-
摘要:
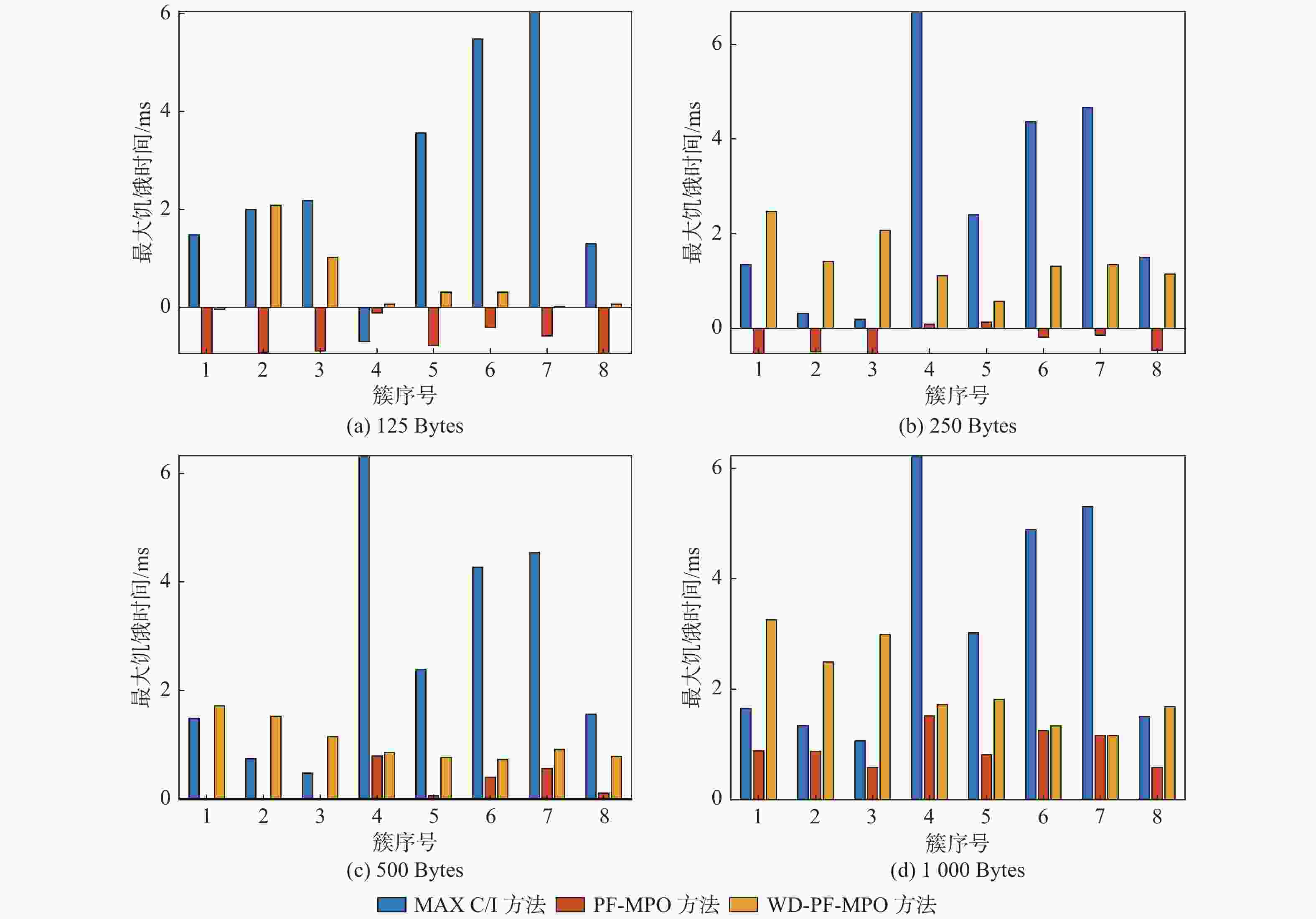
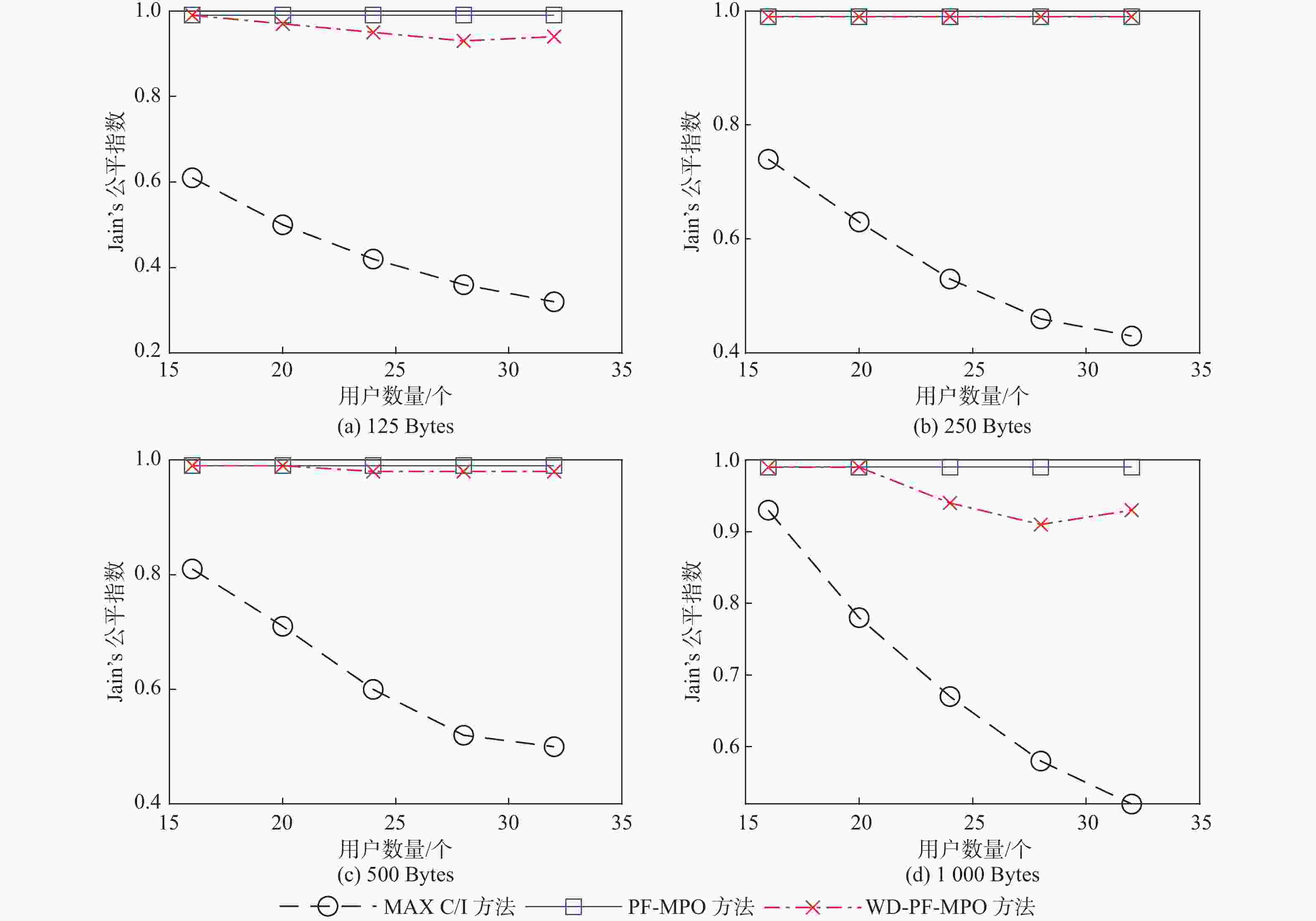
无线局域网是航空电子机内无线通信(WAIC)机舱内无线互连的候选技术之一。借鉴IEEE 802.11ax标准定义的接入机制,并对上行多用户正交频分多址接入(OFDMA)进行改进,提出了一种基于比例公平的最小填充开销(PF-MPO)方法。该方法对多用户进行分簇管理,在保证簇之间比例公平性的条件下提高系统吞吐量,且能够通过调整簇内节点的传输持续时间减小填充开销;还可以在该方法基础上扩展形成设置排队延迟阈值的PF-MPO (WD-PF-MPO)方法,使排队延迟高于阈值的用户立即传输。仿真结果表明:与单纯追求平均吞吐量最大化的最大载干比(MAX C/I)方法相比,PF-MPO方法及WD-PF-MPO方法将系统的Jain公平指数提升至0.9以上,PF-MPO方法使最大传输延迟降低至少25%,且WD-PF-MPO方法能够在保证公平性的条件下使最大传输延迟进一步降低。
-
关键词:
- 航空电子机内无线通信 /
- 正交频分多址接入 /
- 比例公平 /
- 填充开销 /
- 传输延迟
Abstract:Wireless local area network (WLAN) is one of the candidate technologies for wireless interconnection in wireless avionics intra-communications (WAIC) cabins. Drawing from the access mechanism defined by the IEEE 802.11ax standard and improving the uplink multi-user orthogonal frequency division multiple access (OFDMA), a proportional fairness-based minimum padding overhead (PF-MPO) method is proposed. This method clusters multiple users and improves system throughput while ensuring proportional fairness between clusters. In addition, it can reduce padding overhead by adjusting the transmission duration of nodes within the clusters. Moreover, a waiting delay PF-MPO (WD-PF-MPO) method is extended from the PF-MPO method by setting a waiting delay threshold to allow users with high delays to transmit immediately. Simulation results show that, compared with the maximum carrier-to-interference (MAX C/I) method, which focuses solely on maximizing average throughput, PF-MPO and its extension can increase the system’s Jain fairness index to above 0.9, while reducing the maximum transmission delay by at least 25% compared to MAX C/I. Furthermore, WD-PF-MPO can further decrease the maximum transmission delay while maintaining fairness.
-
表 1 仿真实验参数
Table 1. Simulation experimental parameters
网络空
间半径/m噪声功率谱
密度/
(dBm·Hz)−1中心
频率/GHz带宽/
MHz簇到达
率/ns−1径到达
率/ns−1路径损
耗指数15 −174 4.3 20 0.13~0.25 1.67~2.88 2 -
[1] SÁMANO-ROBLES R, TOVAR E, CINTRA J, et al. Wireless avionics intra-communications: current trends and design issues[C]//Proceedings of the 2016 11th International Conference on Digital Information Management. Piscataway: IEEE Press, 2016: 266-273. [2] RAMANATT P R, NATARAJAN K, SHOBHA K R. Challenges in implementing a wireless avionics network[J]. Aircraft Engineering and Aerospace Technology, 2019, 92: 482-494. [3] PARK P, DI MARCO P, NAH J, et al. Wireless avionics intracommunications: a survey of benefits, challenges, and solutions[J]. IEEE Internet of Things Journal, 2021, 8(10): 7745-7767. doi: 10.1109/JIOT.2020.3038848 [4] DANG D K, MIFDAOUI A, GAYRAUD T. Fly-by-wireless for next generation aircraft: challenges and potential solutions[C]//Proceedings of the 2012 IFIP Wireless Days. Piscataway: IEEE Press, 2012: 1-8. [5] NEUHOLD D, SCHMIDT J F, KLAUE J, et al. Experimental study of packet loss in a UWB sensor network for aircraft[C]//Proceedings of the 20th ACM International Conference on Modelling, Analysis and Simulation of Wireless and Mobile Systems. New York: ACM, 2017: 137-142. [6] ZHANG Y, GUO X, CHEN L, et al. Propagation characterization for 5G networks in an avionics compartment at 60 GHz band [C]//Proceedings of the 2022 IEEE Conference on Antenna Mea-surements and Applications. Piscataway: IEEE Press, 2022: 1-5. [7] IEEE. Information technology−Telecommunications and information exchange between systems Local and metropolitan area networks−Specific requirements Part 11: Wireless LAN Medium Access Control (MAC) and Physical Layer (PHY) Specifications[S].Piscataway: IEEE, 2012. [8] CHAMPAIGNE K. Techniques for improving reliablility of wireless sensor networks in flight applications[C]//Proceedings of the CANEUS/NASA Fly Wireles Workshop. Piscataway: IEEE Press, 2007: 1-25. [9] BANG I, NAM H, CHANG W, et al. Channel measurement and feasibility test for wireless avionics intra-communications[J]. Sensors, 2019, 19(6): 1294. doi: 10.3390/s19061294 [10] DIMIC G, SIDIROPOULOS N D, ZHANG R F. Medium access control-physical cross-layer design[J]. IEEE Signal Processing Magazine, 2004, 21(5): 40-50. doi: 10.1109/MSP.2004.1328087 [11] IEEE. Information technology--Telecommunications and information exchange between systems Local and metropolitan area networks--Specific requirements Part 11: Wireless LAN Medium Access Control (MAC) and Physical Layer (PHY) Specifications Amendment 1: Enhancements for High-Efficiency WLAN[S]. Piscataway: IEEE, 2021. [12] KARACA M, BASTANI S, PRIYANTO B E, et al. Resource mana-gement for OFDMA based next generation 802.11 WLANs[C]//Proceedings of the 2016 9th IFIP Wireless and Mobile Networking Conference. Piscataway: IEEE Press, 2016: 57-64. [13] KELLY F P, MAULLOO A K, TAN D K H. Rate control for communication networks: shadow prices, proportional fairness and stability[J]. Journal of the Operational Research Society, 1998, 49(3): 237-252. doi: 10.1057/palgrave.jors.2600523 [14] JALALI A, PADOVANI R, PANKAJ R. Data throughput of CDMA-HDR a high efficiency-high data rate personal communication wireless system[C]//Proceedings of the IEEE 51st Vehicular Technology Conference. Piscataway: IEEE Press, 2000: 1854-1858. [15] QIU J, HUANG T. Packet scheduling scheme in the next generation high-speed wireless packet networks[C]//Proceedings of the IEEE International Conference on Wireless and Mobile Computing, Networking and Communications. Piscataway: IEEE Press, 2005: 224-227. [16] RUANGCHAIJATUPON N, JI Y S. Simple proportional fairness scheduling for OFDMA frame-based wireless systems[C]//Proceedings of the IEEE Wireless Communications and Networking Conference. Piscataway: IEEE Press, 2008: 1593-1597. [17] SAMBOU B, PEYRARD F, FRABOUL C. Scheduling avionics flows on an IEEE 802.11e HCCA and AFDX hybrid network[C]//Proceedings of the IEEE Symposium on Computers and Communications. Piscataway: IEEE Press, 2011: 205-212. [18] IEEE. Information technology--Local and metropolitan area networks--Specific requirements--Part 11: Wireless LAN Medium Access Control (MAC) and Physical Layer (PHY) Specifications - Amendment 8: Medium Access Control (MAC) Quality of Service Enhancements[S]. Piscataway: IEEE, 2005. [19] SADR S, ANPALAGAN A, RAAHEMIFAR K. Radio resource allocation algorithms for the downlink of multiuser OFDM communication systems[J]. IEEE Communications Surveys & Tutorials, 2009, 11(3): 92-106. [20] GOLDSMITH A J, CHUA S G. Variable-rate variable-power MQAM for fading channels[J]. IEEE Transactions on Communications, 1997, 45(10): 1218-1230. doi: 10.1109/26.634685 [21] JACOB M, CHEE K L, SCHMIDT I, et al. Influence of passengers on the UWB propagation channel within a large wide-bodied aircraft[C]//Proceedings of the 2009 3rd European Conference on Antennas and Propagation. Piscataway: IEEE Press, 2009: 882-886. [22] 左沅君, 李峭, 熊华钢, 等. 航空电子MB-OFDM-UWB无线互连信道分析与仿真[J]. 航空学报, 2019, 40(7): 322739. doi: 10.7527/S1000-6893.2019.22739ZUO Y J, LI Q, XIONG H G, et al. Analysis and simulation of avionics MB-OFDM-UWB wireless interconnection channel[J]. Acta Aeronautica et Astronautica Sinica, 2019, 40(7): 322739(in Chinese). doi: 10.7527/S1000-6893.2019.22739 [23] SEDIQ A B, GOHARY R H, SCHOENEN R, et al. Optimal tradeoff between sum-rate efficiency and Jain’s fairness index in resource allocation[J]. IEEE Transactions on Wireless Communications, 2013, 12(7): 3496-3509. doi: 10.1109/TWC.2013.061413.121703 [24] ITU. Technical characteristics and spectrum requirements of wireless avionics intra-communications systems to support their safe operation: ITU-R Report M2283-0[S]. Geneva: ITU, 2013. -


下载: