}}}} $/m2 Stealth1 2.5000 1.6840 Stealth2 2.5168 1.6790 Stealth3 2.6127 1.6713 Stealth4 2.4063 1.6777 Stealth5 2.3854 1.6890 Stealth6 2.6902 1.7069 Stealth7 2.5695 1.6796 Stealth8 2.3834 1.6710 Stealth9 2.5077 1.7039 Stealth10 2.4184 1.6785 表 3 CEC2015测试函数性质及测试参数设置
Table 3. CEC2015 test function properties and parameter settings
编号 维度 全局/局部最优 最优值 粒子数 MaxFES F1 5 1/15 100 100 40000 10 1/55 200 150000 F2 2 4/21 200 100 20000 5 32/0 150 56600 8 256/0 200 256000 F3 2 25/0 300 100 20000 3 125/0 200 67200 4 625/0 800 200000 F4 5 1/15 400 60 40000 10 1/55 150 149700 20 1/210 200 581200 F5 2 25/0 500 100 20000 3 125/0 200 67200 4 625/0 800 200000 F6 4 16/0 600 100 32000 6 64/0 200 96000 8 256/0 400 256000 F7 6 8/0 700 100 34000 10 32/0 150 113280 16 256/0 200 512000 F8 2 36/0 800 100 24000 3 216/0 250 88320 4 1296 /01200 288000 表 4 CEC2015测试函数评估结果
Table 4. CEC2015 function test results
编号 维度 NPF PR R3PSO FER-R3PSO R3PSO FER-R3PSO F1 5 44 44 0.8627 0.8627 10 3 3 0.0588 0.0588 F2 2 204 204 1.0000 1.0000 5 488 539 0.2990 0.3284 8 286 304 0.0219 0.0233 F3 2 1077 1097 0.8447 0.8604 3 2524 2675 0.3959 0.4196 4 6127 7392 0.1922 0.2319 F4 5 20 21 0.3922 0.4118 10 0 0 0 0 F5 2 1035 1064 0.8118 0.8345 3 2462 2677 0.3862 0.4199 4 6072 7024 0.1905 0.2204 F6 4 475 579 0.5821 0.7096 6 850 1216 0.2604 0.3725 8 1434 2055 0.1098 0.1574 F7 6 338 366 0.8284 0.8971 10 504 587 0.3088 0.3597 16 485 506 0.0371 0.0388 F8 2 678 697 0.3693 0.3796 3 1614 1856 0.1465 0.1685 4 3733 4589 0.0565 0.0694 表 5 NACA65016外形全局/梯度优化结果
Table 5. Global and gradient optimization results of NACA65016 airfoil
结果编号 CD ${\sigma _{{\mathrm{ave}}}} $/m tmax CM NACA65016 0.007758 0.045612 0.1600 − 0.0064 GlobalOpt1 0.007840 0.005006 0.1600 0.0500 GradOpt1 0.007837 0.003848 0.1601 0.0503 GlobalOpt2 0.007793 0.005540 0.1600 0.0500 GradOpt2 0.007793 0.005540 0.1600 0.0500 GlobalOpt3 0.007841 0.004855 0.1600 0.0500 GradOpt3 0.007840 0.004855 0.1600 0.0500 表 6 类X47B外形气动隐身优化结果
Table 6. Aero/stealth optimization results of X47B geometry
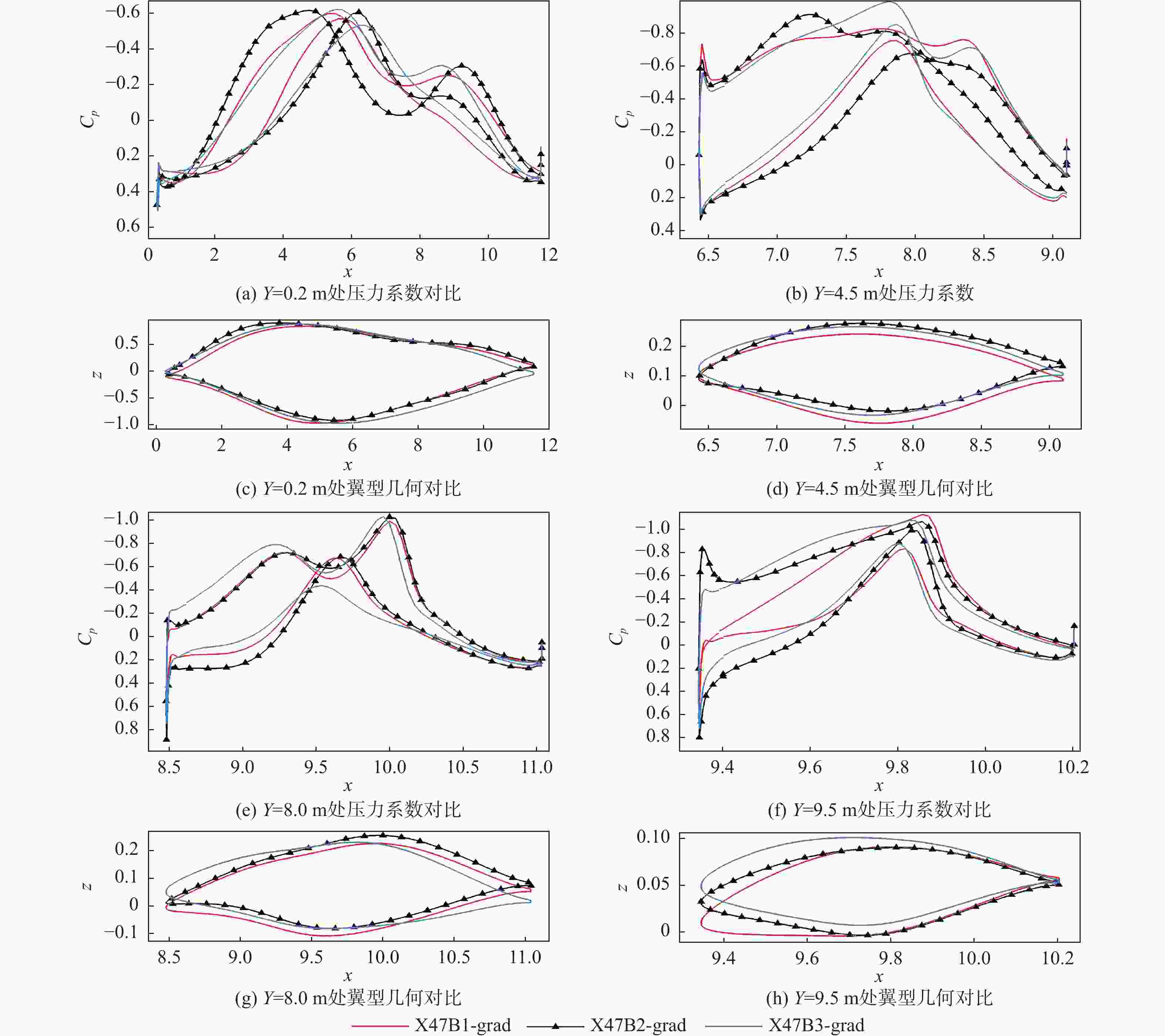
外形 CD CM ${\sigma _{{\mathrm{ave}}}} $/m2 X47B基础外形 0.019665 − 0.026167 3.79510 AS128-Bezier 0.015582 − 0.040593 0.54040 X47B1 0.018425 − 0.005038 0.44884 X47B2 0.019638 − 0.004940 0.31827 X47B3 0.018707 − 0.001002 0.43848 X47B1-grad 0.014269 − 0.060529 0.05901 X47B2-grad 0.014436 − 0.029866 0.05864 X47B3-grad 0.014214 − 0.047756 0.10260 -
[1] 桑建华. 飞行器隐身技术[M]. 北京: 航空工业出版社, 2013.SANG J H. Low-observable technologies of aircraft[M]. Beijing: Aviation Industry Press, 2013(in Chinese). [2] PATERSON J. Overview of low observable technology and its effects on combat aircraft survivability[J]. Journal of Aircraft, 1999, 36(2): 380-388. doi: 10.2514/2.2468 [3] LEE D, GONZALEZ L F, SRINIVAS K, et al. Aerodynamic/RCS shape optimisation of unmanned aerial vehicles using hierarchical asynchronous parallel evolutionary algorithms[C]//Proceedings of the 24th AIAA Applied Aerodynamics Conference. Reston: AIAA, 2006. [4] VINH H, DWYER H, VAN DAM C. Finite-difference algorithms for the time-domain Maxwell’s equations- A numerical approach to RCS analysis[C]//Proceedings of the 23rd Plasmadynamics and Lasers Conference. Reston: AIAA, 1992. [5] JOHANSSON M. Propulsion integration in an UAV[C]//Proceedings of the 24th AIAA Applied Aerodynamics Conference. Reston: AIAA, 2006. [6] TAHA H E, HAJJ M R. Optimization of aerodynamic performance and stability of a stealth aircraft[C]//Proceedings of the 54th AIAA/ASME/ASCE/AHS/ASC Structures, Structural Dynamics, and Materials Conference. Reston: AIAA, 2013. [7] PAPAGEORGIOU A, ÖLVANDER J, AMADORI K. Development of a multidisciplinary design optimization framework applied on UAV design by considering models for mission, surveillance, and stealth performance[C]//Proceedings of the 18th AIAA/ISSMO Multidisciplinary Analysis and Optimization Conference. Reston: AIAA, 2017. [8] PERSSON B, BULL P. Empirical study of flight-dynamic influences on radar cross-section models[J]. Journal of Aircraft, 2016, 53(2): 463-474. doi: 10.2514/1.C033566 [9] 高正红, 夏露. 飞行器外形气动与隐身协同优化设计方法研究[C]//全国流体力学青年研讨会论文集. 北京: 中国空气动力学会, 2003: 193-198.GAO Z H, XIA L. Research on collaborative optimization design methods for aerodynamic and stealth performance of aircraft configurations[C]//Proceedings of the National Symposium on Fluid Mechanics for Young Scholars. Beijing: Chinese Aerodynamics Research Society, 2003: 193-198(in Chinese). [10] 周琳, 黄江涛, 高正红. 基于离散伴随方程的三维雷达散射截面几何敏感度计算[J]. 航空学报, 2020, 41(5): 623361.ZHOU L, HUANG J T, GAO Z H. Three dimensional radar cross section geometric sensitivity calculation based on discrete adjoint equation[J]. Acta Aeronautica et Astronautica Sinica, 2020, 41(5): 623361(in Chinese). [11] 张伟, 高正红, 周琳, 等. 基于代理模型全局优化的自适应参数化方法[J]. 航空学报, 2020, 41(10): 123815.ZHANG W, GAO Z H, ZHOU L, et al. Adaptive parameterization method for surrogate-based global optimization[J]. Acta Aeronautica et Astronautica Sinica, 2020, 41(10): 123815(in Chinese). [12] 黄江涛, 周琳, 陈宪, 等. 基于NS/CFIE伴随方程的飞行器气动隐身综合优化[J]. 航空学报, 2023, 44(12): 127757.HUANG J T, ZHOU L, CHEN X, et al. Integrated aerodynamic and stealth optimization of aircraft based on NS/CFIE adjoint equations[J]. Acta Aeronautica et Astronautica Sinica, 2023, 44(12): 127757(in Chinese). [13] 何开锋, 钱炜祺, 刘刚, 等. 飞行器气动隐身一体化设计方法研究[J]. 空气动力学学报, 2006, 24(2): 169-174.HE K F, QIAN W Q, LIU G, et al. Aircraft multi-objective design of aerodynamic and stealthy performance[J]. Acta Aerodynamica Sinica, 2006, 24(2): 169-174(in Chinese). [14] 何开锋, 钱炜祺, 陈坚强, 等. 基于流体力学和电磁学方程数值求解的飞行器气动隐身一体化设计[J]. 空气动力学学报, 2009, 27(2): 180-185.HE K F, QIAN W Q, CHEN J Q, et al. Integrated aircraft design of aerodynamic and stealthy performance with numerically solving fluid dynamics and electro-magnetics equations[J]. Acta Aerodynamica Sinica, 2009, 27(2): 180-185(in Chinese). [15] 焦子涵, 张彬乾, 沈冬. 翼型几何参数对隐身特性的影响研究[J]. 机械科学与技术, 2012, 31(12): 1980-1987.JIAO Z H, ZHANG B Q, SHEN D. Investigation on the effects of geometric parameters on airfoils’ stealth characteristics[J]. Mechanical Science and Technology for Aerospace Engineering, 2012, 31(12): 1980-1987(in Chinese). [16] 张彬乾, 罗烈, 陈真利, 等. 飞翼布局隐身翼型优化设计[J]. 航空学报, 2014, 35(4): 957-967.ZHANG B Q, LUO L, CHEN Z L, et al. On stealth airfoil optimization design for flying wing configuration[J]. Acta Aeronautica et Astronautica Sinica, 2014, 35(4): 957-967(in Chinese). [17] 陈曦, 白俊强, 李权. 某飞翼布局隐身飞行器的翼型优化[J]. 航空计算技术, 2013, 43(6): 46-49.CHEN X, BAI J Q, LI Q. Airfoil optimization of a stealth flying wind aerial vehicle[J]. Aeronautical Computing Technique, 2013, 43(6): 46-49(in Chinese). [18] 徐含乐, 祝小平, 周洲, 等. 基于左手材料的翼面隐身结构设计及优化[J]. 航空学报, 2014, 35(12): 3331-3340.XU H L, ZHU X P, ZHOU Z, et al. Design and optimization of low detectable wing structure based on LHM[J]. Acta Aeronautica et Astronautica Sinica, 2014, 35(12): 3331-3340(in Chinese). [19] 张乐, 周洲, 许晓平, 等. 飞翼无人机3种保形进气口进气道气动与隐身综合特性对比[J]. 航空动力学报, 2015, 30(7): 1651-1660.ZHANG L, ZHOU Z, XU X P, et al. Comparison on aerodynamic and stealthy performance of flying wing unmanned aerial vehicle with three conformal intake inlets[J]. Journal of Aerospace Power, 2015, 30(7): 1651-1660(in Chinese). [20] 张乐. 飞翼布局耦合进排气的气动与隐身综合设计研究[D]. 西安: 西北工业大学, 2016.ZHANG L. Study on aerodynamic and stealth integrated design of flying wing layout coupled with intake and exhaust[D]. Xi’an: Northwestern Polytechnical University, 2016(in Chinese). [21] 张乐, 周洲, 许晓平. 飞翼无人机保形进气道耦合进口格栅气动与隐身综合特性[J]. 航空动力学报, 2018, 33(7): 1612-1621.ZHANG L, ZHOU Z, XU X P. Aerodynamic and stealthy integrated performance of conformal inlet coupling entrance grille of flying wing unmanned aerial vehicle[J]. Journal of Aerospace Power, 2018, 33(7): 1612-1621(in Chinese). [22] ZHOU Z Y, HUANG J, WANG J J. Radar/infrared integrated stealth optimization design of helicopter engine intake and exhaust system[J]. Aerospace Science and Technology, 2019, 95: 105483. doi: 10.1016/j.ast.2019.105483 [23] ZINGG D W, NEMEC M, PULLIAM T H. A comparative evaluation of genetic and gradient-based algorithms applied to aerodynamic optimization[J]. European Journal of Computational Mechanics, 2008, 17(1-2): 103-126. doi: 10.3166/remn.17.103-126 [24] CHERNUKHIN O, ZINGG D W. Multimodality and global optimization in aerodynamic design[J]. AIAA Journal, 2013, 51(6): 1342-1354. doi: 10.2514/1.J051835 [25] BUCKLEY H P, ZHOU B Y, ZINGG D W. Airfoil optimization using practical aerodynamic design requirements[C]//Proceedings of the 27th AIAA Applied Aerodynamics Conference. Reston: AIAA, 2010. [26] STREUBER G M, ZINGG D W. Evaluating the risk of local optima in aerodynamic shape optimization[J]. AIAA Journal, 2021, 59(1): 75-87. doi: 10.2514/1.J059826 [27] LEUNG T, ZINGG D. Single-and multi-point aerodynamic shape optimization using a parallel Newton-Krylov approach[C]//Proceedings of the 19th AIAA Computational Fluid Dynamics. Reston: AIAA, 2009. [28] 黄江涛, 高正红, 余婧, 等. 大型民用飞机气动外形典型综合设计方法[J]. 航空学报, 2019, 40(2): 522369.HUANG J T, GAO Z H, YU J, et al. A typical integrated design method for aerodynamic shape optimization of large civil aircraft[J]. Acta Aeronautica et Astronautica Sinica, 2019, 40(2): 522369(in Chinese). [29] 黄江涛, 刘刚, 周铸, 等. 基于离散伴随方程求解梯度信息的若干问题研究[J]. 空气动力学学报, 2017, 35(4): 554-562.HUANG J T, LIU G, ZHOU Z, et al. Investigation of gradient computation based on discrete adjoint method[J]. Acta Aerodynamica Sinica, 2017, 35(4): 554-562(in Chinese). [30] 黄江涛, 刘刚, 高正红, 等. 飞行器多学科耦合伴随体系的现状与发展趋势[J]. 航空学报, 2020, 41(5): 623404.HUANG J T, LIU G, GAO Z H, et al. Current situation and development trend of multidisciplinary coupled adjoint system for aircraft[J]. Acta Aeronautica et Astronautica Sinica, 2020, 41(5): 623404(in Chinese). [31] ZHOU L, HUANG J T, GAO Z H, et al. Three-dimensional aerodynamic/stealth optimization based on adjoint sensitivity analysis for scattering problem[J]. AIAA Journal, 2020, 58(6): 2702-2715. doi: 10.2514/1.J059136 [32] 蔡强明. 金属—介质目标电磁散射与辐射的高阶矩量法及快速算法研究[D]. 成都: 电子科技大学, 2017.CAI Q M. Research on high-order moment method and fast algorithm of electromagnetic scattering and radiation from metal-dielectric target[D]. Chengdu: University of Electronic Science and Technology of China, 2017(in Chinese). [33] 胡俊. 复杂目标矢量电磁散射的高效方法: 快速多极子方法及其应用[D]. 成都: 电子科技大学, 2000.HU J. Efficient method of vector electromagnetic scattering from complex targets-fast multipole method and its application[D]. Chengdu: University of Electronic Science and Technology of China, 2000(in Chinese). [34] 聂在平, 胡俊, 姚海英, 等. 用于复杂目标三维矢量散射分析的快速多极子方法[J]. 电子学报, 1999, 27(6): 104-109.NIE Z P, HU J, YAO H Y, et al. The fast multipole methods for vector analysis of scattering from 3-dimensional objects with complex structure[J]. Acta Electronica Sinica, 1999, 27(6): 104-109(in Chinese). [35] ZHIGLJAVSKY A, ŽILINSKAS A. Stochastic global optimization [M]. Berlin: Springer, 2008. [36] JOE S, KUO F Y. Remark on algorithm 659[J]. ACM Transactions on Mathematical Software, 2003, 29(1): 49-57. doi: 10.1145/641876.641879 [37] EBERHART R, KENNEDY J. A new optimizer using particle swarm theory[C]//Proceedings of the 6th International Symposium on Micro Machine and Human Science. Piscataway: IEEE Press, 2002: 39-43. [38] LI X D. A multimodal particle swarm optimizer based on fitness Euclidean-distance ratio[C]//Proceedings of the 9th Annual Conference on Genetic and Evolutionary Computation. New York: ACM, 2007: 78-85. [39] LI X D. Niching without niching parameters: particle swarm optimization using a ring topology[J]. IEEE Transactions on Evolutionary Computation, 2010, 14(1): 150-169. doi: 10.1109/TEVC.2009.2026270 [40] CHENG S, QIN Q D, WU Z, et al. Multimodal optimization using particle swarm optimization algorithms: CEC 2015 competition on single objective multi-niche optimization[C]//Proceedings of the IEEE Congress on Evolutionary Computation. Piscataway: IEEE Press, 2015: 1075-1082. [41] QU B Y, SUGANTHAN P N, DAS S. A distance-based locally informed particle swarm model for multimodal optimization[J]. IEEE Transactions on Evolutionary Computation, 2013, 17(3): 387-402. doi: 10.1109/TEVC.2012.2203138 [42] LIANG J J, QU B Y, SUGANTHAN P N, et al. Problem definitions and evaluation criteria for the CEC 2015 competition on learning-based real-parameter single objective optimization[J]. Technical Report 201411A, 2014, 29: 625-640. [43] 张伟, 赵轲, 夏露, 等. 飞翼布局翼型系列设计进展[J]. 空气动力学学报, 2021, 39(6): 37-52.ZHANG W, ZHAO K, XIA L, et al. A multi-disciplinary global/local optimization method for flying-wing airfoils design[J]. Acta Aerodynamica Sinica, 2021, 39(6): 37-52(in Chinese). -


下载: