Transonic aeroservoelastic analysis of civil aircraft based on overset field-panel method
-
摘要:
与亚声速相比,民用飞机进入跨声速飞行时,其气动伺服弹性特性出现明显的频率偏移和稳定裕度下降等问题。对于研发阶段的飞机而言,研发成本昂贵、试飞风险高、设计更改周期长,故在初步设计阶段需充分考虑跨声速区域的气动伺服弹性设计。采用偶极子格网法计算的非定常气动力无法考虑跨声速激波和边界层的影响。针对跨声速非定常气动力计算,将非定常小扰动速度势分为定常项和非定常项,通过计算流体力学求解跨声速定常项,使用非定常流场面元法求解时间线化的跨声速小扰动速度势方程来计算非定常项。将得到的跨声速非定常气动力影响系数代入气动伺服弹性机体频响函数中,并与试飞结果、偶极子气动力模型计算结果进行对比,结果表明:基于叠加流场面元法的跨声速气动伺服弹性分析在频率和稳定裕度等方面与试飞结果更吻合。探索跨声速区域传递函数频率和稳定裕度变化规律,为民用飞机跨声速气动伺服弹性设计提供方法。
Abstract:Compared with subsonic, when a civil aircraft flies in transonic, it’s aeroservoelastic characteristics appear as obvious frequency deviation and stability margin decrease. he aeroservoelastic design in the transonic should be thoroughly taken into account during the preliminary design stage since the development cost is high, the test flight risk is high, and the design change cycle is lengthy for aircraft in the development phase. The unsteady aerodynamic calculated by DLM cannot take into account the effects of the transonic shock wave and the boundary layer. The unsteady small disturbance velocity potential is separated into steady and unsteady terms in order to calculate the transonic unsteady aerodynamic. Computational fluid dynamic (CFD)is used to solve the transonic steady term, and the unsteady terms are then calculated by solving the time-linear transonic small disturbance velocity potential equation using the unsteady flow field element method. The obtained transonic unsteady aerodynamic influence coefficient is substituted into the calculation of the frequency response function of the aircraft transfer function. The calculated results are compared with DLM aerodynamic model computation results and flight test results. The transonic aeroservoelastic analysis based on the Over Field-Panel Method is more consistent with the flight test results in terms of frequency deviation and stability margin reduction. Exploring the frequency and stability margin of the transfer function in the transonic region to provide a method for aerosevoelastic design in the transonic region.
-
Key words:
- civil aircraft /
- aeroservoelasticity /
- computational fluid dynamic /
- panel method /
- transonic
-
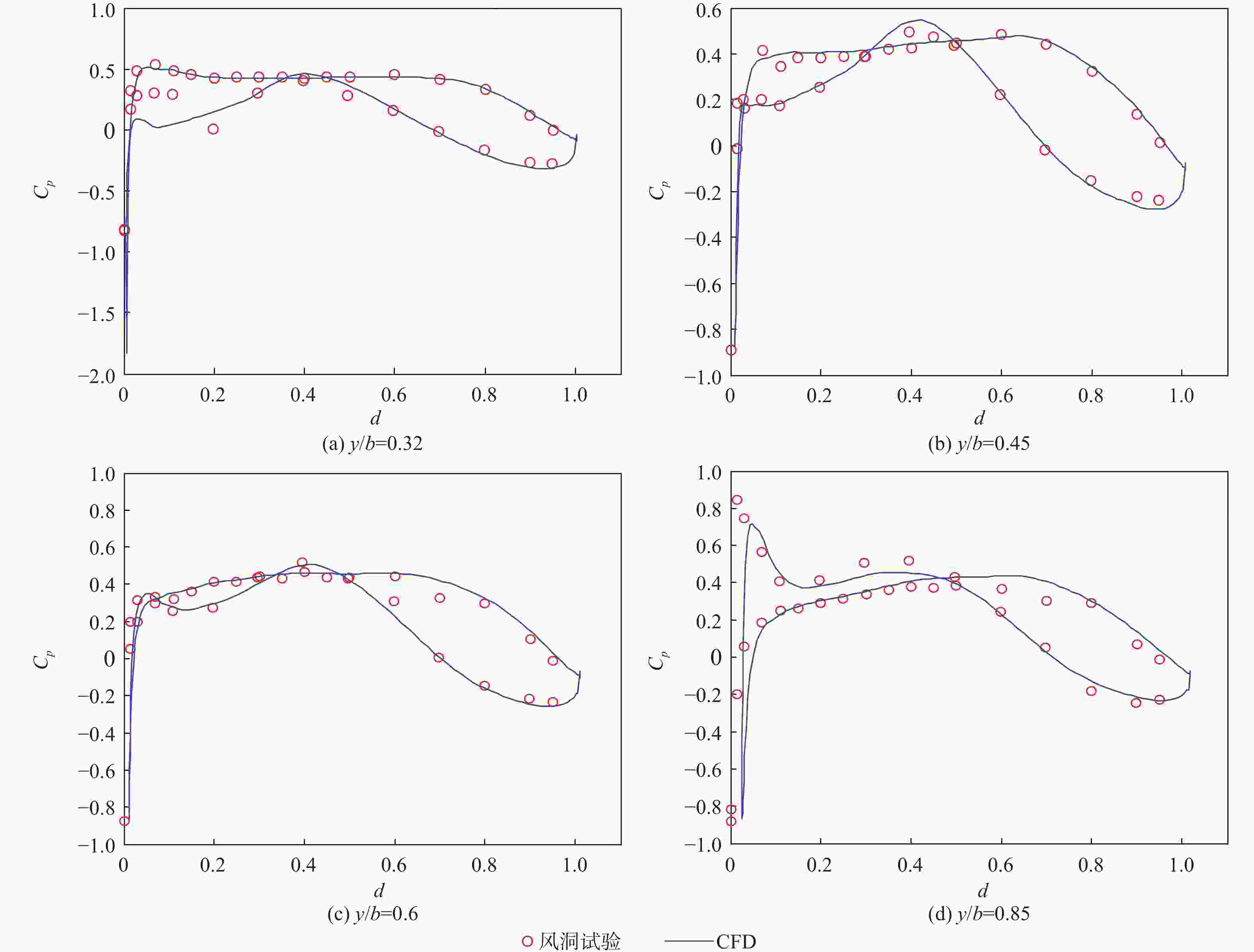
表 1 飞机风洞模型参数
Table 1. Aircraft wind tunnel model parameters
机翼参考面积/m2 机翼展长/m 展弦比 平均气动弦长/m 0.35 1.82 9.6 0.25 表 2 不同试验马赫数下试验雷诺数
Table 2. Test Reynolds number at different Mach numbers
试验马赫数 试验雷诺数 0.40 1.88×106 0.50 2.23×106 0.60 2.51×106 0.70 2.74×106 0.80 2.90×106 0.82 2.93×106 0.87 2.98×106 0.89 3.00×106 表 3 飞机固有模态和频率
Table 3. Aircraft natural modes and frequencies
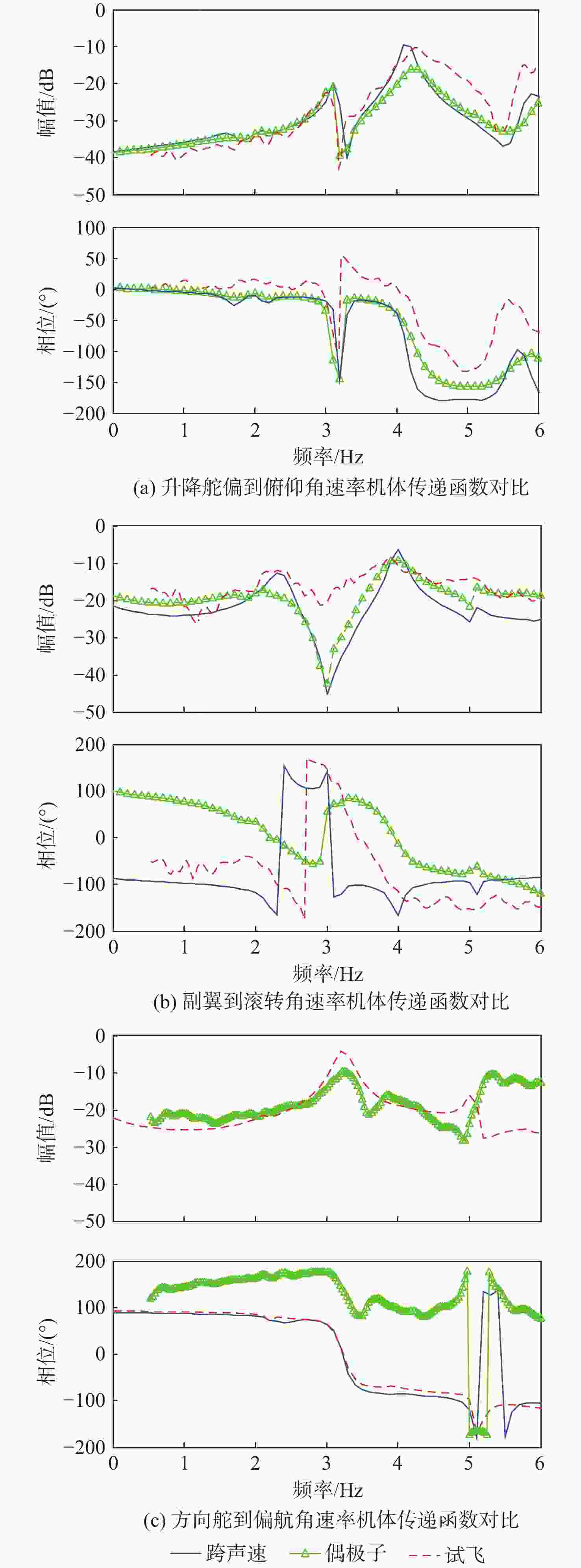
模态名称 频率/Hz 机翼反对称一弯 2.1 发动机对称俯仰 3.0 机身水平一弯 3.4 机身垂直一弯 3.8 发动机反对称侧偏 4.0 表 4 ASE试飞激励信号
Table 4. ASE flight test excitation signal
激励方法 激励位置 激励方式 激励频带/Hz 激励幅值/(°) 激励时间/s 扫频 升降舵 对称 0.5~40 ≤1 ≤30 扫频 副翼 反对称 0.5~40 ≤1 ≤30 扫频 方向舵 0.5~40 ≤1 ≤30 -
[1] PITT D, HAYES B, GOODMAN C. F/A-18E/F aeroservoelastic design, analysis, and test[C]//Proceedings of the 44th AIAA/ASME/ASCE/AHS/ASC Structures, Structural Dynamics, and Materials Conference. Reston: AIAA, 2003. [2] 黄锐, 胡海岩. 飞行器非线性气动伺服弹性力学[J]. 力学进展, 2021, 51(3): 428-466.HUANG R, HU H Y. Nonlinear aeroservoelasticity of aircraft[J]. Advances in Mechanics, 2021, 51(3): 428-466(in Chinese). [3] 胡海岩, 赵永辉, 黄锐. 飞机结构气动弹性分析与控制研究[J]. 力学学报, 2016, 48(1): 1-27.HU H Y, ZHAO Y H, HUANG R. Studies on aeroelastic analysis and control of aircraft structures[J]. Chinese Journal of Theoretical and Applied Mechanics, 2016, 48(1): 1-27(in Chinese). [4] 杨超, 黄超, 吴志刚, 等. 气动伺服弹性研究的进展与挑战[J]. 航空学报, 2015, 36(4): 1011-1033.YANG C, HUANG C, WU Z G, et al. Progress and challenges for aeroservoelasticity research[J]. Acta Aeronautica et Astronautica Sinica, 2015, 36(4): 1011-1033(in Chinese). [5] EDWARDS J W, BENNETT R M, WHITLOW W J, et al. Time-marching transonic flutter solutions including angle-of-attack effects[J]. Journal of Aircraft, 1983, 20(11): 899-906. [6] BATINA J T. Efficient algorithm for solution of the unsteady transonic small-disturbance equation[J]. Journal of Aircraft, 1988, 25(7): 598-605. [7] KIM D H, LEE I. Transonic and low-supersonic aerodynamic analysis of a wing with underpylon/store[J]. Journal of Aircraft, 2000, 37(1): 189-192. [8] KIM D H, LEE I. CFD-based matched-point transonic and supersonic flutter computations using a modified TSD equation[J]. Computational Fluid Dynamics Journal, 2002, 11(1): 35-49. [9] KIM J Y, KIM K S, LEE I, et al. Transonic aeroelastic analysis of all-movable wing with free play and viscous effects[J]. Journal of Aircraft, 2008, 45(5): 1820-1824. [10] 张伟伟, 叶正寅. 非线性伺服气动弹性的时域数值模拟[J]. 振动工程学报, 2005(3): 103-107.ZHANG W W, YE Z Y. The numerical simulation of nonlinear aero-servo-elasticity in time domain[J]. Journal of Vibration Engineering, 2005(3): 103-107(in Chinese). [11] LUCIA D J, BERAN P S, SILVA W A. Reduced-order modeling: new approaches for computational physics[J]. Progress in Aerospace Sciences, 2004, 40(1-2): 51-117. [12] ZHANG W W, WANG B B, YE Z Y, et al. Efficient method for limit cycle flutter analysis based on nonlinear aerodynamic reduced-order models[J]. AIAA Journal, 2012, 50(5): 1019-1028. [13] KOU J Q, ZHANG W W. Reduced-order modeling for nonlinear aeroelasticity with varying Mach numbers[J]. Journal of Aerospace Engineering, 2018, 31(6): 04018105. [14] ZHANG W W, KOU J Q, WANG Z Y. Nonlinear aerodynamic reduced-order model for limit-cycle oscillation and flutter[J]. AIAA Journal, 2016, 54(10): 3304-3311. [15] WAITE J, STANFORD B, BARTELS R E, et al. Active flutter suppression controllers derived from linear and nonlinear aerodynamics: application to a transport aircraft model[C]// Proceedings of the Applied Aerodynamics Conference. Reston: AIAA, 2018. [16] SILVA W. AEROM: NASA’s unsteady aerodynamic and aeroelastic reduced-order modeling software[J]. Aerospace, 2018, 5(2): 41. [17] WAITE J, STANFORD B, BARTELS R E, et al. Active flutter suppression using reduced order modeling for transonic aeroservoelastic control law development[C]//Proceedings of the AIAA Aviation 2019 Forum. Reston: AIAA, 2019. [18] VOSS R. Calculation of unsteady transonic flow about oscillating wings by a field panel method[C]//Proceedings of the Third GAMM-Seminar Kiel. Berlin: Springer, 1988. [19] LU S, VOSS R. TDLM - a transonic doublet lattice method for 3D potential unsteady transonic flow calculation: DLR-FB 92-25[R]. Cologne: DLR, 1992. [20] CHEN P C, LEE H W, LIU D D. Unsteady subsonic aerodynamics for bodies and wings with external stores including wake effect[J]. Journal of Aircraft, 1993, 30(5): 618-628. [21] MURMAN E M. Analysis of embedded shock waves calculated by relaxation methods[J]. AIAA Journal, 1974, 12(5): 626-633. [22] VAN ZYL L H, AEROTEK C, PRETORIA S A. A transonic doublet lattice method for general configurations [EB/OL]. (2016-06-20) [2024-10-07]. https://www.icas.org/icas_archive/ICAS1996/ICAS-96-2.8.1.pdf. [23] LIU D D, KAO Y F, FUNG K Y. An efficient method for computing unsteady transonic aerodynamics ofswept wings with control surfaces[J]. Journal of Aircraft, 1988, 25(1): 25-31. [24] FORSCHING H W. 气动弹性力学原理[M]. 沈克扬, 译. 上海: 上海科学技术文献出版社, 1982.FORSCHING H W. Grundlagen der aeroelastik[M]. SHEN K Y , translated. Shanghai: Shanghai Scientific and Technological Literature Publishing House, 1982(in Chinese). [25] MICHAEL W K. A historical overview of flight flutter testing: NASA-TM-4720[R]. Washington, D. C. : NASA Technical Memorandum, 1995. [26] JURISSON A, DE BREUKER R, DE VISSER C C, et al. Aeroservoelastic flight testing platform development for system identification[C]//Proceedings of the AIAA SCITECH 2022 Forum. Reston: AIAA, 2022. -


下载: