Analysis and mitigation of spherical reflection effects on solar cell calibration using high-altitude balloons
-
摘要:
高空气球在太阳电池标定领域内应用越来越广泛,对标定精度的需求日益增加。常规的标定方法只考虑了对日精度,忽略了球体反射的太阳光对标定结果的影响,导致标定结果比理论值高出约5%。为此,提出一种球体反光影响分析方法。使用3阶贝塞尔曲线拟合球体形状并建立模型;计算试验中球体反射对标定装置接收不同波段光的影响;提出如何进行防护及计算球体反射可能的误差原因。采用高空气球和标定设备,在
35000 m的高空上对18片太阳电池进行标定。试验和仿真结果表明,球体反射对标定的影响客观存在。仿真结果显示,球体反射导致短路电流最大增加了9.28%;试验数据显示,相较于标准太阳电池的不经过大气层的太阳光谱(AM0)值,实际短路电流高出约5.28%。最后,根据仿真结果,提出使用特定角度的遮光罩以避免球体反射对标定的影响。-
关键词:
- 太阳电池 /
- 高空气球 /
- 标定 /
- 太阳电池效率 /
- 不经过大气层的太阳光谱
Abstract:Accurate calibration is becoming more and more necessary as high-altitude balloons are utilized more frequently for solar cell calibration. Conventional approaches produce calibration values that are roughly 5% higher than theoretical values because they only take into account direct sunlight precision and disregard the effect of spherical reflection. This paper proposes an analysis method for spherical reflection effects, which involves fitting the sphere’s shape using a third-order Bessel curve and modeling it. The method calculates how the sphere’s reflection affects the calibration device’s reception of different light wavelengths. 18 solar cells were calibrated at a height of
35000 m using the high-altitude balloon and calibration apparatus that are part of the experimental setup. Both experimental and simulation results confirm the impact of spherical reflection. Simulation results show that reflection can increase short-circuit current by up to 9.28%, while experimental data indicate that the actual short-circuit current is about 5.28% higher than the air mass 0 (AM0) value of standard cells.-
Key words:
- solar cell /
- high-altitude balloon /
- calibration /
- solar cell efficiency /
- AM0
-
表 1 球体材料对不同波段光的反射率
Table 1. Reflectance of spherical materials for different wavelengths of light
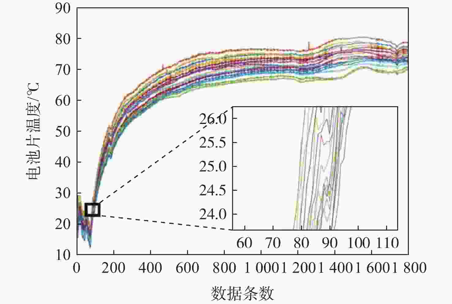
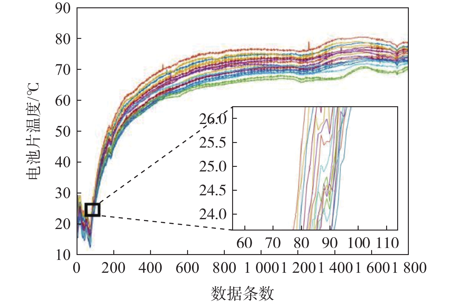
波段 反射率 可见光390~780 nm波段 0.1042 红外光780~ 1200 nm波段(标准硅片上限波段)0.085 表 2 各类型太阳电池标定数据
Table 2. Calibration data for various solar cells
序号 短路电流/
mA开路电压/
mV被测电池
温度/℃类型 标准电池/
mA18-04-1 84.5 1328.6 25.0 单晶硅 171.2 18-04-2 112.7 886.9 25.3 单晶硅 171.2 18-04-3 94.55 251.8 25.6 砷化镓 170.6 18-04-4 82.2 2542.1 24.9 单晶硅 170.6 18-04-5 56.8 1450.2 25.5 单晶硅 170.8 18-04-6 66.4 1052.0 25.3 单晶硅 170.8 18-04-7 58.4 793.3 25.1 单晶硅 170.0 18-04-8 69.4 240.6 24.9 砷化镓 170.6 18-04-9 58.0 3438.3 24.5 砷化镓 166.8 18-04-10 50.6 1548.6 24.6 单晶硅 170.7 18-04-11 47.2 1189.7 25.0 砷化镓 165.8 18-04-12 49.2 975.1 24.6 砷化镓 170.0 18-04-13 58.5 690.2 24.5 砷化镓 161.7 18-04-14 48.1 443.8 25.1 砷化镓 170.9 18-04-15 177.1 617.4 25.0 砷化镓 171.3 18-04-16 73.3 1457.5 25.3 单晶硅 171.6 18-04-17 76.1 1006.1 25.0 单晶硅 171.4 18-04-18 77.6 473.25 24.8 单晶硅 170.8 注:表格中数据为符合条件数据的平均值。 -
[1] BRANDHORST H W, RODIEK J A. Space solar array reliability: a study and recommendations[J]. Acta Astronautica, 2008, 63(11): 1233-1238. [2] HOU Y, DU X, SCHEINER S, et al. A generic interface to reduce the efficiency-stability-cost gap of perovskite solar cells[J]. Science, 2017, 358(6367): 1192-1197. doi: 10.1126/science.aao5561 [3] SCHEIMAN D, BRINKER D, SNYDER D, et al. Summary of the 2000-2001 NASA Glenn Lear Jet AM0 solar cell calibration program[C]//Proceedings of the 17th Space Photovoltaic Research and Technology Conference. Cleveland: NASA Glenn Research Center, 2002: 195-201. [4] JIANG Q, ZHANG L Q, WANG H L, et al. Enhanced electron extraction using SnO2 for high-efficiency planar-structure HC(NH2)2PbI3-based perovskite solar cells[J]. Nature Energy, 2017, 2: 16177. [5] YANG W S, NOH J H, JEON N J, et al. High-performance photovoltaic perovskite layers fabricated through intramolecular exchange[J]. Science, 2015, 348(6240): 1234-1237. doi: 10.1126/science.aaa9272 [6] DENG Y H, PENG E, SHAO Y C, et al. Scalable fabrication of efficient organolead trihalide perovskite solar cells with doctor-bladed active layers[J]. Energy & Environmental Science, 2015, 8(5): 1544-1550. [7] XU G N, CAI P Y, TU Y G, et al. Calibration for space solar cells: progress, prospects, and challenges[J]. Solar RRL, 2024, 8(6): 2300822. doi: 10.1002/solr.202300822 [8] MÜHLEIS M, KRÖGER I, HOHL-EBINGER J. Fast and accurate short-circuit current versus irradiance determination of a spectrally nonlinear solar cell using a spectral shaping setup[J]. Solar Energy Materials and Solar Cells, 2021, 230: 111208. doi: 10.1016/j.solmat.2021.111208 [9] THOMAS N L, CHISEL D M. High altitude calibration of solar cells using rockets[C]//Proceedings of the NASA Sounding Rocket Technology Conference. Washington, D. C. : NASA, 1975, 0085: 3-8. [10] ZOUTENDYK J A. Space calibration of standard solar cells using high-altitude balloon flights[J]. Journal of Spacecraft and Rockets, 1965, 2: 399-404. doi: 10.2514/3.28191 [11] HOHEISEL R, WILT D, SCHEIMAN D, et al. AM0 solar cell calibration under near space conditions[C]//Proceedings of the IEEE 40th Photovoltaic Specialist Conference. Piscataway: IEEE Press, 2014: 1811-1814. [12] ZHAO C X, LIU J N, LI B Q, et al. Multiscale construction of bifunctional electrocatalysts for long-lifespan rechargeable zinc-air batteries[J]. Advanced Functional Materials, 2020, 30(36): 2003619. doi: 10.1002/adfm.202003619 [13] ANSPAUGH B E, WEISS R S. Results of the 1987 NASA/JPL balloon flight solar cell calibration program[C]//Proceedings of the 14th Space Photovoltaic Research and Technology Conference. Cleveland: NASA Glenn Research Center, 1987: 182617. [14] CARDINALETTI I, VANGERVEN T, NAGELS S, et al. Organic and perovskite solar cells for space applications[J]. Solar Energy Materials and Solar Cells, 2018, 182: 121-127. doi: 10.1016/j.solmat.2018.03.024 [15] TU Y G, XU G N, YANG X Y, et al. Mixed-cation perovskite solar cells in space[J]. Science China Physics, Mechanics & Astronomy, 2019, 62(7): 974221. [16] REB L K, BÖHMER M, PREDESCHLY B, et al. Perovskite and organic solar cells on a rocket flight[J]. Joule, 2020, 4(9): 1880-1892. doi: 10.1016/j.joule.2020.07.004 [17] BAILEY S, SNYDER D, JENKINS P, et al. Standards for space solar cells and arrays[C]//Proceedings of the Seventh European Space Power Conference. Stresa: European Space Agency, 2005: 575-580. [18] 今泉充, 梯友哉, 久木田明夫, 等. JAXA大気球による標準太陽電池の較正実験計画[C]//大気球シンポジウム: 平成28年度. 相模原: 宇宙航空研究開発機構宇宙科学研究所, 2016.IMAIZUMI M, HASHIGO Y, KUKITA A, et al. Calibration experiment plan for standard solar cells using JAXA balloon-borne platforms[C]//Balloon Symposium: FY2016. Sagamihara: Institute of Space and Astronautical Science, Japan Aerospace Exploration Agency, 2016(in Japanese). [19] 杨亦强. 高空气球搭载AM0太阳电池标定试验初步结果[C]//中国太阳能光伏会议. 成都: 中国可再生能源学会, 2006.YANG Y Q. Preliminary results of AM0 solar cell calibration experiment using high-altitude balloon[C]//China Conference on Solar Photovoltaics. Chengdu: Chinese Renewable Energy Society, 2006(in Chinese). [20] 刘福才, 赵阳, 杨亦强, 等. 高空气球太阳能电池标定用太阳跟踪控制技术[J]. 航空学报, 2014, 35(11): 3137-3144.LIU F C, ZHAO Y, YANG Y Q, et al. Sun tracking technology for balloon flight solar cell calibration[J]. Acta Aeronautica et Astronautica Sinica, 2014, 35(11): 3137-3144(in Chinese). [21] TU Y G, XU G N, YANG X Y, et al. Mixed-cation perovskite solar cells in space[J]. Science China-Physics, Mechanics & Astronomy, 2019, 62(7): 974221. -


下载: